ГОСТы сталей. ГОСТ 15885-77
ГОСТ 15885-77
Группа В54
ГОСУДАРСТВЕННЫЙ СТАНДАРТ СОЮЗА ССР
ЛЕНТЫ И ПОЛОСЫ ИЗ ОЛОВЯННО-ЦИНКОВО-СВИНЦОВОЙ БРОНЗЫ
ТЕХНИЧЕСКИЕ УСЛОВИЯ
Tin-zinc-lead bronze ribbons and strips.
Specifications
ОКП 18 4600
Срок действия с 01.01.79
до 01.01.94*
____________________
* Ограничение срока действия снято по протоколу N 3-93
Межгосударственного Совета по стандартизации,
метрологии и сертификации (ИУС N 5-6 1993 г.).
Примечание "КОДЕКС"
ИНФОРМАЦИОННЫЕ ДАННЫЕ
1. РАЗРАБОТАН И ВНЕСЕН Министерством цветной металлургии СССР
ИСПОЛНИТЕЛИ
Ю.Ф. Шевакин, д-р техн. наук; М.Б. Таубкин, канд. техн. наук; 3.И. Потапенко
2. УТВЕРЖДЕН И ВВЕДЕН В ДЕЙСТВИЕ Постановлением Государственного комитета стандартов Совета Министров СССР от 11.08.77 N 1949
3. ВВЕДЕН ВПЕРВЫЕ
4. ССЫЛОЧНЫЕ НОРМАТИВНО-ТЕХНИЧЕСКИЕ ДОКУМЕНТЫ
Обозначение НТД, на который дана ссылка | Номер пункта | |||
| 4.2 | |||
ГОСТ 427-75 | 4.3 | |||
ГОСТ 1953.1-79 - ГОСТ 1953.12-79 | 4.6 | |||
ГОСТ 3282-74 | 5.3, 5.5 | |||
ГОСТ 3560-73 | 5.3, 5.5 | |||
ГОСТ 4381-87 | 4.3 | |||
ГОСТ 5017-74 | 2.1 | |||
ГОСТ 6507-78 | 4.3 | |||
ГОСТ 7502-80 | 4.2 | |||
ГОСТ 9557-87 | 5.5 | |||
ГОСТ 9569-79 | 5.3 | |||
ГОСТ 11701-84 | 4.5 | |||
ГОСТ 14192-77 | 5.6 | |||
ГОСТ 15846-79 | 5.9 | |||
ГОСТ 18321-73 | 3.2а | |||
ГОСТ 18242-72 | 3.2а | |||
ГОСТ 21929-76 | 5.5 | |||
ГОСТ 22831-77 | 5.5 | |||
ГОСТ 24047-80 | 4.5 | |||
ГОСТ 24231-80 | 4.6 | |||
ГОСТ 24597-81 | 5.5 | |||
ГОСТ 26877-86 | 4.4 | |||
5. Срок действия продлен до 01.01.94 Постановлением Госстандарта СССР от 16.02.88 N 262
6. ПЕРЕИЗДАНИЕ (март 1989 г.) с Изменениями N 1, 2, 3, утвержденными в апреле 1983 г., августе 1986 г., феврале 1988 г. (ИУС 7-83, 11-86, 5-88).
Настоящий стандарт распространяется на холоднокатаные ленты и полосы из оловянно-цинково-свинцовой бронзы марки БрОЦС 4-4-2,5, применяемые в автомобильной и тракторной промышленности.
1. СОРТАМЕНТ
1. СОРТАМЕНТ
1.1. Размеры лент и предельные отклонения по ним должны соответствовать указанным в табл.1.
Таблица 1
Размеры, мм
| Предельные отклонения по толщине ленты | Предельные отклонения по ширине при ширине ленты |
| |||||
нормальной точности | повышенной точности | от 10 до 175 | свыше 175 до 300 | |||||
|
| |||||||
0,60 | ||||||||
0,70 |
| |||||||
0,80 |
|
|
| Не менее | ||||
0,90 | ||||||||
1,00 | ||||||||
1,03 | - | |||||||
1,10 | ||||||||
1,15 | ||||||||
1,20 | ||||||||
1,30 | ||||||||
1,40 | ±0,035 | |||||||
1,50 | ||||||||
1,60 |
|
|
| Не менее | ||||
1,70 | ±0,040 | |||||||
1,80 | ||||||||
1,90 |
| |||||||
2,00 | ||||||||
Примечания:
1. По требованию потребителя ленты изготовляют промежуточных размеров по толщине.
2. Допускается изготовление лент длиной не менее 5 м в количестве не более 10% от партии.
3. Ленты толщиной 1,30 мм и более изготовляются шириной от 25 мм и более.
4. По требованию потребителя ленты изготовляют повышенной точности по ширине с предельными отклонениями минус 0,3 мм для лент толщиной до 1,00 мм; минус 0,5 мм для лент толщиной свыше 1,20 мм и шириной от 10 до 175 мм и лент толщиной свыше 1,00 мм и шириной свыше 175 до 300 мм.
(Измененная редакция, Изм. N 1, 3).
1.2. Допускаются ленты с наличием сварочных швов через каждые 10 м длины (при толщине лент до 1,20 мм) и через каждые 7 м длины (при толщине лент свыше 1,20 мм). Сварка производится косым швом. Перекос в местах сварки не допускается. По требованию потребителя лента изготовляется длиной не менее 20 м с закрашенными отличительной краской швами.
(Измененная редакция, Изм. N 1).
1.3. Толщина полос и предельные отклонения по толщине должны соответствовать указанным в табл.2.
Таблица 2
мм
Толщина полосы | Предельные отклонения по толщине полосы | |||
|
| |||
| ||||
2,25 | ±0,05 | |||
2,50 | ||||
3,00 | ||||
Примечания:
1. По требованию потребителя полосы изготовляют промежуточных размеров по толщине.
2. По требованию потребителя изготовляют полосы толщиной 3,2 (-0,20) мм, 3,7 (-0,22) мм, 4,2 (-0,24) мм, 4,6 (-0,30) мм, 5,0 (-0,30) мм.
(Измененная редакция, Изм. N 3).
1.4. Полосы изготовляются шириной от 40 до 300 мм. Предельные отклонения по ширине полос должны соответствовать значениям, указанным в табл.3.
Таблица 3
мм
| Предельные отклонения по ширине | ||||
от 1 до 2 | св. 2 до 3 | ||||
От 40 до 100 | +1,0 | +3,0 | |||
Св. 100 " 300 | +2,0 | ||||
Примечание. Ширина полос толщиной свыше 3,00 мм должна быть согласована между изготовителем и потребителем.
(Измененная редакция, Изм. N 3).
1.5. Длина полос должна быть не менее 1,5 м. По требованию потребителя полосы изготовляются мерной длины. Предельные отклонения по длине мерных полос +10 мм.
Допускается наличие полос от 1 до 1,5 м включительно в количестве не более 10% от партии.
Примеры условных обозначений
Условные обозначения лент и полос проставляются по схеме
Лента, полоса | Д | ПР | Х | Х | . . . | XX | БрОЦС | ГОСТ |
4-4-2,5 | 15885-77 | |||||||
| ||||||||
| ||||||||
| ||||||||
| ||||||||
| ||||||||
| ||||||||
| ||||||||
|
При следующих сокращениях:
Способ изготовления: | холоднодеформированная | - Д |
Форма сечения: | прямоугольная | - ПР |
Точность изготовления: | нормальная | - Н |
повышенная | - П | |
Состояние: | мягкое | - М |
полутвердое | - П | |
твердое | - Т | |
Длина: | немерная | - НД |
мерная | - МД |
Вместо отсутствующего показателя ставится знак "X".
Лента холоднодеформированная, прямоугольного сечения, нормальной точности изготовления, мягкая, толщиной 0,50 мм, шириной 50 мм, немерной длины, из сплава марки БрОЦС 4-4-2,5:
Лента ДПРНМ 0,50х50 НД БрОЦС 4-4-2,5 ГОСТ 15885-77
Полоса холоднодеформированная, прямоугольного сечения, нормальной точности изготовления, твердая, толщиной 2,5 мм, шириной 100 мм, немерной длины, из сплава марки БрОЦС 4-4-2,5:
Полоса ДПРНТ 2,5х100 НД БрОЦС 4-4-2,5 ГОСТ 15885-77
(Измененная редакция, Изм. N 1).
2. ТЕХНИЧЕСКИЕ ТРЕБОВАНИЯ
2.1. Ленты и полосы должны изготовлять в соответствии с требованиями настоящего стандарта по технологическому регламенту, утвержденному в установленном порядке, из оловянно-цинково-свинцовой бронзы марки БрОЦС 4-4-2,5 с химическим составом по ГОСТ 5017-74.
(Измененная редакция, Изм. N 1).
2.2. Ленты и полосы изготовляют мягкими, полутвердыми и твердыми.
2.3. Поверхность лент и полос должна быть чистой и гладкой без плен, трещин, пузырей, раковин и вмятин.
Допускаются местные дефекты - уколы, царапины и шероховатость, не выводящие ленты и полосы при контрольной зачистке за предельные отклонения по толщине.
Допускаются на поверхности лент и полос цвета побежалости.
По согласованию изготовителя с потребителем качество поверхности допускается контролировать по образцам, согласованным между потребителем и изготовителем.
(Измененная редакция, Изм. N 1).
2.4. Ленты и полосы должны быть ровно обрезаны и не должны иметь значительных заусенцев. Волнистая, мятая и рваная кромка не допускается.
Серповидность лент и полос не должна превышать 3 мм на 1 м длины.
(Измененная редакция, Изм. N 1, 3).
2.5. Механические свойства лент и полос должны соответствовать указанным в табл.4.
Таблица 4
Состояние материала | Временное сопротивление МПа (кгс/мм | Относительное удлинение |
Мягкий | Не менее 290 (30) | 35,0 |
Полутвердый | 390-490 (40-50) | 10,0 |
Твердый | Не менее 540 (55) | 5,0 |
Примечания:
1. По согласованию изготовителя с потребителем ленты и полосы в полутвердом состоянии изготовляются с временным
сопротивлением =390-540 МПа (40-55) кгс/мм
.
2. По согласованию потребителя с изготовителем ленты размерами 2,0х195 и 1,7х145 мм нормальной точности в полутвердом состоянии изготовляют повышенной пластичности с относительным удлинением не менее 12%.
(Измененная редакция, Изм. N 1, 3).
3. ПРАВИЛА ПРИЕМКИ
3.1. Ленты и полосы принимают партиями. Партия должна состоять из лент или полос одного размера, одной точности изготовления, одного состояния материала и сопровождаться одним документом о качестве, содержащим:
товарный знак или товарный знак и наименование предприятия-изготовителя;
условное обозначение лент или полос;
номер партии;
массу партии.
Масса партии должна быть не более 2500 кг.
(Измененная редакция, Изм. N 1, 3).
3.2. Проверке размеров (кроме толщины), серповидности и состояния поверхности подвергают каждый рулон ленты или полосу.
(Измененная редакция, Изм. N 1, 3).
3.2а. Для контроля толщины ленты или полосы от партии отбирают рулоны лент и полосы "вслепую" (методом наибольшей объективности) по ГОСТ 18321-73. Планы контроля соответствуют ГОСТ 18242-72. Количество контролируемых рулонов лент и количество контролируемых полос отбирают в соответствии с табл.5.
Таблица 5
шт.
Количество рулонов лент (количество полос) в партии | Количество контролируемых рулонов лент (полос) |
2-8 | 2 |
9-15 | 3 |
16-25 | 5 |
26-50 | 8 |
51-90 | 13 |
91-150 | 20 |
151-280 | 32 |
281-500 | 50 |
501-1200 | 80 |
1201-3200 | 125 |
Количество контролируемых точек в каждом отобранном рулоне определяют в соответствии с табл.6.
Таблица 6
Длина ленты в рулоне, м | Количество контролируемых точек в рулоне, шт. | Браковочное число |
От 1 до 4 включ. | 2 | 1 |
Св. 4 " 7 " | 3 | 1 |
" 7 " 12 " | 5 | 1 |
" 12 " 75 " | 8 | 2 |
" 75 " 140 " | 13 | 2 |
" 140 " 250 " | 20 | 3 |
Отобранный рулон ленты считается годным, если число результатов измерений, не соответствующих табл.1, менее браковочного числа, указанного в табл.6.
Количество контролируемых точек на каждой отобранной полосе определяют в зависимости от общего числа участков длиной 100 мм по периметру полосы в соответствии с табл.7. При длине периметра, не кратной 100 мм, конечный участок длиной менее 100 мм принимается за один участок.
Таблица 7
Количество участков в полосе, шт. | Количество контролируемых точек в полосе, шт. | Браковочное число |
10-15 | 5 | 1 |
16-25 | 8 | 2 |
26-50 | 8 | 2 |
51-90 | 13 | 2 |
91-150 | 20 | 3 |
151-280 и более | 32 | 4 |
Отобранные полосы считаются годными, если число результатов измерений, не соответствующих табл.2, менее браковочного числа, указанного в табл.7.
Допускается изготовителю при получении неудовлетворительного результата на одном из отобранных рулонов или на одной из отобранных полос контролировать каждый рулон или каждую полосу партии.
Допускается на предприятии-изготовителе в процессе производства проводить контроль толщины на каждом рулоне ленты или на каждой полосе.
(Введен дополнительно, Изм. N 3).
3.3. Для определения механических свойств от партии отбирают пять рулонов ленты или пять полос.
(Измененная редакция, Изм. N 1).
3.4. Для определения химического состава от партии отбирают три рулона ленты или три полосы. На предприятии-изготовителе допускается проводить проверку химического состава на расплавленном металле.
(Измененная редакция, Изм. N 1).
3.5. При получении неудовлетворительных результатов испытания хотя бы по одному из показателей (кроме толщины) по нему проводят повторные испытания на удвоенной выборке, взятой от той же партии. Результаты повторных испытаний распространяются на всю партию.
(Измененная редакция, Изм. N 3).
4. МЕТОДЫ ИСПЫТАНИЙ
4.1. Качество поверхности лент и полос проверяют визуально без применения увеличительных приборов.
4.2. Ширину лент и полос измеряют штангенциркулем по ГОСТ 166-80.
Длину лент и полос измеряют рулеткой по ГОСТ 7502-80.
Допускается ширину и длину лент и полос определять другими средствами измерения, обеспечивающими необходимую точность измерения.
4.3. Толщину ленты или полосы измеряют микрометром с ценой деления 0,01 мм по ГОСТ 6507-78 и микрометром с ценой деления 0,002 мм по ГОСТ 4381-87.
Допускается на предприятии-изготовителе в процессе производства контролировать толщину ленты или полосы другими средствами измерения, обеспечивающими необходимую точность.
Контроль толщины лент и полос проводят с заданной вероятностью 96%.
Толщину ленты или полосы измеряют на каждом отобранном рулоне или на каждой отобранной полосе в точках, расположенных равномерно-случайно по длине рулона ленты или периметру полосы.
Измерение толщины ленты или полосы проводят на расстоянии не менее 100 мм от конца и не менее 10 мм от кромки. По согласованию изготовителя с потребителем измерение толщины ленты со сварными швами проводят на расстоянии не менее 100 мм от концов и сварных швов и не менее 10 мм от кромки. Для лент шириной 20 мм и менее измерение проводят посередине.
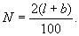
Длину ленты () в метрах вычисляют по формуле
![]()
где и
- соответственно наружный и внутренний диаметры рулона, измеряемые линейкой по ГОСТ 427-75, мм;
- толщина ленты, мм.
Результаты измерения толщины ленты, не соответствующие табл.1, не должны отличаться от допускаемых более, чем на половину поля допуска:
Количество полос в партии () вычисляют по формуле
,
где - масса партии, кг;
- толщина полосы, мм;
- ширина полосы, мм;
- длина полосы, мм;
- плотность материала, г/см
.
Количество контролируемых участков в полосе () вычисляют по формуле
![]()
Результаты измерения толщины полосы, не соответствующие табл.2, не должны отличаться от допускаемых более, чем на половину поля допуска.
4.4. Измерение серповидности лент и полос проводят по ГОСТ 26877-86.
(Измененная редакция, Изм. N 3).
4.5. Для испытания на растяжение от каждого отобранного рулона ленты или полосы отбирают один образец. Отбор образцов для определения механических свойств проводят по ГОСТ 24047-80.
Испытание на растяжение лент и полос проводят по ГОСТ 11701-84 на образцах типа I или II с =20 мм и
.
(Измененная редакция, Изм. N 1, 2).
4.6. Определение химического состава лент и полос проводят по ГОСТ 1953.1-79 - ГОСТ 1953.12-79 или иным методом, обеспечивающим необходимую точность определения, установленную стандартом.
При разногласиях в оценке результатов анализа определения проводят по ГОСТ 1953.1-79 - ГОСТ 1953.12-79.
Для определения химического состава от каждого отобранного рулона ленты или полосы отбирают один образец. Отбор и подготовку проб для определения химического состава проводят по ГОСТ 24231-80.
(Измененная редакция, Изм. N 1).
5. УПАКОВКА, МАРКИРОВКА, ТРАНСПОРТИРОВАНИЕ И ХРАНЕНИЕ
5.1. Ленты должны быть свернуты в рулоны, а полосы сложены в пачки.
5.2. (Исключен, Изм. N 1).
5.3. Каждый рулон ленты должен быть завернут в плотную бумагу по ГОСТ 9569-79 или нетканый материал по нормативно-технической документации, или в другие виды упаковочных материалов, обеспечивающие сохранность продукции, за исключением льняных и хлопчатобумажных тканей, и перевязан в двух-трех местах лентой размерами не менее 0,3х20 мм по ГОСТ 3560-73 или проволокой диаметром не менее 2 мм по ГОСТ 3282-74.
Пачки полос должны быть завернуты в плотную бумагу по ГОСТ 9569-79 и покрыты с двух сторон (сверху и снизу пачки) досками и перевязаны в двух-трех местах лентой размерами не менее 0,3х20 мм по ГОСТ 3560-73 или проволокой диаметром не менее 2 мм по ГОСТ 3282-74. Скрепление концов: скрутка проволокой не менее 5 витков, лента - в замок.
(Измененная редакция, Изм. N 1).
5.4. К каждому рулону лент или пачке полос должен быть прикреплен ярлык с указанием:
товарного знака или наименования и товарного знака предприятия-изготовителя;
номера партии;
условного обозначения лент или полос;
клейма отдела технического контроля.
(Измененная редакция, Изм. N 1, 3).
5.5. Масса грузового места не должна превышать 80 кг. Укрупнение грузовых мест в транспортные пакеты проводится в соответствии с требованиями ГОСТ 21929-76 и ГОСТ 24597-81. Пакетирование проводится на поддонах по ГОСТ 9557-87 или по ГОСТ 22831-77 или без поддонов с использованием брусков сечением не менее 50Х50 мм и длиной, равной ширине пакета. Транспортные пакеты должны быть обвязаны в продольном и поперечном направлениях проволокой диаметром не менее 3 мм по ГОСТ 3282-74 или лентой размерами не менее 0,3х20 мм по ГОСТ 3560-73. Скрепление концов: скрутка проволокой не менее 5 витков, лента - в замок.
(Измененная редакция, Изм. N 1, 3).
5.6. Транспортная маркировка - по ГОСТ 14192-77 с нанесением манипуляционного знака "Боится сырости".
(Измененная редакция, Изм. N 1).
5.7. Транспортирование лент и полос проводится всеми видами транспорта в крытых транспортных средствах в соответствии с правилами перевозки грузов, действующими на данном виде транспорта, мелкими или повагонными видами отправки.
При отгрузке в контейнерах и крытых автомашинах ленты и полосы транспортируют без упаковки, а при повагонной отгрузке в один адрес - без упаковки, сформированными в транспортные пакеты. При этом они должны быть уложены и укреплены так, чтобы было устранено их перемещение при транспортировании.
(Измененная редакция, Изм. N 1).
5.8. Ленты и полосы должны храниться под навесом, защищающим от атмосферных осадков, в условиях отсутствия контакта с влагой и активными химическими веществами.
5.9. Упаковывание продукции в районы Крайнего Севера и труднодоступные районы производится в соответствии с требованиями ГОСТ 15846-79 по группе металлы и металлические изделия.
(Введен дополнительно, Изм. N 1).
Текст документа сверен по:
официальное издание
М.: Издательство стандартов, 1989
Разместите заказ
сами сделают вам предложение
