ГОСТы сталей. ГОСТ 13084-88
ГОСТ 13084-88
Группа В56
ГОСУДАРСТВЕННЫЙ СТАНДАРТ СОЮЗА ССР
ПОРОШКИ ВЫСОКОЛЕГИРОВАННЫХ СТАЛЕЙ И СПЛАВОВ
Технические условия
Powders of high-alloyed steels
and alloys. Specifications
ОКП 14 7900
Срок действия с 01.01.90
до 01.01.95*
_______________________________
* Ограничение срока действия снято по протоколу N 4-93
Межгосударственного Совета по стандартизации,
метрологии и сертификации (ИУС N 4, 1994 год). -
Примечание изготовителя базы данных.
ИНФОРМАЦИОННЫЕ ДАННЫЕ
1. РАЗРАБОТАН И ВНЕСЕН Министерством черной металлургии СССР
ИСПОЛНИТЕЛИ
В.И.Маторин, канд. техн. наук; Ю.В.Манегин, д-р техн. наук; В.Т.Абабков, канд. геолог. наук; В.В.Каратеева (руководитель темы); Т.А.Коробова (руководитель темы); В.Ф.Лыкова
2. УТВЕРЖДЕН И ВВЕДЕН В ДЕЙСТВИЕ Постановлением Государственного комитета СССР по стандартам 29.06.88 N 2552
3. Периодичность проверки - 5 лет
4. ВЗАМЕН ГОСТ 13084-67
5. ССЫЛОЧНЫЕ НОРМАТИВНО-ТЕХНИЧЕСКИЕ ДОКУМЕНТЫ
Обозначение НТД, на который дана ссылка | Номер пункта, подпункта, приложения |
ГОСТ 83-79 | Приложение |
ГОСТ 435-77 | Приложение |
ГОСТ 849-70 | Приложение |
ГОСТ 1277-75 | Приложение |
ГОСТ 2991-85 | 1.3.2 |
ГОСТ 3118-77 | Приложение |
ГОСТ 3760-79 | Приложение |
ГОСТ 4140-74 | Приложение |
ГОСТ 4204-77 | Приложение |
ГОСТ 4233-77 | Приложение |
ГОСТ 4234-77 | Приложение |
ГОСТ 4461-77 | Приложение |
ГОСТ 4530-76 | Приложение |
ГОСТ 5037-78 | 1.3.1 |
ГОСТ 5457-75 | Приложение |
ГОСТ 5712-78 | Приложение |
ГОСТ 5959-80 | 1.3.2 |
ГОСТ 6552-80 | Приложение |
ГОСТ 6563-75 | Приложение |
ГОСТ 6709-72 | Приложение |
ГОСТ 7566-81 | 2.1 |
ГОСТ 9293-74 | Приложение |
ГОСТ 11680-76 | Приложение |
ГОСТ 12082-82 | 1.3.2 |
ГОСТ 12344-78 | 3.2 |
ГОСТ 12345-80 | 3.2 |
ГОСТ 12346-78 | 3.2 |
ГОСТ 12347-77 | 3.2 |
ГОСТ 12348-78 | 3.2 |
ГОСТ 12350-78 | 3.2 |
ГОСТ 12352-81 | 3.2 |
ГОСТ 12354-81 | 3.2 |
ГОСТ 12355-78 | 3.2 |
ГОСТ 12356-81 | 3.2 |
ГОСТ 13474-79 | Приложение |
ГОСТ 14192-77 | 1.4.2 |
ГОСТ 17811-78 | 1.3.1 |
ГОСТ 18300-72 | 3.3 |
ГОСТ 19440-74 | 3.6 |
ГОСТ 19433-81 | 1.4.2 |
ГОСТ 20478-75 | Приложение |
ГОСТ 20560-81 | Приложение |
ГОСТ 20899-75 | 3.7 |
ГОСТ 21650-76 | 4.3 |
ГОСТ 21929-76 | Приложение |
ГОСТ 22180-76 | Приложение |
ГОСТ 23148-78* | 3.1 |
ГОСТ 24104-80 | Приложение |
ГОСТ 24597-81 | 4.3 |
ГОСТ 25336-82 | Приложение |
ГОСТ 26381-84 | 4.3 |
ГОСТ 26653-85 | 4.1 |
ГОСТ 26663-85 | 4.3 |
ВНЕСЕНА поправка, опубликованная в ИУС N 9, 1989 год
Поправка внесена изготовителем базы данных
Настоящий стандарт распространяется на порошки высоколегированных сталей и сплавов, изготовленные методом совместного восстановления смесей окислов с металлическими порошками гидридом кальция. Порошки предназначены для изготовления коррозионно-стойких изделий, деталей машин, приборов, пористых и плотных листов, лент, проволоки, металлургических полуфабрикатов (поковки, прутки, ленты, трубы) и для других целей.
1. ТЕХНИЧЕСКИЕ ТРЕБОВАНИЯ
1. ТЕХНИЧЕСКИЕ ТРЕБОВАНИЯ
1.1. Порошок должен изготовляться в соответствии с требованиями настоящего стандарта по технологическому регламенту, утвержденному в установленном порядке.
1.2. Основные параметры
1.2.1. Порошки высоколегированных сталей и сплавов подразделяют:
по химическому составу - на марки ПХ17Н2, ПХ18Н15, ПХ23Н18, ПХ18Н9Т, ПХ30, ПХ20Н80, ПХ13М2, ПХН28МДТ, ПХ40Н60;
по гранулометрическому составу, по максимальной крупности зерна: крупный - 280 мкм, средний - 160 мкм, мелкий - 56 мкм;
по насыпной плотности - на 21, 23, 24, 25, 26.
Условное обозначение порошка проставляют при следующих сокращениях:
порошок - П;
марка порошка - буквенное обозначение элемента и число, обозначающее среднее содержание элемента в процентах;
гранулометрический состав - 280, 160, 56;
насыпная плотность - 21, 23, 24, 25, 26.
Примеры условного обозначения:
Порошок марки Х17Н2, по гранулометрическому составу 160, с насыпной плотностью 24:
ПХ17Н2-160-24 ГОСТ 13084-88
Порошок марки Х20Н80, по гранулометрическому составу 56, с насыпной плотностью 26:
ПХ20Н80-56-26 ГОСТ 13084-88
1.3. Характеристики
1.3.1. Химический состав порошков высоколегированных сталей и сплавов должен соответствовать нормам, указанным в табл.1.
Таблица 1
Марка порошка | Массовая доля, % | ||||||||||||||||
Основные компоненты | Примеси, не более | ||||||||||||||||
Же- | Хром | Никель | Молиб- | Титан | Углерод | Медь | Же- | Ни- | Ти- | Угле- | Крем- | Мар- | Се- | Фос- | Каль- | Кис- | |
ПХ17Н2 | Осн. | 15,0-19,0 | 1,5- 2,5 | - | - | 0,08-0,17 | - | - | - | 0,08 | - | 0,10 | 0,35 | 0,02 | 0,03 | 0,20 | 0,35 |
ПХ18Н15 | " | 16,0-20,0 | 12,0- 16,0 | - | - | - | - | - | - | 0,08 | 0,08 | 0,10 | 0,35 | 0,015 | 0,03 | 0,15 | 0,30 |
ПХ23Н18 | " | 21,0-25,0 | 16,0- 20,0 | - | - | - | - | - | - | 0,08 | 0,08 | 0,10 | 0,35 | 0,02 | 0,03 | 0,15 | 0,30 |
ПХ18Н9Т | " | 16,0-20,0 | 7,0- 10,0 | - | 0,5-0,8 | 0,05-0,12 | - | - | - | - | - | 0,10 | 0,35 | 0,02 | 0,03 | 0,15 | 0,35 |
ПХ30 | " | 28,0-32,0 | - | - | - | - | - | - | 0,3 | 0,08 | 0,30 | 0,10 | 0,35 | 0,01 | 0,03 | 0,20 | 0,30 |
ПХ20Н80 | - | 18,0-22,0 | Осн. | - | - | - | - | 0,30 | - | 0,08 | 0,06 | 0,10 | 0,05 | 0,01 | - | 0,20 | 0,30 |
ПХ13М2 | Осн. | 12,0-14,0 | - | 1,5-2,5 | - | - | - | - | - | 0,08 | 0,08 | 0,10 | 0,20 | 0,02 | 0,03 | 0,20 | 0,50 |
ПХН28МДТ | " | 21,0-25,0 | 28,0- 30,0 | 2,5-3,5 | 0,4-0,7 | - | 2,5-3,5 | - | - | - | 0,20 | 0,10 | 0,20 | 0,02 | 0,03 | 0,20 | - |
ПХ40Н60 | - | 38,0-42,0 | Осн. | - | - | - | - | 0,50 | - | 0,08 | 0,06 | 0,10 | 0,20 | 0,02 | 0,03 | 0,20 | - |
Примечания:
1. Нормы массовой доли кислорода браковочным признаком не являются. Определение обязательно.
2. Нормы массовой доли кислорода в порошках ПХН28МДТ и ПХ40Н60 устанавливают по согласованию изготовителя с потребителем.
1.3.2. По требованию потребителя порошок марки ПХ18Н9Т изготовляют без титана. Массовая доля примеси титана должна быть не более 0,08%.
1.3.3. Гранулометрический состав порошков должен соответствовать нормам, указанным в табл.2.
Таблица 2
Класс крупности | Выход фракции, %, при размере частиц, мм | |||
до 0,28 | от 0,28 до 0,16 | от 0,16 до 0,056 | менее 0,056 | |
280 | 0-5 | Остальное | 0-15 | |
160 | 0-1 | Остальное | 20-50 | |
56 | - | 0-1 | 0-50 | Остальное |
1.3.4. Порошок не должен иметь посторонних примесей и комков.
1.3.5. Влажность порошков должна быть не более 0,2%.
1.3.6. Насыпная плотность в зависимости от класса крупности и марки порошков должна соответствовать нормам, указанным в табл.3.
Таблица 3
Класс круп- | Обозначение насыпной плотности | Насыпная плотность, г/см | |||
ПХ20Н80 | ПХ13М2 | ПХ18Н15 | ПХ17Н2, ПХ23Н18, ПХ18Н9Т, ПХ30 | ||
280 | 21 | - | - | От 1,7 до 2,5 включ. | От 1,7 до 2,6 включ. |
24 | - | От 2,0 до 2,6 включ. | - | - | |
160 | 23 | - | От 2,1 до 2,45 включ. | - | - |
24 | От 2,0 до 2,6 включ. | - | От 1,8 до 2,5 включ. | От 2,0 до 2,6 включ. | |
25 | - | - | От 1,8 до 3,0 включ. | - | |
56 | 24 | От 2,0 до 2,6 включ. | - | От 1,9 до 2,5 включ. | - |
26 | От 2,2 до 3,0 включ. | - | - | От 2,2 до 3,0 включ. | |
Примечание. Нормы насыпной плотности марок ПХН28МДТ и ПХ40Н60 устанавливают по согласованию изготовителя с потребителем.
1.3.7. Нормы текучести порошка устанавливают по согласованию изготовителя с потребителем.
1.4. Упаковка
1.4.1. Порошки упаковывают в полиэтиленовые мешки по ГОСТ 17811-78, которые помещают в металлические фляги по ГОСТ 5037-78 или металлические банки по НТД.
Вместимость фляг 40 дм (0,04 м
), банок - 7-15 дм
.
По требованию потребителя порошок упаковывают в банки меньшей вместимости.
1.4.2. Банки устанавливают в решетчатые деревянные ящики по ГОСТ 2991-85 (тип V или VI), или в штабелируемые обрешетки по ГОСТ 12082-82 (тип II-1, II-2 и II-3), или по другим НТД, или формируют в транспортные пакеты по ГОСТ 21929-76, ГОСТ 24597-81, ГОСТ 21650-76, ГОСТ 26381-84 и ГОСТ 26663-85.
1.5. Маркировка
1.5.1. Каждое грузовое место или банка снабжается ярлыком с указанием:
товарного знака или завода-изготовителя и товарного знака;
наименования или обозначения марки порошка, гранулометрического состава и насыпной плотности;
номера партии;
массы нетто;
даты выпуска.
Такой же ярлык помещается внутри каждого грузового места или банки.
1.5.2. Транспортная маркировка по ГОСТ 14192-77* с нанесением манипуляционного знака "Боится сырости".
______________
* На территории Российской Федерации действует ГОСТ 14192-96. - Примечание изготовителя базы данных.
2. ПРИЕМКА
2.1. Порошок принимают партиями массой до 1 т. Партия должна состоять из порошка одной марки и одного смешения и должна быть оформлена документом о качестве в соответствии с ГОСТ 7566-81*.
________________
* На территории Российской Федерации действует ГОСТ 7566-94. Здесь и далее. - Примечание изготовителя базы данных.
2.2. Для контроля качества упакованного порошка от партии отбирают выборку в количестве 10% упаковочных единиц, но не менее двух.
При получении неудовлетворительных результатов хотя бы по одному из показателей по нему проводят повторные испытания на удвоенной выборке от той же партии. Результаты повторных испытаний распространяются на всю партию.
2.3. Допускается изготовителю для определения качества продукции отбирать пробу из усреднителя перед упаковыванием.
При получении неудовлетворительных результатов хотя бы по одному показателю по нему проводят повторные испытания на вновь отобранной пробе. Результаты повторных испытаний распространяют на всю партию.
2.4. Массовую долю кислорода и насыпную плотность для марок ПХН28МДТ и ПХ40Н60, а также текучесть порошка всех марок определяют по требованию потребителя.
3. МЕТОДЫ ИСПЫТАНИЙ
3.1. Испытания проводят на одной представительной пробе массой 400-500 г.
Подготовка пробы по ГОСТ 23148-78*.
______________
* На территории Российской Федерации действует ГОСТ 23148-98. - Примечание изготовителя базы данных.
Отбор точечных проб проводят любым пробоотборником. Точки отбора выбирают произвольно.
Отбор новой пробы из усреднителя для проведения повторных испытаний проводят после дополнительного перемешивания порошка в течение 5 мин.
3.2. Определение химического состава порошков проводят по ГОСТ 12344-78*, ГОСТ 12345-80**, ГОСТ 12346-78, ГОСТ 12347-77, ГОСТ 12348-78, ГОСТ 12350-78, ГОСТ 12352-81, ГОСТ 12354-81, ГОСТ 12355-78 и ГОСТ 12356-81.
______________
* На территории Российской Федерации действует ГОСТ 12344-2003;
** На территории Российской Федерации действует ГОСТ 12345-2001. - Примечание изготовителя базы данных.
Определения массовой доли кислорода, железа, кальция и хрома (>35%) приведены в приложении.
Допускается определение химического состава другими методами, обеспечивающими требуемую точность анализа.
3.3. Гранулометрический состав определяют по ГОСТ 18318-73* на сетках ряда: 028, 016 и 0056.
______________
* На территории Российской Федерации действует ГОСТ 18318-94. - Примечание изготовителя базы данных.
3.4. Отсутствие комков и посторонних примесей в порошке проверяют визуально.
3.5. Для определения массовой доли влаги навеску порошка массой 10 г высушиванием при температуре 100-105 °С доводят до постоянной массы. Нагрев производят в нейтральной атмосфере. Взвешивают с погрешностью ±0,002 г.
3.6. Насыпную плотность определяют по ГОСТ 19440-74*.
______________
* На территории Российской Федерации действует ГОСТ 19440-94. - Примечание изготовителя базы данных.
3.7. Текучесть порошка определяют по ГОСТ 20899-75* или другими методами, обеспечивающими требуемую точность определения. При возникновении разногласий - по ГОСТ 20899-75*.
______________
* На территории Российской Федерации действует ГОСТ 20899-98. - Примечание изготовителя базы данных.
4. ТРАНСПОРТИРОВАНИЕ И ХРАНЕНИЕ
4.1. Порошок транспортируют всеми видами транспорта в крытых транспортных средствах в соответствии с правилами перевозки грузов, действующими на транспорте данного вида, и по техническим условиям погрузки и крепления грузов, утвержденными Министерством путей сообщения СССР.
4.2. Общие требования транспортирования по ГОСТ 7566-81.
4.3. Порошки перевозят по железной дороге повагонными или мелкими отправками в пакетированном виде.
Допускается перевозка банок с порошком в железнодорожных универсальных контейнерах грузоподъемностью 3 или 5 т и автомобильным транспортом потребителя без дополнительной упаковки.
4.4. Порошки должны храниться в сухом отапливаемом помещении при температуре не ниже 0 °С при отсутствии кислотных и других агрессивных сред.
5. ГАРАНТИИ ИЗГОТОВИТЕЛЯ
Изготовитель гарантирует соответствие порошков высоколегированных сталей и сплавов требованиям настоящего стандарта при соблюдении условий хранения.
Гарантийный срок хранения - 1 год с момента изготовления.
ПРИЛОЖЕНИЕ (рекомендуемое). МЕТОД определения массовой доли кислорода на газоанализаторе "LEKO" RO-116
ПРИЛОЖЕНИЕ
Рекомендуемое
Настоящий метод устанавливает определение кислорода от 0,05 до 0,80%. Метод предназначается для контроля готовой продукции и технологических процессов.
1. ОБЩИЕ ТРЕБОВАНИЯ
1.1. Масса пробы для анализа 0,3-0,5 г. Погрешность взвешивания ±0,001 г.
1.2. Проба порошка, поступающего на анализ, должна быть чистой, однородной, сухой.
1.3. Определение массовой доли кислорода проводят в двух навесках. Перед началом анализа проводят контрольный опыт (измерение массовой доли кислорода в пустом тигле). Затем проводят анализ двух навесок стандартного образца с химическим составом, соответствующим требованиям настоящей методики. За результат анализа принимают среднее арифметическое результатов двух параллельных определений при выполнении следующих условий:
расхождения между результатами параллельных определений не должны превышать допускаемых (при доверительной вероятности 0,95) приведенных в табл.4;
Таблица 4
Массовая доля кислорода, % | Абсолютное допускаемое расхождение, % |
От 0,05 до 0,10 | 0,020 |
Св. 0,10 " 0,20 | 0,025 |
" 0,20 " 0,50 | 0,04 |
" 0,50 " 0,80 | 0,05 |
воспроизведенное в стандартном образце значение массовой доли не должно отличаться от аттестованного более чем на
.
При невыполнении одного из условий проводят повторные определения, если и при повторных определениях хотя бы одно из указанных условий не выполняется, результаты определений признают неверными, определения прекращают до выявления и устранения причин, вызвавших нарушение нормального хода анализа.
2. СУЩНОСТЬ МЕТОДА
Метод основан на расплавлении пробы в графитовом тигле и определении количества выделившегося оксида углерода методом инфракрасной абсорбции.
3. АППАРАТУРА, РЕАКТИВЫ
Газоанализатор "LEKO" RO-116.
Щетка для чистки нижнего электрода печи.
Щетка для чистки верхнего электрода печи.
Пинцет для тиглей.
Пинцет для образцов.
Графитовые тигли "LEKO" (высота 22 мм, внутренний диаметр 0,8 мм) или производства Новочеркасского завода марки К 0,03.
Гелий газообразный очищенный марки Б чистотой не менее 99,99% или азот газообразный по ГОСТ 9293-74.
Воздух для питания пневматической системы приборов, поступающий под давлением 273 кПа (2,8 кгс/см).
Перклорат магния.
Аскарит.
Стекловата.
Спирт этиловый ректификованный технический по ГОСТ 18300-72*.
______________
* На территории Российской Федерации действует ГОСТ 18300-87. - Примечание изготовителя базы данных.
Ткани хлопчатобумажные бязевой группы по ГОСТ 11680-76.
Силиконовая смазка.
4. ПОДГОТОВКА К АНАЛИЗУ
4.1. Проводят подачу газов на прибор.
4.1.1. Открывают вентиль на баллоне с газом-носителем (гелием, азотом), устанавливают давление на выходе из системы 273 кПа (2,8 кгс/см).
4.1.2. Открывают вентиль на системе сжатого воздуха, устанавливают давление на выходе из системы 273 кПа (2,8 кгс/см).
4.1.3. Нажимают клавишу "GAS" на пульте управления: расходомеры на передней панели прибора показывают поток продувки и поток анализа.
4.2. Если прибор был выключен, то его прогревают и продувают газом-носителем в течение 2 ч.
4.3. Нажимают клавишу "MONITOR", печатающее устройство выдает данные об условиях работы системы. При необходимости проводят корректировку данных, согласно инструкции по эксплуатации.
4.4. Проводят тарирование весов.
4.5. Переключением тумблера в положение "ON" подают напряжение на печь EF-100. Контрольная лампочка на передней панели печи загорается.
4.6. Подают водяное охлаждение на печь.
4.7. В случае необходимости калибруют прибор с помощью стандартных образцов или по газам согласно инструкции по эксплуатации.
5. ПРОВЕДЕНИЕ АНАЛИЗА
Анализ проводят в ручном режиме работы прибора.
5.1. В память компьютера вводят результат контрольного опыта.
5.2. Взвешивают пробу на электронных весах, установленных на приборе. Нажатием клавиши "ENTER" на пульте управления вводят ее массу в память прибора.
5.3. Опускают нижний электрод печи нажатием клавиши "LOADER CONTROL".
5.4. Проводят чистку электродов печи.
5.5. Пинцетом устанавливают тигель в углубление нижнего электрода.
5.6. Нажимают кнопку "LOADER CONTROL" - печь закрывается.
5.7. Нажимают клавишу "ANALYZE" на пульте управления, происходит дегазация тигля при температуре около 3000 °С (1100 А).
Время дегазации 20 с (при использовании тиглей производства Новочеркасского завода - 30 с). По истечении 20 с печь охлаждается 10 с.
5.8. Нажимают кнопку "LOADER CONTROL" - печь открывается. С чашечки весов ссыпают в дегазированный тигель анализируемую пробу.
5.9. Нажимают кнопку "LOADER CONTROL" - печь закрывается.
5.10. Нажимают клавишу "ANALYZE" - начинается процесс анализа.
5.10.1. В течение 10 с идет продувка струей газа-носителя печного пространства от атмосферных газов.
5.10.2. Затем через тигель проходит ток 900 А. Содержимое тигля расплавляется, и выделившаяся окись углерода потоком газа-носителя направляется в инфракрасную ячейку, где измеряют выделившийся кислород в виде окиси углерода.
5.10.3. Результат выдается на цифровом табло и фиксируется печатающим устройством.
Массовая доля кислорода в процентах соответствует показаниям цифрового табло.
АТОМНО-АБСОРБЦИОННЫЙ МЕТОД ОПРЕДЕЛЕНИЯ МАССОВОЙ ДОЛИ ЖЕЛЕЗА
Настоящий метод устанавливает определение железа (при массовой доле железа от 0,1 до 1,0%). Анализ проводят в двух параллельных навесках. Общие требования к методу анализа по ГОСТ 20560-81.
1. Сущность метода
Метод основан на определении атомного поглощения железа при длине волны 248,3 нм. Для атомизации растворов используется пламя воздух-ацетилен.
Концентрация железа в анализируемом растворе составляет 0,000002-0,00001 г/см.
2. Аппаратура, реактивы, растворы
Весы лабораторные общего назначения по ГОСТ 24104-80* 2-го класса точности с наибольшим пределом взвешивания 200 г или любые другие весы, обеспечивающие те же метрологические характеристики.
________________
* На территории Российской Федерации действует ГОСТ 24104-2001. Здесь и далее. - Примечание изготовителя базы данных.
Атомно-абсорбционный спектрофотометр.
Лампа с полым катодом для определения железа.
Ацетилен растворимый и газообразный технический по ГОСТ 5457-75.
Баллон со сжатым воздухом или воздухопровод.
Кислота соляная по ГОСТ 3118-77.
Кислота азотная по ГОСТ 4461-77.
Вода дистиллированная по ГОСТ 6709-72.
Железо карбонильное рафинированное.
Стандартный раствор железа готовят следующим образом: 0,1 г карбонильного железа растворяют в 20 см соляной и 5 см
азотной кислоты. Выпаривают почти досуха, добавляют 5 см
соляной кислоты, 20 см
воды, кипятят до растворения солей. Раствор охлаждают, переносят в мерную колбу вместимостью 1 дм
, доливают до метки водой и перемешивают.
1 см стандартного раствора содержит 0,0001 г железа.
Прибор подготавливают к работе в соответствии с инструкцией.
3. Проведение анализа
Навеску порошка сплава массой 0,2 г помещают в стакан вместимостью 150 см и растворяют при нагревании в 30 см
соляной кислоты. По окончании растворения добавляют 5-7 см
азотной кислоты и выпаривают почти досуха. Затем добавляют 5 см
соляной кислоты, 20 см
воды, нагревают до растворения солей и фильтруют через фильтр "белая лента" в мерную колбу вместимостью 100 см
. Стакан и фильтр промывают 3-4 раза горячей водой. Содержимое колбы доливают водой до метки и перемешивают.
Оптическую плотность атомных паров железа измеряют на атомно-абсорбционном спектрофотометре в пламени воздух-ацетилен.
Для измерения оптической плотности атомных паров железа при массовой доле железа от 0,5 до 1,0% аликвотную часть раствора 5 см помещают в мерную колбу вместимостью 50 см
, доливают водой до метки и перемешивают.
После каждого измерения распыляют воду и проверяют нуль прибора. Концентрацию железа устанавливают по градуировочному графику.
Для построения градуировочного графика в мерные колбы вместимостью 100 см последовательно помещают 2,0; 4,0; 6,0; 8,0; 10,0 см
стандартного раствора железа, что соответствует 0,000002, 0,000004, 0,000006, 0,000008, 0,00001 г/см
железа. Затем во все колбы приливают по 5 см
соляной кислоты, доливают водой до метки и перемешивают. Фотометрирование ведут в порядке увеличения концентраций железа.
По найденным значениям оптической плотности и соответствующим им концентрациям железа строят градуировочный график в координатах: количество измеряемого элемента в г/см; оптическая плотность анализируемого раствора.
При работе с преобразователем экстинции построение графика не требуется.
4. Обработка результатов
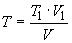
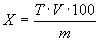
Массовую долю железа () в процентах вычисляют по формуле
,
где - концентрация измеряемого эквивалента в анализируемом растворе с учетом значения контрольного опыта, г/см
;
- исходный объем раствора, см
;
- объем разбавления аликвотной части раствора, см
;
- объем аликвотной части раствора, см
;
- масса навески, г.
Абсолютные допускаемые расхождения между результатами двух параллельных определений при доверительной вероятности =0,95 приведены в табл.5.
Таблица 5
Измеряемый элемент | Массовая доля элемента, % | Абсолютное допускаемое расхождение, % |
Железо | От 0,10 до 0,20 | 0,015 |
Св. 0,20 до 0,50 | 0,02 | |
Св. 0,50 до 1,0 | 0,03 |
АТОМНО-АБСОРБЦИОННЫЙ МЕТОД ОПРЕДЕЛЕНИЯ МАССОВОЙ ДОЛИ КАЛЬЦИЯ
Настоящий метод устанавливает определение кальция (при массовой доле кальция от 0,05 до 0,25%). Анализ проводят в двух параллельных навесках. Общие требования к методу анализа по ГОСТ 20560-81.
1. Сущность метода
Метод основан на измерении поглощения излучения атомами кальция при резонансной линии 422,7 нм. Концентрация кальция при атомизации составляет 0,000002-0,00001 г/см.
Для подавления ионизации и устранения влияния сопутствующих элементов в анализируемый раствор добавляют растворы хлористых солей калия и стронция.
2. Аппаратура, реактивы и растворы
Весы лабораторные общего назначения по ГОСТ 24104-80 2-го класса точности с наибольшим пределом взвешивания 200 г или любые другие весы, обеспечивающие те же метрологические характеристики.
Спектрофотометр атомно-абсорбционный.
Лампа с полым катодом для определения кальция.
Ацетилен растворенный и газообразный технический по ГОСТ 5457-75.
Баллон со сжатым воздухом или воздухопровод.
Электропечь сопротивления лабораторная по ГОСТ 13474-79.
Термопара ТПП.
Эксикатор по ГОСТ 25336-82.
Тигли платиновые по ГОСТ 6563-75.
Вода дистиллированная по ГОСТ 6709-72.
Кислота соляная по ГОСТ 3118-77 и разбавленная 1:1.
Кислота азотная по ГОСТ 4461-77.
Калий хлористый по ГОСТ 4234-77.
Стронций хлористый 6-водный по ГОСТ 4140-74.
Кальций углекислый по ГОСТ 4530-76.
Кислота щавелевая по ГОСТ 22180-76 с массовой концентрацией 0,1 г/см.
Метиловый оранжевый (индикатор), раствор с массовой концентрацией 0,001 г/см.
Аммиак водный по ГОСТ 3760-79.
Аммоний щавелевокислый по ГОСТ 5712-78, раствор с массовой концентрацией 0,1 г/см.
Серебро азотнокислое по ГОСТ 1277-75, раствор с массовой концентрацией 0,001 г/см.
Никель первичный по ГОСТ 849-70*.
______________
* На территории Российской Федерации действует ГОСТ 849-97. - Примечание изготовителя базы данных.
Хром электролитический рафинированный.
3. Подготовка к анализу
3.1. Калий хлористый готовят следующим образом: 95,35 г хлористого калия растворяют в 400 см воды при слабом нагревании. Раствор охлаждают, переносят в мерную колбу вместимостью 1 дм
, доливают водой до метки и перемешивают.
1 см раствора содержит 0,05 г калия.
3.2. Стронций хлористый готовят следующим образом: 152,15 г хлористого стронция растворяют при слабом нагревании в 400 см воды, охлаждают, переносят в мерную колбу вместимостью 1 дм
, доливают водой до метки и перемешивают.
1 см раствора содержит 0,05 г стронция.
3.3. Стандартный раствор кальция готовят следующим образом: 0,25 г углекислого кальция, предварительно высушенного при 110 °С до постоянной массы, смачивают водой и растворяют в 40 см соляной кислоты, разбавленной 1:1. Раствор переносят в мерную колбу вместимостью 1 дм
, доливают водой до метки и перемешивают.
1 см раствора содержит 0,0001 г кальция.
Массовую концентрацию кальция в стандартном растворе проверяют гравиметрическим методом.
Для этого аликвотную часть стандартного раствора кальция 100 см помещают в коническую колбу вместимостью 500 см
, приливают 10 см
соляной кислоты и разбавляют водой до 150 см
.
Раствор нагревают до кипения, приливают 15-20 см раствора щавелевой кислоты, добавляют 2 капли индикатора метилового оранжевого и нейтрализуют аммиаком. После изменения окраски раствора добавляют еще 5-6 капель аммиака и кипятят 15 мин.
Через 2 ч осадок отфильтровывают на фильтр "синяя лента", содержащий небольшое количество фильтробумажной массы. Осадок на колбе смывают на фильтр и промывают 8-10 раз теплым раствором щавелевокислого аммония, а затем водой до прекращения реакции на ион хлора в промывных водах (проба фильтрата раствором азотнокислого серебра).
Фильтр с осадком помещают в предварительно прокаленный до постоянной массы платиновый тигель, осторожно озоляют, прокаливают при 1000-1100 °С до постоянной массы, охлаждают в эксикаторе и взвешивают.
Массовую концентрацию кальция (), г/см
, вычисляют по формуле
,
где - масса осадка окиси кальция, г;
0,7147 - коэффициент пересчета с окиси кальция на кальций; - аликвотная часть стандартного раствора кальция, взятая для анализа, см
.
3.4. Приборы подготавливают к работе в соответствии с инструкциями по эксплуатации.
4. Проведение анализа
Навеску порошка сплава массой 0,2 г помещают в стакан вместимостью 150 см, приливают 20 см
соляной кислоты и растворяют при умеренном нагревании. Затем по каплям добавляют азотную кислоту до прекращения вспенивания раствора и кипятят до удаления окислов азота.
Раствор переносят в мерную колбу вместимостью 50 см, приливают 2 см
раствора хлористого калия, 5 см
раствора хлористого стронция, перемешивают, доливают водой до метки и снова перемешивают.
После каждого измерения распыляют воду и проверяют нуль прибора.
По значению оптической плотности анализируемого раствора с учетом значения оптической плотности контрольного раствора устанавливают массовую долю кальция по градуировочному графику.
Для построения градуировочного графика в шесть стаканов вместимостью 150 см помещают по 0,12 г никелевого порошка, по 0,08 г электролитического хрома и последовательно приливают 0,0; 1; 2; 3, 4, 5 см
стандартного раствора кальция, что соответствует 0,0, 0,000002, 0,000004, 0,000006, 0,000008, 0,000010 см
кальция. Первый стакан, не содержащий стандартного раствора кальция, служит контрольным (нулевым) опытом. Затем во все стаканы приливают по 20 см
соляной кислоты и далее анализ проводят, как указано в п.4.
Фотометрирование ведут в порядке увеличения концентраций кальция.
По найденным средним значениям оптической плотности и соответствующим им концентрациям кальция с учетом контрольного опыта строят градуировочный график в координатах: количество измеряемого элемента в г/см - оптическая плотность анализируемого раствора.
При работе с экстинкционным преобразователем построение градуировочного графика не требуется. В этом случае снимают показания после распыления пробы в г/см, согласно инструкции по эксплуатации прибора ТЭС-1.
5. Обработка результатов
Массовую долю кальция () в процентах вычисляют по формуле
,
где - массовая концентрация кальция в анализируемом растворе с учетом контрольного опыта, г/см
;
- объем анализируемого раствора, см
;
- масса навески, г.
Абсолютные допустимые расхождения между результатами двух параллельных определений при доверительной вероятности =0,95 приведены в табл.6.
Таблица 6
Массовая доля кальция, % | Абсолютное допускаемое расхождение, % |
От 0,05 до 0,10 | 0,02 |
Св. 0,10 до 0,25 | 0,03 |
ТИТРИМЕТРИЧЕСКИЙ МЕТОД ОПРЕДЕЛЕНИЯ МАССОВОЙ ДОЛИ ХРОМА
Настоящий метод устанавливает определение хрома (при массовой доле хрома от 35,0 до 50,0%). Анализ проводят в двух параллельных навесках. Общие требования к методу анализа по ГОСТ 20560-81.
1. Сущность метода
Метод основан на окислении хрома (III) надсернокислым аммонием до хрома (VI) в сернокислой среде в присутствии азотнокислого серебра. Хромовую кислоту титруют раствором железа (II) в присутствии индикатора фенилантраниловой кислоты.
2. Аппаратура, реактивы и растворы
Весы лабораторные общего назначения по ГОСТ 24104-80 2-го класса точности с наибольшим пределом взвешивания 200 г или любые другие весы, обеспечивающие те же метрологические характеристики.
Кислота соляная по ГОСТ 3118-77, разбавленная 1:1.
Кислота азотная по ГОСТ 4461-77.
Кислота серная по ГОСТ 4204-77, разбавленная 1:1, 1:4, 1:20.
Марганец сернокислый 5-водный по ГОСТ 435-77, раствор с массовой концентрацией 5 г/дм.
Кислота ортофосфорная по ГОСТ 6552-80.
Серебро азотнокислое по ГОСТ 1277-75, раствор с массовой концентрацией 1,5 г/дм.
Аммоний надсернокислый по ГОСТ 20478-75, раствор с массовой концентрацией 200 г/дм.
Натрий хлористый по ГОСТ 4233-77, раствор с массовой концентрацией 50 г/дм.
Кислота фенилантраниловая, раствор с массовой концентрацией 2 г/дм.
Натрий углекислый по ГОСТ 83-79.
Соль закиси железа и аммония двойная сернокислая (соль Мора) по ГОСТ 4208-72, раствор с молярной концентрацией эквивалента 0,1 моль/дм.
Калий двухромовокислый, раствор с молярной концентрацией эквивалента 0,1 моль/дм.
Вода дистиллированная по ГОСТ 6709-72.
3. Подготовка к анализу
3.1. Фенилантраниловая кислота, раствор: 0,2 г фенилантраниловой кислоты и 0,2 г углекислого натрия растворяют в 100 см горячей воды. Раствор охлаждают.
3.2. Соль Мора, раствор с молярной концентрацией эквивалента 0,1 моль/дм. 40 г соли Мора растворяют в 200 см
серной кислоты, разбавленной 1:20, раствор переносят в мерную колбу вместимостью 1 дм
, доливают до метки серной кислотой, разбавленной 1:20, и перемешивают.
Массовую концентрацию соли Мора устанавливают по стандартному образцу, близкому по химическому составу и массовой доле хрома к анализируемой пробе и проведенному через все стадии анализа, как указано в п.4, или по двухромовокислому калию.
Массовую концентрацию соли Мора () по стандартному образцу, выраженную в г/см
хрома, вычисляют по формуле
,
где - массовая доля хрома в стандартном образце, %;
- масса навески стандартного образца, г;
- объем раствора соли Мора, израсходованный на титрование, см
.
Для установления массовой концентрации раствора соли Мора по раствору двухромовокислого калия отбирают 25 см раствора с молярной концентрацией эквивалента 0,1 моль/дм
двухромовокислого калия, помещают в коническую колбу вместимостью 250 см
, разбавляют водой до 100 см
, приливают 30 см
серной кислоты, разбавленной 1:4,5 см
фосфорной кислоты, 5-6 капель раствора фенилантраниловой кислоты и титруют раствором соли Мора до появления зеленой окраски раствора.
Массовую концентрацию соли Мора (), выраженную в г/см
хрома, вычисляют по формуле
,
где - массовая концентрация раствора двухромовокислого калия, выраженная в г/см
хрома;
- объем раствора двухромовокислого калия, взятый для титрования, см
;
- объем раствора соли Мора, израсходованный на титрование раствора двухромовокислого калия, см
.
3.3. Калий двухромовокислый раствор с молярной концентрацией эквивалента 0,1 моль/дм: содержимое ампулы стандарт-титра (0,1 моль/дм
молярная концентрация эквивалента двухромовокислого калия) количественно переносят в мерную колбу вместимостью 1 дм
, растворяют в воде, доливают водой до метки и перемешивают.
1 см раствора соответствует 0,001733 г хрома.
4. Проведение анализа
Навеску порошка сплава массой 0,1 г помещают в коническую колбу вместимостью 500 см, приливают 40 см
соляной кислоты, разбавленной 1:1 и умеренно нагревают до растворения. Затем приливают по каплям азотную кислоту до прекращения вспенивания раствора и избыток 2-3 см
. Раствор кипятят до удаления окислов азота, охлаждают, осторожно приливают 10 см
серной кислоты, разбавленной 1:1, и выпаривают до появления ее паров. По охлаждении приливают 150 см
воды и нагревают до растворения солей.
К раствору приливают 1 см раствора сернокислого марганца, 1-2 см
фосфорной кислоты, 10 см
раствора азотнокислого серебра, 20-40 см
раствора надсернокислого аммония и нагревают до появления малиновой окраски. Затем раствор кипятят до полного разрушения избытка надсернокислого аммония, приливают 5 см
раствора хлористого натрия и осторожно кипятят до исчезновения малиновой окраски.
Раствор охлаждают до комнатной температуры, разбавляют водой до 250-300 см, приливают 20 см
серной кислоты, разбавленной 1:4, 5-6 капель раствора фенилантраниловой кислоты и титруют раствором соли Мора до появления зеленой окраски раствора.
5. Обработка результатов
Массовую долю хрома () в процентах вычисляют по формуле
,
где - массовая концентрация раствора соли Мора, выраженная в г/см
;
- объем раствора соли Мора, израсходованный на титрование, см
;
- масса навески, г.
Абсолютные допускаемые расхождения между результатами двух параллельных определений при доверительной вероятности =0,95 приведены в табл.7
Таблица 7
Массовая доля хрома, % | Абсолютное допускаемое расхождение, % |
Св. 35,0 до 50,0 | 0,4 |
Электронный текст документа
подготовлен АО "Кодекс" и сверен по:
официальное издание
М.: Издательство стандартов, 1988
Редакция документа с учетом
изменений и дополнений подготовлена
АО "Кодекс"
Разместите заказ
сами сделают вам предложение
