ГОСТы сталей. ГОСТ 5494-95
ГОСТ 5494-95
Группа В56
МЕЖГОСУДАРСТВЕННЫЙ СТАНДАРТ
ПУДРА АЛЮМИНИЕВАЯ
Технические условия
Pigmentary aluminium. Specifications
МКС 77.160
ОКП 17 9131
Дата введения 1997-01-01
Предисловие
1 РАЗРАБОТАН Российской Федерацией, Техническим комитетом ТК 99 "Алюминий"
ВНЕСЕН Техническим секретариатом Межгосударственного совета по стандартизации, метрологии и сертификации
2 ПРИНЯТ Межгосударственным советом по стандартизации, метрологии и сертификации (протокол N 7 от 26 апреля 1995 г.)
За принятие проголосовали:
Наименование государства | Наименование национального органа по стандартизации |
Республика Беларусь | Госстандарт Беларуси |
Республика Казахстан | Госстандарт Республики Казахстан |
Российская Федерация | Госстандарт России |
Украина | Госстандарт Украины |
3 Постановлением Комитета Российской Федерации по стандартизации, метрологии и сертификации от 26 марта 1996 г. N 204 межгосударственный стандарт ГОСТ 5494-95 введен в действие в качестве государственного стандарта Российской Федерации с 1 января 1997 г.
4 ВЗАМЕН ГОСТ 5494-71
5 ИЗДАНИЕ. Март 2006 г.
1 ОБЛАСТЬ ПРИМЕНЕНИЯ
1 Область применения
Настоящий стандарт распространяется на алюминиевую пудру (порошок), представляющую особо тонкоизмельченные частицы алюминия пластинчатой формы и применяемую в качестве алюминиевых пигментов широкого назначения (светоотражающие, коррозионнозащитные, термостойкие, декоративные и другие краски), эмалей, лаков, шпатлевок и для производства газобетона.
Стандарт устанавливает требования к алюминиевой пудре, изготовляемой для нужд народного хозяйства и для поставки на экспорт.
Требования настоящего стандарта являются обязательными.
2 НОРМАТИВНЫЕ ССЫЛКИ
В настоящем стандарте использованы ссылки на следующие стандарты:
ГОСТ 12.1.004-91 Система стандартов безопасности труда. Пожарная безопасность. Общие требования
ГОСТ 12.1.005-88 Система стандартов безопасности труда. Общие санитарно-гигиенические требования к воздуху рабочей зоны
ГОСТ 12.1.010-76 Система стандартов безопасности труда. Взрывобезопасность. Общие требования
ГОСТ 12.1.018-93 Система стандартов безопасности труда. Пожаровзрывобезопасность статического электричества. Общие требования
ГОСТ 12.1.044-89 Система стандартов безопасности труда. Пожаровзрывобезопасность веществ и материалов. Номенклатура показателей и методы их определения
ГОСТ 12.3.009-76 Система стандартов безопасности труда. Работы погрузочно-разгрузочные. Общие требования безопасности
ГОСТ 12.4.026-76* Система стандартов безопасности труда. Цвета сигнальные и знаки безопасности
________________
* На территории Российской Федерации действует ГОСТ Р 12.4.026-2001.
ГОСТ 12.4.028-76 Система стандартов безопасности труда. Респираторы ШБ-1 "Лепесток". Технические условия
ГОСТ 427-75 Линейки измерительные металлические. Технические условия
ГОСТ 4328-77 Натрия гидроокись. Технические условия
ГОСТ 5044-79 Барабаны стальные тонкостенные для химических продуктов. Технические условия
ГОСТ 5583-78 (ИСО 2046-73) Кислород газообразный технический и медицинский. Технические условия
ГОСТ 6613-86 Сетки проволочные тканые с квадратными ячейками. Технические условия
ГОСТ 6709-72 Вода дистиллированная. Технические условия
ГОСТ 7995-80 Краны соединительные стеклянные. Технические условия
ГОСТ 9147-80 Посуда и оборудование лабораторные фарфоровые. Технические условия
ГОСТ 11069-2001 Алюминий первичный. Марки
ГОСТ 12697.3-77 Алюминий. Метод определения марганца
ГОСТ 12697.6-77 Алюминий. Метод определения кремния
ГОСТ 12697.7-77 Алюминий. Методы определения железа
ГОСТ 12697.8-77 Алюминий. Методы определения меди
ГОСТ 14192-96 Маркировка грузов
ГОСТ 15846-2002 Продукция, отправляемая в районы Крайнего Севера и приравненные к ним местности. Упаковка, маркировка, транспортирование и хранение
ГОСТ 17299-78 Спирт этиловый технический. Технические условия
ГОСТ 18300-87 Спирт этиловый ректификованный технический. Технические условия
ГОСТ 19433-88 Грузы опасные. Классификация и маркировка
ГОСТ 23148-98 (ИСО 3954-77) Порошки, применяемые в порошковой металлургии. Отбор проб
ГОСТ 24104-88 Весы лабораторные общего назначения и образцовые. Общие технические условия*
________________
* С 1 июля 2002 г. введен в действие ГОСТ 24104-2001**.
** На территории Российской Федерации документ не действует. Действует ГОСТ Р 53228-2008, здесь и далее по тексту. - Примечание изготовителя базы данных.
ГОСТ 24597-81 Пакеты тарно-штучных грузов. Основные параметры и размеры
ГОСТ 25086-87* Цветные металлы и их сплавы. Общие требования к методам анализа
________________
* На территории Российской Федерации документ не действует. Действует ГОСТ 25086-2011, здесь и далее по тексту. - Примечание изготовителя базы данных.
ГОСТ 25336-82 Посуда и оборудование лабораторные стеклянные. Типы, основные параметры и размеры
ГОСТ 26319-84 Грузы опасные. Упаковка
ГОСТ 26663-85 Пакеты транспортные. Формирование с применением средств пакетирования. Общие технические требования
ГОСТ 28498-90 Термометры жидкостные стеклянные. Общие технические требования. Методы испытаний
ГОСТ 29252-91 (ИСО 385-2-84) Посуда лабораторная стеклянная. Бюретки. Часть 2. Бюретки без времени ожидания
ОСТ 25.1256-86* Газоанализаторы. Технические условия
________________
* Документ в информационных продуктах не содержится. За информацией о документе Вы можете обратиться в Службу поддержки пользователей. - Примечание изготовителя базы данных.
ТУ 48-5-254-86* Барабаны стальные тонкостенные для порошков и пудр из алюминия и его сплавов
________________
* ТУ, упомянутые здесь и далее по тексту, являются авторской разработкой. За дополнительной информацией обратитесь по ссылке. - Примечание изготовителя базы данных.
ТУ 48-5-286-87 Поддон плоский деревянный размером 880х1280 мм
ТУ 81-05-74-77 Скипидар живичный. Технические условия
3 ТЕХНИЧЕСКИЕ ТРЕБОВАНИЯ
3.1 Алюминиевую пудру изготовляют в соответствии с требованиями настоящего стандарта по технологическому регламенту, утвержденному в установленном порядке.
Пудру изготовляют из первичного алюминия марки не ниже А5 по ГОСТ 11069 или его отходов, если по своему химическому составу они не ниже марки А5.
3.2 Алюминиевую пудру выпускают пяти марок: ПАП-1, ПАП-2, ПАГ-1, ПАГ-2 и ПАГ-3.
Физические свойства и химический состав алюминиевой пудры приведен в таблице 1.
Таблица 1
Марка | Код ОКП | Кроющая способ- ность на воде, см | Грануло- | Химический состав, % | Всплы- | ||||||||
Остаток на ситах, %, не более (номера сеток по ГОСТ 6613) | Актив- |
| |||||||||||
+008 | +0056 | +0045 | желе- | крем- ния | меди | мар- ган- | влаги | жиро- | |||||
ПАП-1 | 17 9131 0001 | 7000 | 1,0 | - | - | - | 0,5 | 0,4 | 0,05 | 0,01 | 0,2 | 3,8 | 80 |
ПАП-2 | 17 9131 0002 | 10000 | - | 0,3 | 0,5 | - | 0,5 | 0,4 | 0,05 | 0,01 | 0,2 | 3,8 | 80 |
ПАГ-1 | 17 9131 0003 | 6000 | 1,5 | - | - | 90 | - | - | - | - | - | 2,4 | - |
ПАГ-2 | 17 9131 0004 | 8000 | - | 0,7 | - | 88 | - | - | - | - | - | 3,0 | - |
ПАГ-3 | 17 9131 0005 | 10000 | - | - | 0,5 | 86 | - | - | - | - | - | 3,2 | - |
| |||||||||||||
3.3 Пудра представляет собой продукт серебристо-серого цвета, не содержащий видимых невооруженным глазом инородных примесей.
3.4 Алюминиевую пудру упаковывают в соответствии с требованиями ГОСТ 26319 в металлические герметично закрывающиеся барабаны типа БТ-50-II или БТO-50-I по ГОСТ 5044 или ТУ 48-5-254, вместимостью 50 дм до полной вместимости. Для предохранения от коррозии наружная поверхность барабанов должна быть окрашена.
3.5 Транспортная маркировка по ГОСТ 14192. На каждом барабане несмываемой краской (при помощи штампа, трафарета или бумажного ярлыка) должны быть нанесены манипуляционные знаки: "Беречь от влаги" и "Герметичная упаковка"; товарный знак или наименование и товарный знак предприятия-изготовителя; масса брутто и нетто; номер партии; марка пудры; дата изготовления, номер упаковочной единицы; обозначение настоящего стандарта; знак опасности по ГОСТ 19433 основного подкласса 4.3, чертеж 4в; классифицированный шифр группы 4312 по ГОСТ 19433; серийный номер ООН 1396 и наименование груза "алюминий - порошок непокрытый".
4 ТРЕБОВАНИЯ БЕЗОПАСНОСТИ
4.1 В соответствии с требованиями ГОСТ 12.1.005 по степени воздействия на организм человека алюминиевую пыль относят к 3-му классу опасности.
При вдыхании алюминиевая пыль обладает выраженным фиброгенным и слаботоксичным действием. Возможно развитие алюминоза легких, раздражение слизистых оболочек глаз, носа.
4.2 Предельно допустимая концентрация алюминиевой пыли в воздухе рабочей зоны по ГОСТ 12.1.005 - 2 мг/м.
Контроль воздушной среды рабочей зоны необходимо осуществлять в соответствии с требованиями ГОСТ 12.1.005.
Определение содержания алюминия в воздухе рабочей зоны следует проводить фотометрическим методом в соответствии с методиками, утвержденными Министерством здравоохранения.
4.3 В соответствии с требованиями ГОСТ 12.1.044 алюминиевая пыль относится к группе горючих веществ. Алюминиевая пудра во взвешенном состоянии в атмосфере воздуха (аэрозоль) взрывоопасна, а в насыпном состоянии (аэрогель) - пожароопасна.
При наличии источника инициирования воспламенения (горящие или накаленные тела, искрение от удара и трения, тепловые проявления химических реакций и механических воздействий, электрические разряды и т.д.) аэрозоль алюминиевой пыли при концентрации выше нижнего концентрационного предела (НКПР) взрывается. При этом осевшая в помещении алюминиевая пыль может перейти во взвешенное состояние и вызвать дополнительный, более сильный взрыв. НКПР алюминиевой пыли не менее 40 г/м, ориентировочные значения показателей температуры воспламенения аэрозоля 540 °С, аэрогеля 320 °С. При взрыве аэровзвеси алюминиевой пыли максимальное давление взрыва достигает 0,8 МПа, при этом максимальная скорость нарастания давления взрыва составляет 35 МПа·с
, а средняя - 25 МПа·с
.
Перечисленные показатели пожаровзрывоопасности определены в соответствии с ГОСТ 12.1.044.
При попадании в пудру воды возможно ее самовозгорание. Опасность возрастает по мере увеличения дисперсности пудры.
При работе с пудрой необходимо избегать пыления и скоплений осевшей пыли, не допускать наличия источников инициирования воспламенения, попадания в пудру влаги.
4.4 В соответствии с требованиями ГОСТ 19433 по степени опасности груза пудру относят к опасным грузам класса 4, подкласса 4.3. Категория опасности груза 431.
4.5 Для тушения алюминиевой пудры применяют: песок, асбестовые одеяла, сухие порошки глинозема, магнезита, обезвоженного карналлита и огнетушащие порошки на основе хлоридов щелочных и щелочноземельных металлов. Знак безопасности: "Запрещается тушить водой" - ГОСТ 12.4.026. Общие требования по обеспечению пожарной безопасности - ГОСТ 12.1.004, взрывобезопасность - ГОСТ 12.1.010, электростатическая искробезопасность - ГОСТ 12.1.018.
4.6 Алюминиевая пыль не образует токсичных соединений при высоких температурах (условия пожара).
Для индивидуальной защиты органов дыхания от аэрозолей алюминия следует применять респираторы ШБ-1 "Лепесток" по ГОСТ 12.4.028. Работы с алюминиевой пудрой необходимо проводить в пылезащитной спецодежде.
4.7 Отходы должны сжигать в местах, согласованных с местными органами пожарного надзора.
5 ПРИЕМКА
5.1 Алюминиевую пудру принимают партиями. Партии должны состоять из пудры одной марки и массой не более 5 т и оформлена одним документом о качестве, содержащим:
- товарный знак или наименование и товарный знак предприятия-изготовителя;
- наименование и марку пудры;
- номер партии;
- массу нетто партии;
- количество упаковочных единиц в партии;
- результаты испытаний;
- дату изготовления;
- обозначение настоящего стандарта.
5.2 Проверку соответствия упаковки и маркировки требованиям настоящего стандарта проводят на каждом барабане партии.
5.3 Для проверки соответствия качества пудры требованиям настоящего стандарта от партии отбирают выборку в соответствии с таблицей 2. Пудру, находящуюся в каждом отобранном барабане, проверяют на соответствие требованиям 3.3.
Таблица 2
Количество барабанов | |
в партии | в выборке |
1-5 | все |
6-10 | 6 |
11-15 | 8 |
16-20 | 9 |
21-25 | 10 |
26-35 | 11 |
36-55 | 12 |
56-80 | 13 |
81-100 | 14 |
101-200 | 15 |
201-300 | 16 |
5.4 Определение содержания влаги, примесей железа, кремния, меди и марганца изготовитель проводит по требованию потребителя.
5.5 При получении неудовлетворительных результатов хотя бы по одному из показателей по нему проводят повторные испытания на удвоенной выборке, отобранной от той же партии пудры. Результаты повторных испытаний распространяются на всю партию.
6 МЕТОДЫ КОНТРОЛЯ
6.1 Отбор и подготовка проб
6.1.1 Точечные пробы отбирают щупом по ГОСТ 23148, погруженным в барабан не менее чем на 2/3 глубины, пробы объединяют и тщательно перемешивают. Полученную объединенную пробу сокращают методом квартования или при помощи струйного делителя до средней пробы массой не менее 500 г.
6.1.2 Полученную среднюю пробу делят на две равные части. Одну часть передают в заводскую лабораторию для проверки соответствия требованиям 3.2, а другую упаковывают в плотно закрывающуюся тару и хранят в отделе технического контроля предприятия в течение трех месяцев на случай возникновения разногласий в оценке качества.
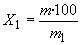
6.2 Определение кроющей способности на воде
6.2.1 Аппаратура и реактивы
Сосуд прямоугольной формы с гладкими полированными кромками. Сосуд имеет четыре винта для регулирования горизонтального уровня. Размеры сосуда 650х200х100 мм.
Пластинки стеклянные, пластмассовые или из оргстекла длиной 300 мм, шириной 20 мм - 2 шт.
Кисточка мягкая.
Линейка измерительная по ГОСТ 427.
Весы лабораторные общего назначения 2-го класса точности с погрешностью взвешивания не более 0,001 г по ГОСТ 24104.
Парафин.
Вода дистиллированная или депонированная, удовлетворяющая требованиям ГОСТ 6709.
Допускается использование других средств измерения (приборов, мерной посуды и т.д.), реактивов, материалов и оборудования с аналогичными метрологическими и техническими характеристиками.
6.2.2 Подготовка к испытанию
Верхние кромки прямоугольного сосуда и боковые кромки стеклянных пластинок натирают парафином и полируют мягкой тканью. Сосуд заполняют дистиллированной водой так, чтобы уровень воды был несколько выше кромки сосуда. При помощи регулировочных винтов сосуд устанавливают строго горизонтально.
6.2.3 Проведение испытания
Навеску пудры 0,05-0,1 г, взвешенную с погрешностью не более 0,001 г, равномерно рассыпают совочком из алюминия или другого неискрообразующего материала на поверхности воды, ограниченной двумя пластинками. Пудру распределяют по поверхности воды мягкой кисточкой. Сдвигая и раздвигая пластинки, добиваются такого положения, чтобы вся ограниченная ими поверхность воды в сосуде была покрыта сплошным ровным слоем пудры без просветов, морщин и складок.
Поверхность воды, покрытую сплошным слоем пудры, измеряют линейкой.
6.2.4 Обработка результатов
Кроющую способность пудры на воде , см
/г, вычисляют по формуле
, (1)
где - измеренная площадь, см
;
- навеска пудры, г.
За результат испытания принимают округленное до целых среднеарифметическое результатов двух параллельных определений, расхождение между которыми с доверительной вероятностью 0,95 не должно превышать 5% относительно большего значения.
6.3 Определение гранулометрического состава
6.3.1 Аппаратура и реактивы
Весы лабораторные общего назначения 2-го класса точности с погрешностью взвешивания не более 0,001 г по ГОСТ 24104.
Контрольные сита с сетками N 008, 0056, 0045 по ГОСТ 6613 с диаметром не более 120 см*, высотой не более 5 см.
________________
* Текст документа соответствует оригиналу. - Примечание изготовителя базы данных.
Чашки типа ЧКЦ по ГОСТ 25336 вместимостью не более 1000 см.
Шкаф сушильный, обеспечивающий температуру нагрева 80 °С - 85 °С, по нормативно-технической документации.
Кисточка мягкая.
Спирт этиловый технический (гидролизный) по ГОСТ 17299 или спирт этиловый (ректификованный) по ГОСТ 18300.
6.3.2 Проведение испытания
Гранулометрический состав пудры определяют посредством мокрого просеивания. Промывные емкости заполняют спиртом.
Навеску пудры 1 г, взвешенную с погрешностью не более 0,001 г, помещают на сито с сеткой N 0045 и заливают спиртом. Пробу размешивают в спирте кисточкой, держа сито над первой емкостью. Затем, попеременно приподнимая и погружая сито в первую емкость, добиваются промывки большей части пудры. Операцию повторяют во второй емкости со спиртом до тех пор, пока остаток на сите не станет постоянным (на глаз). После этого операцию промывки повторяют в третьей емкости. Окончание просеивания определяют следующим образом: вытекающий из сита спирт не должен содержать частиц алюминия. При промывке пудры в первой емкости допускается применять мягкую кисточку длиной ворса не менее 12 мм. При последующих операциях применять кисточку не допускается.
После просеивания сито переносят на чистый поддон, дают стечь остаткам спирта и затем сито вместе с остатком пудры переносят в сушильный шкаф.
В сушильном шкафу сито высушивают до постоянной массы при температуре 80 °С - 85 °С и после охлаждения взвешивают. Высушивание заканчивают, когда контрольное взвешивание, произведенное с погрешностью не более 0,001 г, покажет, что масса постоянна или начинает увеличиваться от окисления навески.
Высушенный остаток на сите с сеткой N 0045 переносят на сито с сеткой N 0056 и повторяют все операции, описанные выше.
Операции при определении остатка на ситах с сетками N 008 аналогичны операциям, описанным для сита с сеткой N 0045.
6.3.3 Обработка результатов
Массовую долю фракций , %, вычисляют по формуле
, (2)
где - остаток на сите, г;
- навеска пудры, г.
За результат испытания принимают округленное до первого десятичного знака среднеарифметическое результатов двух параллельных определений, расхождение между которыми с доверительной вероятностью 0,95 не должно превышать 25% относительно большего значения.
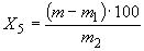
6.4 Определение всплываемости по шпателю
6.4.1 Аппаратура и реактивы
Шпатель стальной полированный (8) с округленным концом длиной 140-200, шириной 8-10, толщиной 0,5-1 мм.
Линейка измерительная по ГОСТ 427.
Пробирка стеклянная диаметром не менее 10 мм, высотой не менее 100 мм.
Скипидар живичный без пинена по ТУ 81-05-74.
Смола инден-кумароновая марок B/I, В/II, Г/I, Г/II, Б.
Весы лабораторные общего назначения 4-го класса точности с погрешностью взвешивания не более 0,1 г по ГОСТ 24104.
6.4.2 Проведение испытания
Навеску алюминиевой пудры 1,5 г помещают в пробирку и добавляют 10 см раствора инден-кумароновой смолы в скипидаре (250 г инден-кумароновой смолы на 1 дм
скипидара, температура (20±2) °С).
Содержимое пробирки перемешивают встряхиванием, предварительно закрыв пробирку резиновой или корковой пробкой. Затем в пробирку вводят полированный стальной шпатель и осторожно вращают его попеременно в противоположных направлениях 10 с.
После этого осторожно, не касаясь стенок пробирки, шпатель вынимают с равномерной скоростью 3-5 см/с и подвешивают в вертикальном положении. Когда жидкость со шпателя стечет, измеряют высоту участка шпателя, покрытую сплошным зеркальным покровом пудры, и общую глубину погружения шпателей в смесь. Измерения производят линейкой.
6.4.3 Обработка результатов
Всплываемость , %, вычисляют по формуле
, (3)
где - высота сплошной зеркальной поверхности, мм;
- общая глубина погружения шпателя, мм.
За результат испытания принимают округленное до целых среднеарифметическое результатов двух параллельных определений, расхождение между которыми с доверительной вероятностью 0,95 не должно превышать 10% относительно большего значения.
6.5 Определение массовой доли активного алюминия
Массовую долю активного алюминия определяют косвенным способом: измеряя объем водорода, образовавшегося в результате реакции с гидроокисью натрия.
6.5.1 Аппаратура и реактивы
Газоволюметр (рисунок 1). В качестве газоволюметра может быть использован стандартный кальциметр.
Рисунок 1. Газоволюметр

1 - стеклянная пробирка по ГОСТ 25336; 2 - сосуд типа СЦ-0,5 по ГОСТ 25336; 3, 5 - краны соединительные по ГОСТ 7995; 4 - термометр по ГОСТ 28498; 6 - бюретка типа 3-2-100-0,2 по ГОСТ 29252; 7 - уравнительная склянка по ГОСТ 25336
Рисунок 1
Весы лабораторные общего назначения 2-го класса точности с погрешностью взвешивания не более 0,001 г по ГОСТ 24104.
Натрия гидроокись с массовой долей 20% по ГОСТ 4328.
Вода дистиллированная или депонированная по ГОСТ 6709.
6.5.2 Проведение испытания
Навеску пудры массой 0,05-0,1 г для газоволюметра или 0,2 г для стандартного кальциметра, взвешенную с погрешностью не более 0,001 г, помещают в пробирку, которую устанавливают в реакционном сосуде наклонно. В реакционный сосуд осторожно наливают 30 см раствора натрия гидроокиси с массовой долей 20% так, чтобы раствор находился ниже краев пробирки.
Реакционный сосуд плотно закрывают резиновой пробкой, через которую проходит трубка, соединяющая его через трехходовой кран с атмосферой и через двухходовой кран с измерительной бюреткой.
Перед началом опыта измерительную бюретку с помощью уравнительной склянки заполняют водой, затем реакционный сосуд поворотом трехходового крана разобщают с атмосферой и соединяют с измерительной бюреткой.
Реакционный сосуд встряхивают так, чтобы часть раствора попала в пробирку с пудрой, и погружают в воду. Встряхивание повторяют несколько раз до полного растворения алюминия. При замедленном ходе растворения допускается нагревание реакционного сосуда до 70 °С.
После прекращения выделения газа и охлаждения реакционного сосуда до температуры окружающего воздуха объем газа измеряют 2-3 раза через каждые 15 мин с помощью уравнительной склянки.
Температура воды, охлаждающей реакционный сосуд, а также воды, заключенной в кожухе измерительной бюретки, не должна отличаться от температуры окружающего воздуха более чем на 1 °С. После того как объем газа станет постоянным, замеряют атмосферное давление и температуру окружающего воздуха.
6.5.3 Обработка результатов
Массовую долю активного алюминия , %, вычисляют по формуле
, (4)
где - атмосферное давление, Па;
- упругость водяных паров при температуре анализа, Па;
0,000216 - коэффициент пересчета водорода на алюминий; - объем выделившегося газа, см
;
- температура в кожухе измерительной бюретки, °С;
- навеска алюминиевой пудры, г.
За результат испытания принимают округленное до первого десятичного знака среднеарифметическое двух параллельных определений, расхождение между которыми не должно превышать 1% относительно большего значения.
Контроль правильности результатов анализа следует проводить методом стандартной добавки в соответствии с требованиями ГОСТ 25086.
6.6. Определение массовой доли жировых добавок
6.6.1 Аппаратура и материалы
Печь трубчатая, обеспечивающая температуру нагрева 800 °С - 850 °С по нормативно-технической документации.
Весы лабораторные общего назначения 2-го класса точности с погрешностью взвешивания не более 0,001 г по ГОСТ 24104.
Лодочки фарфоровые по ГОСТ 9147.
Газоанализатор типа КГАЧ по ОСТ 25.1256.
Допускается использование других анализаторов, обеспечивающих точность результатов анализа, предусмотренную настоящим стандартом.
Песок кварцевый, прокаленный при температуре не ниже 900 °С.
Кислород по ГОСТ 5583.
6.6.2 Проведение испытания
Навеску пудры 0,05-0,3 г, взвешенную с погрешностью не более 0,001 г, помещают в фарфоровую лодочку, посыпают сверху во избежание распыления прокаленным кварцевым песком и сжигают в трубчатой печи при температуре 800 °С - 850 °С в токе кислорода. Так как жировые добавки в пудре имеют постоянный состав (стеарин), то весь углерод этих добавок в токе кислорода сгорает до углекислого газа, который затем поглощается в газоанализаторе.
6.6.3 Обработка результатов
Массовую долю жировых добавок , %, вычисляют по формуле
, (5)
где - массовая доля углерода по шкале аппарата, %;
- поправочный коэффициент на температуру и давление;
- навеска пудры, г;
0,76 - эмпирический коэффициент пересчета углерода на стеарин.
За результат испытания принимают округленное до первого десятичного знака среднеарифметическое результатов двух параллельных определений, расхождение между которыми с доверительной вероятностью 0,95 не должно превышать 20% относительно большего значения.
6.7 Определение содержания влаги
6.7.1 Аппаратура
Весы лабораторные общего назначения 2-го класса точности с погрешностью взвешивания не более 0,001 г по ГОСТ 24104.
Шкаф сушильный, обеспечивающий температуру нагрева 80 °С - 85 °С, по нормативно-технической документации.
Стаканчики типа СВ по ГОСТ 25336.
Эксикатор по ГОСТ 25336.
6.7.2 Проведение испытания
Навеску пудры 2-3 г, взвешенную в стаканчике с погрешностью не более 0,001 г, помещают в сушильный шкаф и выдерживают в нем при температуре 80 °С - 85 °С в течение 2 ч. Затем навеску охлаждают в эксикаторе и взвешивают.
6.7.3 Обработка результатов
Массовую долю влаги , %, вычисляют по формуле
, (6)
где - масса стаканчика с навеской до высушивания, г;
- масса стаканчика с навеской после высушивания, г;
- навеска пудры, г.
За результат испытания принимают округленное до первого десятичного знака среднеарифметическое результатов двух параллельных определений, расхождение между которыми с доверительной вероятностью 0,95 не должно превышать 25% относительно большего значения.
6.8 Определение примесей железа, кремния, меди, марганца должно производиться по ГОСТ 12697.3, ГОСТ 12697.6, ГОСТ 12697.7, ГОСТ 12697.8.
Допускается применение других методов анализа, не уступающих по точности указанным ниже. В случае разногласия анализ проводят методами, указанными в стандарте.
7 ТРАНСПОРТИРОВАНИЕ И ХРАНЕНИЕ
7.1 Алюминиевую пудру транспортируют транспортом всех видов в крытых транспортных средствах в соответствии с правилами перевозки грузов, действующими на транспорте данного вида.
Формирование транспортных пакетов в соответствии с требованиями ГОСТ 26663 и ТУ 48-5-286.
Размеры транспортных пакетов по ГОСТ 24597. Транспортная маркировка пакетов - по ГОСТ 14192.
В соответствии с Правилами воздушной перевозки опасных грузов, масса груза одного упаковочного места не должна превышать 15 кг на пассажирских и 50 кг на грузовых воздушных судах.
Погрузочно-разгрузочные работы с алюминиевой пудрой следует выполнять в соответствии с требованиями ГОСТ 12.3.009.
При отправке пудры в районы Крайнего Севера и приравненные к ним местности, упаковка и транспортирование пудры должны соответствовать требованиям ГОСТ 15846.
7.2 Алюминиевую пудру должны хранить в упаковке предприятия-изготовителя в сухих крытых складских помещениях при температуре не выше 35 °С на расстоянии не менее 1 м от отопительных приборов. Порядок совместного хранения с другими веществами и материалами в соответствии с требованиями ГОСТ 12.1.004.
8 ГАРАНТИИ ИЗГОТОВИТЕЛЯ
8.1 Изготовитель гарантирует соответствие качества алюминиевой пудры требованиям настоящего стандарта при соблюдении условий хранения и транспортирования.
Гарантийный срок хранения алюминиевой пудры - 1 год со дня изготовления.
Общий срок хранения - 1,5 года со дня изготовления.
Электронный текст документа
подготовлен АО "Кодекс" и сверен по:
официальное издание
М.: Стандартинформ, 2006
Разместите заказ
сами сделают вам предложение
