ГОСТы сталей. ГОСТ 1173-2006
ГОСТ 1173-2006
Группа В54
МЕЖГОСУДАРСТВЕННЫЙ СТАНДАРТ
ФОЛЬГА, ЛЕНТЫ, ЛИСТЫ И ПЛИТЫ МЕДНЫЕ
Технические условия
Copper foil, ribbons, sheets and plates. Specifications
МКС 77.150.30
ОКП 18 4510
18 4530
18 4540
Дата введения 2008-01-01
Предисловие
Цели, основные принципы и основной порядок проведения работ по межгосударственной стандартизации установлены ГОСТ 1.0-92 "Межгосударственная система стандартизации. Основные положения" и ГОСТ 1.2-97 "Межгосударственная система стандартизации. Стандарты межгосударственные, правила и рекомендации по межгосударственной стандартизации. Порядок разработки, принятия, применения, обновления и отмены"
Сведения о стандарте
1 РАЗРАБОТАН Техническим комитетом по стандартизации ТК 106 "Цветметпрокат", Научно-исследовательским, проектным и конструкторским институтом сплавов и обработки цветных металлов "Открытое акционерное общество "Институт Цветметобработка" (ОАО "Институт Цветметобработка")
2 ВНЕСЕН Техническим секретариатом Межгосударственного совета по стандартизации, метрологии и сертификации
3 ПРИНЯТ Межгосударственным советом по стандартизации, метрологии и сертификации (протокол N 29 от 24 июня 2006 г.)
За принятие стандарта проголосовали:
Краткое наименование страны по МК (ИСО 3166) 004-97 | Код страны | Сокращенное наименование национального органа по стандартизации |
Азербайджан | AZ | Азстандарт |
Беларусь | BY | Госстандарт Республики Беларусь |
Казахстан | KZ | Госстандарт Республики Казахстан |
Кыргызстан | KG | Кыргызстандарт |
Молдова | MD | Молдова-Стандарт |
Российская Федерация | RU | Федеральное агентство по техническому регулированию и метрологии |
Таджикистан | TJ | Таджикстандарт |
Узбекистан | UZ | Узстандарт |
Украина | UA | Госпотребстандарт Украины |
4 Приказом Федерального агентства по техническому регулированию и метрологии от 27 декабря 2006 г. N 496-ст межгосударственный стандарт ГОСТ 1173-2006 введен в действие в качестве национального стандарта Российской Федерации с 1 января 2008 г.
5 ВЗАМЕН ГОСТ 1173-93 и ГОСТ 495-92
Информация о введении в действие (прекращении действия) настоящего стандарта публикуется в указателе "Национальные стандарты".
Информация об изменениях к настоящему стандарту публикуется в указателе "Национальные стандарты", а текст изменений - в информационных указателях "Национальные стандарты". В случае пересмотра или отмены настоящего стандарта соответствующая информация будет опубликована в информационном указателе "Национальные стандарты"
ВНЕСЕНА поправка, опубликованная в ИУС N 6, 2008 год
Поправка внесена изготовителем базы данных
1 Область применения
1 Область применения
Настоящий стандарт распространяется на медные холоднокатаные фольгу и ленты, холоднокатаные и горячекатаные листы и плиты общего назначения.
Стандарт не распространяется на медные ленты, предназначенные для радиаторов.
2 Нормативные ссылки
В настоящем стандарте использованы нормативные ссылки на следующие межгосударственные стандарты:
ГОСТ 166-89 (ИСО 3599-76) Штангенциркули. Технические условия
ГОСТ 427-75 Линейки измерительные металлические. Технические условия
ГОСТ 859-2001 Медь. Марки
ГОСТ 1497-84 (ИСО 6892-84) Металлы. Методы испытания на растяжение
ГОСТ 2991-85 Ящики дощатые неразборные для грузов массой до 500 кг. Общие технические условия
ГОСТ 3282-74 Проволока стальная низкоуглеродистая общего назначения. Технические условия
ГОСТ 3560-73 Лента стальная упаковочная. Технические условия
ГОСТ 4381-87 Микрометры рычажные. Общие технические условия
ГОСТ 6507-90 Микрометры. Технические условия
ГОСТ 7229-76 Кабели, провода и шнуры. Метод определения электрического сопротивления токопроводящих жил и проводников
ГОСТ 7376-89 Картон гофрированный. Общие технические условия
ГОСТ 7502-98 Рулетки измерительные металлические. Технические условия
ГОСТ 7933-89 Картон для потребительской тары. Общие технические условия
ГОСТ 8273-75 Бумага оберточная. Технические условия
ГОСТ 9078-84 Поддоны плоские. Общие технические условия
ГОСТ 9557-87 Поддон плоский деревянный размером 800х1200 мм. Технические условия
ГОСТ 9696-82 Индикаторы многооборотные с ценой деления 0,001 и 0,002 мм. Технические условия
ГОСТ 9717.1-82 Медь. Метод спектрального анализа по металлическим стандартным образцам с фотоэлектрической регистрацией спектра
ГОСТ 9717.2-82 Медь. Метод спектрального анализа по металлическим стандартным образцам с фотографической регистрацией спектра
ГОСТ 9717.3-82 Медь. Метод спектрального анализа по оксидным стандартным образцам
ГОСТ 10198-91 Ящики деревянные для грузов массой св. 200 до 20000 кг. Общие технические условия
ГОСТ 10510-80 (ИСО 8490-86) Металлы. Метод испытания на выдавливание листов и лент по Эриксену
ГОСТ 11701-84 Металлы. Методы испытания на растяжение тонких листов и лент
ГОСТ 13938.1-78 Медь. Методы определения меди
ГОСТ 13938.2-78 Медь. Методы определения серы
ГОСТ 13938.3-78 Медь. Метод определения фосфора
ГОСТ 13938.4-78 Медь. Методы определения железа
ГОСТ 13938.5-78 Медь. Методы определения цинка
ГОСТ 13938.6-78 Медь. Методы определения никеля
ГОСТ 13938.7-78 Медь. Методы определения свинца
ГОСТ 13938.8-78 Медь. Методы определения олова
ГОСТ 13938.9-78 Медь. Методы определения серебра
ГОСТ 13938.10-78 Медь. Методы определения сурьмы
ГОСТ 13938.11-78 Медь. Метод определения мышьяка
ГОСТ 13938.12-78 Медь. Методы определения висмута
ГОСТ 13938.13-93 Медь. Методы определения кислорода
ГОСТ 13938.15-88 Медь. Методы определения хрома и кадмия
ГОСТ 14019-2003 (ИСО 7438:1985) Материалы металлические. Метод испытания на изгиб
ГОСТ 14192-96 Маркировка грузов
ГОСТ 15102-75 Контейнер универсальный металлический закрытый номинальной массой брутто 5,0 т. Технические условия
ГОСТ 15467-79 Управление качеством продукции. Основные понятия. Термины и определения
ГОСТ 15846-2002 Продукция, отправляемая в районы Крайнего Севера и приравненные к ним местности. Упаковка, маркировка, транспортирование и хранение
ГОСТ 18242-72* Статистический приемочный контроль по альтернативному признаку. Планы контроля
_______________
* На территории Российской Федерации действует ГОСТ Р 50779.71-99 (ИСО 2859-1-89) Статистические методы. Процедуры выборочного контроля по альтернативному признаку. Часть 1. Планы выборочного контроля последовательных партий на основе приемлемого уровня качества AQL**.
_______________
** На территории Российской Федерации действует ГОСТ Р ИСО 2859-1-2007. - Примечание изготовителя базы данных.
ГОСТ 18321-73 Статистический контроль качества. Методы случайного отбора выборок штучной продукции
ГОСТ 18477-79 Контейнеры универсальные. Типы, основные параметры и размеры
ГОСТ 20435-75 Контейнер универсальный металлический закрытый номинальной массой брутто 3,0 т. Технические условия
ГОСТ 21073.1-75 Металлы цветные. Определение величины зерна методом сравнения со шкалой микроструктур
ГОСТ 21140-88 Тара. Система размеров
ГОСТ 21650-76 Средства скрепления тарно-штучных грузов в транспортных пакетах. Общие требования
ГОСТ 22225-76 Контейнеры универсальные массой брутто 0,625 и 1,25 т. Технические условия
ГОСТ 22322-77 Подкладки для пакетирования изделий в деревянной таре. Общие технические условия
ГОСТ 24047-80 Полуфабрикаты из цветных металлов и их сплавов. Отбор проб для испытания на растяжение
ГОСТ 24231-80 Цветные металлы и сплавы. Общие требования к отбору и подготовке проб для химического анализа
ГОСТ 26663-85 Пакеты транспортные. Формирование с применением средств пакетирования. Общие технические требования
ГОСТ 26877-91 Металлопродукция. Методы измерения отклонений формы
Примечание - При пользовании настоящим стандартом целесообразно проверить действие ссылочных стандартов по указателю "Национальные стандарты", составленному по состоянию на 1 января текущего года, и по соответствующим информационным указателям, опубликованным в текущем году. Если ссылочный документ заменен (изменен), то при пользовании настоящим стандартом следует руководствоваться замененным (измененным) документом. Если ссылочный документ отменен без замены, то положение, в котором дана ссылка на него, применяется в части, не затрагивающей эту ссылку.
3 Термины и определения
В настоящем стандарте применены следующие термины с соответствующими определениями.
3.1 фольга: Плоское прокатанное изделие прямоугольного поперечного сечения равномерной толщины от 0,05 до 0,10 мм, поставляемое в рулоне.
3.2 лента: Плоское прокатанное изделие прямоугольного поперечного сечения равномерной толщины от 0,10 до 6,00 мм включительно, поставляемое в рулоне или разрезанное на длины (полосы) с обрезанной кромкой.
3.3 лист: Плоское прокатанное изделие прямоугольного поперечного сечения равномерной толщины: холоднокатаное - от 0,20 до 12,00 мм включительно, поставляемое в отрезках с обрезанной или обкатанной кромкой; горячекатаное - от 3,00 до 25,00 мм включительно, поставляемое в отрезках.
3.4 плита: Плоское прокатанное изделие прямоугольного поперечного сечения равномерной толщины свыше 25,00 мм, поставляемое в отрезках.
3.5 серповидность: Отклонение от прямолинейности, при котором поверхность боковой кромки фольги, ленты или листа в горизонтальной плоскости имеет форму дуги.
3.6 прогиб (неплоскостность): Частный вид отклонения от плоскостности в продольном или поперечном направлении, при котором поверхность ленты, листа или плиты имеет форму дуги.
3.7 косина реза: Несоблюдение формы, при котором плоскость реза образует с продольными плоскостями листа или плиты угол менее или более 90°.
4 Сортамент
4.1 Толщина фольги, лент, холоднокатаных листов и предельные отклонения по толщине в зависимости от ширины должны соответствовать указанным в таблице 1.
Таблица 1
В миллиметрах
Номинальная толщина | Предельное отклонение по толщине при ширине | |||||
от 10 до 300 включ. | св. 300 до 600 включ. | св. 600 | св. 800 | |||
норм. точн. | повыш. точн. | норм. точн. | повыш. точн. | |||
От 0,05 до 0,10 | 0 | - | - | - | - | - |
От 0,10 до 0,14 включ. | 0 | - | 0 | - | - | - |
Св. 0,14 до 0,22 включ. | 0 | 0 | 0 | - | - | - |
Св. 0,22 до 0,35 включ. | 0 | 0 | 0 | - | - | - |
Св. 0,35 до 0,50 включ. | 0 | 0 | 0 | 0 | 0 | 0 |
Св. 0,50 до 0,70 включ. | 0 | 0 | 0 | 0 | 0 | 0 |
Св. 0,70 до 0,90 включ. | 0 | 0 | 0 | 0 | 0 | 0 |
Св. 0,90 до 1,10 включ. | 0 | 0 | 0 | 0 | 0 | 0 |
Св. 1,10 до 1,50 включ. | 0 | 0 | 0 | 0 | 0 | 0 |
Св. 1,50 до 1,80 включ. | 0 | 0 | 0 | 0 | 0 | 0 |
Св. 1,80 до 2,00 включ. | 0 | 0 | 0 | 0 | 0 | 0 |
Св. 2,00 до 2,20 включ. | 0 | - | 0 | - | 0 | 0 |
Св. 2,20 до 3,00 включ. | 0 | - | 0 | - | 0 | 0 |
Св. 3,00 до 3,50 включ. | 0 | - | 0 | - | 0 | 0 |
Св. 3,50 до 4,00 включ. | 0 | - | 0 | - | 0 | 0 |
Св. 4,00 до 4,50 включ. | 0 | - | 0 | - | 0 | 0 |
Св. 4,50 до 6,50 включ. | 0 | - | 0 | - | 0 | 0 |
Св. 6,50 до 7,00 включ. | - | - | 0 | - | 0 | 0 |
Св. 7,00 до 8,00 включ. | - | - | 0 | - | 0 | 0 |
Св. 8,00 до 9,00 включ. | - | - | 0 | - | 0 | 0 |
Св. 9,00 до 10,00 включ. | - | - | 0 | - | 0 | 0 |
Св. 10,00 до 11,00 включ. | - | - | 0 | - | 0 | 0 |
Св. 11,00 до 12,00 включ. | - | - | 0 | - | 0 | 0 |
Примечание - Теоретическая масса 1 м | ||||||
4.2 По согласованию потребителя с изготовителем ленты и холоднокатаные листы изготовляют с симметричными предельными отклонениями по толщине, указанными в таблице 2.
Таблица 2
В миллиметрах
Номинальная толщина | Предельное отклонение по толщине при ширине | ||
до 350 включ. | св. 350 до 700 включ. | св. 700 до 1000 включ. | |
От 0,10 до 0,20 включ. | ±0,018 | - | - |
Св. 0,20 до 0,30 включ. | ±0,022 | ±0,03 | ±0,04 |
Св. 0,30 до 0,40 включ. | ±0,025 | ±0,04 | ±0,05 |
Св. 0,40 до 0,50 включ. | ±0,030 | ±0,05 | ±0,06 |
Св. 0,50 до 0,80 включ. | ±0,040 | ±0,06 | ±0,07 |
Св. 0,80 до 1,20 включ. | ±0,050 | ±0,07 | ±0,09 |
Св. 1,20 до 1,80 включ. | ±0,060 | ±0,08 | ±0,10 |
Св. 1,80 до 2,50 включ. | ±0,070 | ±0,09 | ±0,11 |
Св. 2,50 до 3,20 включ. | ±0,080 | ±0,10 | ±0,13 |
Св. 3,20 до 4,00 включ. | ±0,10 | ±0,12 | ±0,15 |
Св. 4,00 до 5,00 включ. | ±0,12 | ±0,14 | ±0,17 |
Св. 5,00 до 6,00 включ. | ±0,14 | ±0,16 | ±0,20 |
Св. 6,00 до 7,00 включ. | ±0,16 | ±0,19 | ±0,23 |
Св. 7,00 до 8,00 включ. | ±0,18 | ±0,22 | ±0,26 |
Св. 8,00 до 9,00 включ. | ±0,20 | ±0,25 | ±0,29 |
Св. 9,00 до 10,00 включ. | ±0,22 | ±0,28 | ±0,32 |
4.3 Ширина фольги и лент и предельные отклонения по ширине в зависимости от толщины должны соответствовать указанным в таблице 3.
Таблица 3
В миллиметрах
Номинальная толщина | Предельное отклонение по ширине при ширине | |||||||||||
до 100 включ. | св. 100 | св. 170 | св. 300 | св. 600 | св. 800 | |||||||
норм. точн. | повыш. точн. | норм. точн. | повыш. точн. | норм. точн. | повыш. точн. | норм. точн. | повыш. точн. | норм. точн. | повыш. точн. | норм. точн. | повыш. точн. | |
От 0,05 | 0 | 0 | 0 | 0 | 0 | 0 | - | - | - | - | - | - |
От 0,10 | 0 | 0 | 0 | 0 | 0 | 0 | 0 | 0 | 0 | 0 | 0 | 0 |
Св. 1,00 | 0 | 0 | 0 | 0 | 0 | 0 | 0 | 0 | 0 | 0 | 0 | 0 |
Св. 2,00 | 0 | 0 | 0 | 0 | 0 | 0 | 0 | 0 | - | - | - | - |
Св. 3,00 | 0 | 0 | 0 | 0 | 0 | 0 | 0 | 0 | - | - | - | - |
Примечание - Ленты шириной свыше 600 мм изготовляют толщиной 0,50 мм и более. | ||||||||||||
4.4 По согласованию потребителя с изготовителем ленты изготовляют с плюсовыми предельными отклонениями по ширине, указанными в таблице 4.
Таблица 4
В миллиметрах
Номинальная толщина | Предельное отклонение по ширине при ширине | ||||||
до 50 включ. | св. 50 до 100 включ. | св. 100 до 200 включ. | св. 200 до 350 включ. | св. 350 до 500 включ. | св. 500 до 700 включ. | св. 700 до 1250 включ. | |
От 0,10 до 1,00 включ. | +0,20 | +0,30 | +0,40 | +0,60 | +1,0 | +1,5 | +2,0 |
Св. 1,00 до 2,00 включ. | +0,30 | +0,40 | +0,50 | +1,0 | +1,2 | +1,5 | +2,0 |
Св. 2,00 до 2,50 включ. | +0,50 | +0,60 | +0,70 | +1,2 | +1,5 | +2,0 | +2,5 |
Св. 2,50 до 3,00 включ. | +1,0 | +1,10 | +1,20 | +1,5 | +2,0 | +2,5 | +3,0 |
Св. 3,00 до 4,00 включ. | +2,0 | +2,30 | +2,50 | +3,0 | +4,0 | +5,0 | +6,0 |
4.5 Ширина холоднокатаных листов и предельные отклонения по ширине в зависимости от толщины должны соответствовать указанным в таблице 5.
Таблица 5
В миллиметрах
Номинальная толщина | Предельное отклонение по ширине при ширине | |||
до 300 включ. | Св. 300 до 1000 включ. | |||
норм. точн. | повыш. точн. | норм. точн. | повыш. точн. | |
От 0,20 до 2,00 включ. | 0 | 0 | 0 | 0 |
Св. 2,00 до 6,00 включ. | 0 | 0 | 0 | 0 |
Св. 6,00 до 12,00 включ. | 0 | 0 | 0 | 0 |
4.6 По согласованию потребителя с изготовителем холоднокатаные листы изготовляют с плюсовыми предельными отклонениями по ширине, указанными в таблице 6.
Таблица 6
В миллиметрах
Номинальная толщина | Предельное отклонение по ширине при ширине | |
до 350 включ. | св. 350 до 1000 включ. | |
До 2,00 включ. | +2,0 | +6,0 |
Св. 2,00 до 5,00 включ. | +4,0 | +8,0 |
Св. 5,00 | +8,0 | +10,0 |
4.7 Длина фольги и ленты должна соответствовать указанной в таблице 7.
Таблица 7
Толщина фольги и ленты, мм | Длина фольги и ленты, м, не менее |
От 0,05 до 0,10 | 30 |
От 0,10 до 0,50 включ. | 30 |
Св. 0,50 до 1,00 включ. | 20 |
Св. 1,00 до 2,00 включ. | 10 |
Св. 2,00 до 6,00 включ. | 2 |
Примечание - Допускаются фольга и ленты толщиной до 2,00 включительно меньшей длины, но не менее 5 м, в количестве не более 10% массы партии. | |
4.8 Ленты, разрезанные на длины, и холоднокатаные листы изготовляют длиной от 500 до 2000 мм с предельными отклонениями по длине:
- толщиной до 3,00 мм включ. - минус 10,0 мм;
- толщиной св. 3,00 мм - минус 20,0 мм.
4.9 По согласованию потребителя с изготовителем ленты, разрезанные на длины, и холоднокатаные листы изготовляют с плюсовыми предельными отклонениями по длине:
- толщиной до 3,00 мм включ. - плюс 10,0 мм;
- толщиной св. 3,00 мм - плюс 15,0 мм.
4.10 Толщина горячекатаных листов и предельные отклонения по толщине в зависимости от ширины должны соответствовать указанным в таблице 8.
Таблица 8
В миллиметрах
Номинальная толщина | Предельное отклонение по толщине при ширине | ||||
от 100 до 1200 включ. | св. 1200 до 1500 включ. | св. 1500 до 1800 включ. | св. 1800 до 2500 включ. | св. 2500 до 3000 включ. | |
От 3,00 до 3,50 включ. | 0 | 0 | 0 | - | - |
Св. 3,50 до 6,00 включ. | 0 | 0 | 0 | 0 | - |
Св. 6,00 до 7,00 включ. | 0 | 0 | 0 | 0 | - |
Св. 7,00 до 8,00 включ. | 0 | 0 | 0 | 0 | 0 |
Св. 8,00 до 9,00 включ. | 0 | 0 | 0 | 0 | 0 |
Св. 9,00 до 10,00 включ. | 0 | 0 | 0 | 0 | 0 |
Св. 10,00 до 11,00 включ. | 0 | 0 | 0 | 0 | 0 |
Св. 11,00 до 12,00 включ. | 0 | 0 | 0 | 0 | 0 |
Св. 12,00 до 13,00 включ. | 0 | 0 | 0 | 0 | 0 |
Св. 13,00 до 14,00 включ. | 0 | 0 | 0 | 0 | 0 |
Св. 14,00 до 15,00 включ. | 0 | 0 | 0 | 0 | 0 |
Св. 15,00 до 16,00 включ. | 0 | 0 | 0 | 0 | 0 |
Св. 16,00 до 17,00 включ. | 0 | 0 | 0 | 0 | 0 |
Св. 17,00 до 19,00 включ. | 0 | 0 | 0 | 0 | 0 |
Св. 19,00 до 22,00 включ. | 0 | 0 | 0 | 0 | 0 |
Св. 22,00 до 25,00 включ. | 0 | 0 | 0 | 0 | - |
4.11 Толщина плит и предельные отклонения по толщине в зависимости от ширины должны соответствовать указанным в таблице 9.
Таблица 9
В миллиметрах
Номинальная толщина | Предельное отклонение по толщине при ширине | ||
от 150 | св. 1000 | св. 2000 | |
От 25,00 до 40,00 включ. | 0 | 0 | 0 |
Св. 40,00 до 60,00 включ. | 0 | 0 | 0 |
Св. 60,00 до 100,00 включ. | 0 | 0 | - |
Св. 100,00 до 150,00 включ. | 0 | 0 | - |
4.12 По согласованию потребителя с изготовителем плиты и горячекатаные листы изготовляют с симметричными предельными отклонениями по толщине, указанными в таблице 10.
Таблица 10
В миллиметрах
Номинальная толщина | Предельное отклонение по толщине при ширине | |||
до 700 включ. | св. 700 | св. 1000 | св. 1500 | |
От 3,00 до 5,00 включ. | ±0,25 | ±0,30 | ±0,35 | По договоренности |
Св. 5,00 до 7,50 включ. | ±0,35 | ±0,40 | ±0,45 | |
Св. 7,50 до 10,00 включ. | ±0,45 | ±0,50 | ±0,55 | |
Св. 10,00 до 15,00 включ. | ±0,75 | ±0,80 | ±0,90 | |
Св. 15,00 до 25,00 включ. | ±0,95 | ±1,05 | ±1,30 | |
Св. 25,00 до 50,00 включ. | ±1,30 | ±1,40 | ±1,50 | |
Св. 50,00 | ±1,50 | ±1,65 | ±1,80 | |
4.13 Горячекатаные листы изготовляют шириной от 100 до 3000 мм. Предельные отклонения по ширине:
- при ширине от 100 до 600 мм включ. - минус 10 мм;
- при ширине св. 600 мм - минус 20 мм.
4.14 Горячекатаные листы изготовляют длиной от 1000 до 6000 мм. Предельные отклонения по длине - минус 30 мм.
По согласованию потребителя с изготовителем горячекатаные листы могут быть изготовлены длиной, отличающейся от приведенной.
4.15 Плиты изготовляют шириной от 150 до 2500 мм и длиной от 600 до 4000 мм.
Предельные отклонения по ширине и длине должны быть не более плюс 40,0 мм.
Условные обозначения фольги, лент, листов и плит проставляют по схеме:

При этом используют следующие сокращения:
способ изготовления: | холоднокатаные - Д, |
горячекатаные - Г; | |
форма сечения: | прямоугольная - ПР; |
точность изготовления: | нормальная по толщине и ширине - Н, |
нормальная по толщине и повышенная по ширине - К, | |
повышенная по толщине и нормальная по ширине - И, | |
повышенная по толщине и ширине - П; | |
состояние: | мягкое - М, |
полутвердое - П, | |
твердое - Т; | |
длина: | немерная - НД; |
особые условия: | увеличенной длины - УД, |
для силовых конденсаторов и обмоток трансформаторов - КО, | |
с нормированной глубиной выдавливания - ГВ, | |
с предельными отклонениями: | |
по толщине "±" и по ширине "+" - ЕН, | |
по толщине "±" и по ширине "-" - ЕГ. |
Вместо отсутствующих данных ставится "X", кроме обозначения длины.
Примеры условных обозначений:
Лента холоднокатаная, прямоугольная, повышенной точности изготовления по толщине и ширине, полутвердая, толщиной 0,70 мм, шириной 35 мм, немерной длины, из меди марки М1:
Лента ДПРПП 0,70х35 НД М1 ГОСТ 1173-2006
Лента холоднокатаная, прямоугольная, нормальной точности изготовления по толщине и ширине, мягкая, толщиной 0,25 мм, шириной 100 мм, немерной длины, из меди марки М1, с нормированной глубиной выдавливания:
Лента ДПРНМ 0,25х100 НД М1 ГВ ГОСТ 1173-2006
Лента, разрезанная на длины, холоднокатаная, прямоугольная, повышенной точности изготовления по толщине и ширине, твердая, толщиной 1,20 мм, шириной 80 мм, длиной 2000 мм, из меди марки М2:
Лента ДПРПТ 1,20х80х2000 М2 ГОСТ 1173-2006
Лента холоднокатаная, прямоугольная, твердая, толщиной 2,0 мм, шириной 500 мм, немерной длины, из меди марки М1, с предельными отклонениями по толщине "±" и по ширине "+":
Лента ДПРХТ 2,0х500 НД М1 ЕН ГОСТ 1173-2006
Лист холоднокатаный, прямоугольный, повышенной точности по толщине и нормальной точности по ширине, твердый, толщиной 1,00 мм, шириной 200 мм, длиной 2000 мм, из меди марки М2:
Лист ДПРИТ 1,00х200х2000 М2 ГОСТ 1173-2006
Лист горячекатаный, прямоугольный, толщиной 7,0 мм, шириной 1500 мм, длиной 3000 мм, из меди марки М2:
Лист ГПРХХ 7,0х1500х3000 М2 ГОСТ 1173-2006
5 Технические требования
5.1 Фольгу, ленты, листы и плиты изготовляют в соответствии с требованиями настоящего стандарта из меди марок М1, М1р, М1ф, М2, М2р, М3, М3р по ГОСТ 859 с химическим составом, указанным в таблице 11.
Таблица 11
В процентах
Массовая доля элемента | |||||||||||||
Примеси, не более | |||||||||||||
Обоз- | Медь + сереб- | Вис- | Жел- | Ни- | Цинк | Оло- | Сурь- | Мышь- | Сви- | Сера | Кис- | Фосфор | Способ получения |
М1 | 99,90 | 0,001 | 0,005 | 0,002 | 0,004 | 0,002 | 0,002 | 0,002 | 0,005 | 0,004 | 0,05 | - | Переплавка катодов |
М1р | 99,90 | 0,001 | 0,005 | 0,002 | 0,005 | 0,002 | 0,002 | 0,002 | 0,005 | 0,005 | 0,01 | 0,002-0,012 | Переплавка катодов и лома меди с раскислением фосфором |
М1ф | 99,90 | 0,001 | 0,005 | 0,002 | 0,005 | 0,002 | 0,002 | 0,002 | 0,005 | 0,005 | - | 0,012-0,04 | |
М2р | 99,70 | 0,002 | 0,05 | 0,2 | - | 0,05 | 0,005 | 0,01 | 0,01 | 0,01 | 0,01 | 0,005-0,06 | |
М3р | 99,50 | 0,003 | 0,05 | 0,2 | - | 0,05 | 0,05 | 0,05 | 0,03 | 0,01 | 0,01 | 0,005-0,06 | |
М2 | 99,70 | 0,002 | 0,05 | 0,2 | - | 0,05 | 0,005 | 0,01 | 0,01 | 0,01 | 0,07 | - | Огневое рафинирование и переплавка отходов и лома меди |
М3 | 99,50 | 0,003 | 0,05 | 0,2 | - | 0,05 | 0,05 | 0,01 | 0,05 | 0,01 | 0,08 | - | |
Примечания | |||||||||||||
Допускается для производства меди марок М1р, М2р, М3р использовать медь, полученную огневым рафинированием.
По требованию потребителя ленты, предназначенные для силовых конденсаторов и обмоток трансформаторов, могут быть изготовлены из меди марки М1Е с удельным объемным электрическим сопротивлением не более 17,48·10 Ом·м (0,01748 Ом·мм
/м).
5.2 Фольгу и ленты изготовляют холоднокатаными, листы и плиты - холоднокатаными и горячекатаными. Ленты, холоднокатаные листы и плиты изготовляют в мягком, полутвердом и твердом состояниях.
Фольгу изготовляют в твердом состоянии.
Холоднокатаные листы толщиной 0,20 мм и 0,30 мм изготовляют в твердом состоянии.
5.3 Поверхность фольги, лент, листов и плит должна быть свободной от загрязнений, затрудняющих осмотр.
На поверхности допускаются цвета побежалости, местные потемнения, следы технологической смазки, а также местные дефекты, не выводящие фольгу, ленты и холоднокатаные листы при контрольной зачистке за предельные отклонения по толщине.
На поверхности плит и горячекатаных листов допускаются шероховатость и отпечатки от валков в виде мелкой сетки. Следы окалины браковочным признаком не являются.
Плиты и горячекатаные листы изготовляют без травления поверхности. По согласованию потребителя с изготовителем допускается изготовление плит и горячекатаных листов с травленой поверхностью и плит с механической обработкой поверхности (фрезерованные).
На поверхности плит и горячекатаных листов допускаются отдельные дефекты, не выводящие плиты и горячекатаные листы при контрольной зачистке за предельные отклонения по толщине.
Допускается качество поверхности контролировать по образцам, согласованным между изготовителем и потребителем.
5.4 Фольга, ленты и листы толщиной до 6,00 мм должны быть ровно обрезаны и не должны иметь значительных заусенцев по ГОСТ 15467. Мятая и рваная кромка не допускается. Допускается небольшая волнистость, исчезающая при контрольном изгибе.
Ленты толщиной до 2,00 мм, предназначенные для силовых конденсаторов и обмотки трансформаторов, не должны иметь заусенцев.
Допускается изготовлять ленты и листы без обрезки кромок.
5.5 Плиты должны быть обрезаны по ширине и длине. Допускается по согласованию с потребителем плиты изготовлять без обрезки, размеченными по номинальным размерам.
5.6 Допускаемая косина реза не должна выводить листы, ленты, разрезанные на длины, и плиты за предельные отклонения по ширине и длине.
5.7 Серповидность лент не должна превышать 3 мм на 1 м длины.
Серповидность листов и лент, разрезанных на длины толщиной до 4,0 мм, не должна превышать 5 мм на 1 м длины, толщиной свыше 4,0 мм - 8 мм на 1 м длины.
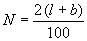
5.8 Прогиб лент не должен превышать 1 мм для лент шириной от 10 до 100 мм. Для лент шириной свыше 100 мм прогиб
, мм, вычисляют по формуле
, (1)
где - прогиб для лент шириной до 100 мм, мм;
- ширина ленты, мм.
Прогиб холоднокатаных листов и лент, разрезанных на длины, не должен превышать 1 мм на каждые 100 мм ширины и 20 мм на 1 м длины листа или ленты, разрезанной на длины.
Для горячекатаных листов и плит прогиб определяют по согласованию потребителя с изготовителем.
5.9 По требованию потребителя холоднокатаные мягкие листы, ленты, разрезанные на длины, и горячекатаные листы толщиной до 12,0 мм должны выдерживать испытание на изгиб в холодном состоянии вокруг оправки диаметром, равным толщине листа или ленты, разрезанной на длины, без появления трещин и расслоений.
Испытание на изгиб лент, разрезанных на длины, и листов толщиной до 5 мм включительно должно проводиться до соприкосновения сторон; при толщине свыше 5 мм - до параллельности сторон.
Полутвердые ленты, разрезанные на длины, и листы толщиной от 1,00 до 10,00 мм включительно должны выдерживать испытание на изгиб в холодном состоянии на 90° без появления следов надрывов и трещин вокруг оправки радиусом закругления, равным толщине листа или ленты, разрезанной на длины.
По требованию потребителя листы из раскисленной меди должны выдерживать испытание на изгиб после отжига в водородной среде.
5.10 Механические свойства лент и листов должны соответствовать указанным в таблице 12.
Таблица 12
Способ изготовления | Состояние материала | Временное сопротивление | Относительное удлинение, %, не менее | |
Холоднокатаные | Мягкое | 200-260 (20-27) | 36 | 42 |
Полутвердое | 240-310 (25-32) | 12 | 15 | |
Твердое | Не менее 290 (30) | 3 | 6 | |
Горячекатаные | - | Не менее 200 (20) | 30 | - |
Примечания | ||||
Механические свойства для горячекатаных листов толщиной свыше 12 мм определяют по требованию потребителя.
Относительное удлинение определяют на длинных или коротких
образцах. Если потребитель не указывает, какое удлинение необходимо определить, то выбор - за изготовителем.
5.11 Механические свойства плит определяют по согласованию с потребителем, при этом согласовывают место и порядок отбора образца и нормы показателей механических свойств.
5.12 По требованию потребителя глубину выдавливания определяют для мягких лент толщиной от 0,10 до 1,50 мм включительно. Глубина вытяжки сферической лунки должна соответствовать указанной в таблице 13, при этом временное сопротивление и относительное удлинение не определяют.
Таблица 13
В миллиметрах
Радиус пуансона | Глубина сферической лунки, не менее, при толщине ленты | ||||||
от 0,10 до 0,14 включ. | св. 0,14 до 0,16 включ. | св. 0,16 до 0,28 включ. | св. 0,28 до 0,55 включ. | св. 0,55 до 0,60 включ. | св. 0,60 до 1,10 включ. | св. 1,10 до 1,50 включ. | |
10 | 7,0 | 7,5 | 8,0 | 8,5 | 9,0 | 9,5 | 10,0 |
4 | 3,0 | 3,4 | 3,8 | 4,0 | - | - | - |
1,5 | 1,5 | 1,5 | 1,8 | 2,1 | - | - | - |
5.13 По согласованию потребителя с изготовителем мягкие ленты изготовляют с регламентированной величиной зерна.
6 Правила приемки
6.1 Фольга, ленты, листы и плиты принимают партиями. Партия должна состоять из фольги, лент, листов или плит одной марки меди, одного размера, одного состояния материала, одной точности и способа изготовления и оформлена одним документом о качестве, содержащим:
- товарный знак или наименование и товарный знак предприятия-изготовителя;
- наименование страны-изготовителя;
- юридический адрес изготовителя и (или) продавца;
- условное обозначение фольги, лент, листов или плит;
- результаты испытаний (по требованию потребителя);
- номер партии;
- массу нетто партии.
Масса партии не ограничивается.
Допускается оформлять один документ о качестве на несколько партий фольги, лент, листов или плит одной марки меди, одного размера, одного состояния материала, одной точности и способа изготовления, отгружаемых одному потребителю, с указанием номеров партий.
6.2 Для контроля размеров, внешнего вида, серповидности и прогиба фольги, лент, листов, плит; косины реза листов, лент, разрезанных на длины, и плит применяют одноступенчатый нормальный план выборочного контроля по альтернативному признаку в соответствии с ГОСТ 18242 с приемочным уровнем дефектности AQL=4%.
Отбор рулонов фольги и лент, листов, лент, разрезанных на длины, и плит в выборку осуществляют "вслепую" (методом наибольшей объективности) по ГОСТ 18321.
Если объем партии не превышает трех рулонов фольги, лент или трех листов, лент, разрезанных на длины, и плит, проверке подвергают каждый рулон фольги, ленты или каждый лист, ленту, разрезанную на длины, плиту.
6.3 Для контроля размеров, внешнего вида, серповидности, косины реза и прогиба от партии отбирают рулоны фольги, ленты или листы, ленты, разрезанные на длины, плиты в соответствии с таблицей 14.
Таблица 14
В штуках
Объем партии | Объем выборки | Браковочное число |
4-25 | 3 | 1 |
26-90 | 13 | 2 |
91-150 | 20 | 3 |
151-280 | 32 | 4 |
281-500 | 50 | 6 |
501-1200 | 80 | 8 |
6.4 Для измерения толщины фольги или ленты на каждом отобранном рулоне количество контролируемых точек определяют в зависимости от длины фольги или ленты в рулоне в соответствии с таблицей 15.
Таблица 15
Длина фольги или ленты, м | Количество контролируемых точек в рулоне, шт. | Браковочное число |
От 5 до 12 включ. | 3 | 1 |
Св. 12 " 45 " | 13 | 2 |
" 45 " 75 " | 20 | 3 |
" 75 " 140 " | 32 | 4 |
" 140 " 250 " | 50 | 6 |
" 250 " 600 " | 80 | 8 |
" 600 " 1600 " | 125 | 11 |
Длину фольги или ленты в рулоне для выбора числа контролируемых точек в рулоне определяют по формуле (2), приведенной в 7.4.
6.5 Для измерения толщины на каждой отобранной ленте, разрезанной на длины, или плите, или отобранном листе количество контролируемых точек определяют в зависимости от общего числа участков длиной 100 мм по периметру ленты, разрезанной на длины, листа или плиты в соответствии с таблицей 16. При периметре, не кратном 100 мм, конечный участок длиной менее 100 мм принимается за один участок.
Таблица 16
В штуках
Количество участков на ленте, разрезанной на длины, листе или плите | Количество контролируемых точек | Браковочное число |
4-25 | 3 | 1 |
26-90 | 13 | 2 |
91-150 | 20 | 3 |
151-280 | 32 | 4 |
281-500 | 50 | 6 |
501-1200 | 80 | 8 |
6.6 При контроле толщины контролируемый рулон фольги, ленты или лента, разрезанная на длины, лист, плита считаются годными, если число результатов измерения, не соответствующих требованиям таблиц 1, 9, менее браковочного числа, указанного в таблицах 15 или 16.
При контроле ширины, длины, внешнего вида, косины реза, серповидности и прогиба партия считается годной, если число рулонов фольги, лент или лент, разрезанных на длины, листов или плит, не соответствующих требованиям 4.9, 4.10, 4.14, 4.15, 5.2, 5.4, 5.5, 5.6, таблиц 3, 5, 7, менее браковочного числа, указанного в таблице 14.
При получении неудовлетворительных результатов хотя бы на одном из контролируемых рулонов фольги, ленты или листе, ленте, разрезанной на длины, плите проводят сплошной контроль всей партии.
Допускается изготовителю контроль толщины, ширины, длины и качества поверхности проводить в процессе производства.
6.7 Для проверки химического состава отбирают два рулона фольги, ленты, две ленты, разрезанные на длины, два листа или две плиты, взятые от партии.
Допускается на предприятии-изготовителе отбор проб проводить от расплавленного металла.
6.8 Для испытания на растяжение (ленты и листы), изгиб (ленты, разрезанные на длины, и листы), вытяжку сферической лунки (ленты) и определения величины зерна (ленты) от партии отбирают три рулона ленты, три ленты, разрезанные на длины, три листа от каждых полных или неполных 1000 кг партии лент, холоднокатаных листов и лент, разрезанных на длины, и от 5000 кг партии горячекатаных листов.
При производстве укрупненных рулонов лент методом сварки допускается изготовителю для испытания на растяжение, вытяжку сферической лунки и определения величины зерна от партии отбирать по три рулона от каждых полных и неполных 3000 кг партии.
6.9 При получении неудовлетворительных результатов испытаний хотя бы по одному из показателей, указанных в 6.7, 6.8, по нему проводят повторное испытание на удвоенной выборке, взятой от той же партии. Результаты повторного испытания распространяют на всю партию.
7 Методы контроля и испытаний
7.1 Контроль размеров, внешнего вида, серповидности, прогиба и косины реза проводят с заданной вероятностью 96% (приемочный уровень дефектности AQL=4%).
7.2 Внешний вид фольги, лент, листов и плит проверяют осмотром без применения увеличительных приборов.
7.3 Толщину фольги, лент, листов и плит измеряют многооборотным индикатором по ГОСТ 9696, микрометром по ГОСТ 6507 или рычажным микрометром по ГОСТ 4381.
7.4 Измерение толщины фольги и ленты проводят на расстоянии не менее 10 мм от кромки и не менее 100 мм от конца рулона фольги или ленты. Для лент шириной 20 мм и менее измерение проводят посередине ширины ленты.
Толщину фольги или ленты измеряют на каждом отобранном рулоне в точках, расположенных равномерно-случайно по длине рулона.
Длину рулона , м, вычисляют по формуле
, (2)
где и
- соответственно наружный и внутренний диаметры рулона, измеряемые линейкой по ГОСТ 427, мм;
- толщина фольги или ленты, мм.
7.5 Измерение толщины лент, разрезанных на длины, листов и плит проводят на расстоянии не менее 100 мм от вершины угла и не менее 15 мм от края.
Толщину лент, разрезанных на длины, листов и плит измеряют на каждом отобранном листе или каждой отобранной ленте, разрезанной на длины, или плите в точках, расположенных равномерно-случайно по периметру ленты, разрезанной на длины, листа или плиты.
Количество лент, разрезанных на длины, листов или плит в партии , шт., вычисляют по формуле
, (3)
где - масса партии, кг;
- плотность материала, г/см
;
- толщина ленты, разрезанной на длины, или листа, мм;
- ширина ленты, разрезанной на длины, листа или плиты, мм;
- длина ленты, разрезанной на длины, листа или плиты, мм.
Количество контролируемых участков на ленте, разрезанной на длины, листе или плите , шт., вычисляют по формуле
, (4)
где - длина ленты, разрезанной на длины, листа или плиты, мм;
- ширина ленты, разрезанной на длины, листа или плиты, мм.
7.6 Ширину и длину фольги, лент, ленты, разрезанной на длины, листов и плит измеряют линейкой по ГОСТ 427, штангенциркулем по ГОСТ 166 или металлической рулеткой по ГОСТ 7502.
Измерение ширины проводят в одном месте на расстоянии не менее 100 мм от конца фольги, ленты или от края ленты, разрезанной на длины, или листа.
7.7 Серповидность и прогиб фольги, лент и листов измеряют по ГОСТ 26877 в одном месте на любом участке.
7.8 Косину реза лент, разрезанных на длины, листов и плит определяют по ГОСТ 26877.
7.9 Для испытания на растяжение от каждого отобранного рулона лент или листа, или от каждой отобранной плиты вырезают по одному образцу. Отбор образцов проводят по ГОСТ 24047.
Испытание на растяжение проводят по ГОСТ 11701 на образцах типа I или II для лент и листов толщиной менее 0,50 мм с
и 12,5 мм; толщиной от 0,50 до 3,00 мм с
или
и 20 мм.
Испытание на растяжение лент шириной менее 20 мм проводят на образцах шириной, равной ширине ленты, при этом кромки образцов могут быть обработаны механическим способом.
Испытание на растяжение лент и листов толщиной 3,0 мм и более проводят по ГОСТ 1497 на образцах типа I или II толщиной от 3,00 до 8,00 с
или
и 20 мм; толщиной 8,00 мм и более с
или
и 30 мм.
Испытание на растяжение листов и плит толщиной свыше 12 мм допускается проводить на цилиндрических образцах по ГОСТ
1497.
7.10 Для испытания на вытяжку сферической лунки от каждого отобранного рулона вырезают по одному образцу. Испытание проводят по ГОСТ 10510.
Ленты шириной до 30 мм включительно и толщиной до 0,55 мм включительно испытывают пуансоном радиусом 1,5 мм; шириной свыше 30 до 90 мм включительно и толщиной до 0,55 мм включительно - пуансоном радиусом 4,0 мм; шириной свыше 90 мм и толщиной свыше 0,10 мм до 1,50 мм включительно - пуансоном радиусом 10 мм.
Допускается испытание на вытяжку сферической лунки проводить до разрезки лент на ширины.
Испытание на вытяжку сферической лунки лент толщиной от 0,10 до 0,45 мм допускается проводить на машинах в ручном режиме.
7.11 Для определения величины зерна от каждого отобранного рулона вырезают по одному образцу. Определение величины зерна проводят по ГОСТ 21073.1
7.12 Испытание на изгиб проводят по ГОСТ 14019.
Образцы для испытания на изгиб вырезают вдоль прокатки.
Образцы для испытания на изгиб из раскисленной меди должны отжигаться в водородной среде при температуре от 800 °С до 850 °С в течение 30 мин.
7.13 Для анализа химического состава от каждого отобранного рулона лент, листа или ленты, разрезанной на длины, вырезают по одному образцу. Отбор проб для анализа химического состава проводят по ГОСТ 24231.
Анализ химического состава проводят по ГОСТ 13938.1-ГОСТ 13938.13, ГОСТ 13938.15, ГОСТ 9717.1-ГОСТ 9717.3.
Допускается на предприятии-изготовителе отбор проб проводить от расплавленного металла.
Допускается проводить химический анализ другими методами, не уступающими по точности указанным. Допускается изготовителю контролировать содержание примесей висмута, сурьмы, мышьяка, серы и кислорода периодически - один раз в три месяца при условии гарантии их содержания согласно требованиям ГОСТ 859.
При возникновении разногласий в оценке химического состава анализ проводят по ГОСТ 13938.1-ГОСТ 13938.13, ГОСТ 13938.15.
7.14 Волнистость кромки проверяют огибанием фольги, ленты, или листа толщиной до 2,00 мм включительно вокруг оправки диаметром от 100 до 120 мм. Если волнистость не исчезает, рулон фольги, ленты или лист бракуют.
7.15 Допускается изготовителю применять другие методы контроля и средства измерения, обеспечивающие необходимую точность.
При возникновении разногласий в определении показателей контроль проводят методами, указанными в настоящем стандарте.
7.16 Определение удельного объемного электрического сопротивления проводят по ГОСТ 7229.
Допускаются другие методы и средства измерения, обеспечивающие точность не ниже установленной ГОСТ 7229.
При возникновении разногласий измерение проводят по ГОСТ 7229.
7.17 С целью определения соответствия пределам, указанным в настоящем стандарте, измеренное или расчетное значение, полученное при испытании, должно быть округлено в один шаг до количества цифр, использующихся для выражения указанных пределов в настоящем стандарте.
Должны использоваться следующие правила округления:
а) если цифра, сохраняющаяся сразу же после последней цифры, меньше 5, то оставшаяся последняя цифра должна оставаться без изменений;
б) если цифра, сохраняющаяся сразу же после последней цифры, равна или больше 5, то оставшаяся последняя цифра должна увеличиваться на один.
8 Маркировка, упаковка, транспортирование и хранение
8.1 Фольга и ленты, должны быть свернуты в рулоны. В одном рулоне не должно быть более трех отрезков.
Внутренний диаметр рулона должен быть 40, 80, 100, 200, 250, 300, 400, 500 мм. Намотка должна исключить изменение формы рулона под действием силы тяжести. По согласованию изготовителя с потребителем допускаются другие внутренние диаметры рулонов.
8.2 Рулоны фольги и лент толщиной до 0,50 мм включительно должны быть обернуты бумагой, упакованы в деревянные ящики и переложены картоном.
Рулоны лент толщиной более 0,5 мм должны быть обвязаны лентой размером не менее 0,2х20 мм и обернуты в синтетический или нетканый материал, обеспечивающий сохранность качества продукции.
8.3 Ленты, разрезанные на длины, и холоднокатаные листы толщиной до 2,00 мм должны быть упакованы в деревянные ящики.
Допускается ленты, разрезанные на длины, и холоднокатаные листы толщиной до 2,00 мм включительно упаковывать в пачки. Пачки должны быть обернуты бумагой и защищены сверху и снизу досками или деревянными щитами, размеры которых соответствуют ширине и длине пачки, и перевязаны не менее чем в двух местах или крестообразно лентой размером не менее 0,3х20 мм или проволокой толщиной не менее 2 мм. Скрепление концов: проволоки - скруткой не менее трех витков, ленты - в замок.
Ленты, разрезанные на длины, холоднокатаные листы толщиной более 2,00 мм и горячекатаные листы должны быть упакованы в пачки с односторонней защитой щитами по размерам пачки, как указано выше.
Листы длиной 4 м и более должны быть согнуты до соприкосновения кромок.
8.4 Плиты поставляют на деревянных обрешетках. Сверху плиту закрывают картоном. Плиту перевязывают не менее чем в двух местах в поперечном и продольном направлениях лентой размером не менее 0,8х20 мм.
8.5 В качестве упаковочных средств и материалов и средств скрепления следует применять:
- бумагу по ГОСТ 8273;
- гофрированный картон по ГОСТ 7376;
- картон по ГОСТ 7933;
- деревянные ящики типов I, II, III по ГОСТ 2991 и ГОСТ 10198.
Размеры ящиков - по ГОСТ 21140 или техническим документам;
- доски и щиты по техническим документам;
- синтетические и нетканые материалы по техническим документам;
- ленту по ГОСТ 3560;
- проволоку по ГОСТ 3282.
Допускается применять другие виды упаковки и упаковочных материалов, не уступающие по прочности перечисленным выше и обеспечивающие сохранность качества продукции.
8.6 К каждому рулону или пачке или на каждую плиту должен быть прикреплен ярлык с указанием:
- товарного знака или наименования и товарного знака предприятия-изготовителя;
- наименования страны-изготовителя;
- условного обозначения фольги, лент, листов и плит;
- номера партии;
- штампа технического контроля.
8.7 Без упаковки в ящики, бумагу, синтетические и нетканые материалы допускается транспортировать рулоны и пачки в контейнерах по ГОСТ 15102, ГОСТ 22225, ГОСТ 20435 и ГОСТ 18477 в один адрес без перегрузки в пути. В этом случае между рядами рулонов и пачек должен быть проложен гофрированный картон по ГОСТ 7376.
При транспортировании в контейнерах рулоны и пачки должны быть уложены и укреплены таким образом, чтобы исключалась возможность их перемещения в контейнере. Кроме того, рулоны и пачки должны быть защищены от коррозии, загрязнений и механических повреждений.
8.8 В каждый ящик или контейнер должен быть вложен упаковочный лист, содержащий:
- товарный знак или наименование и товарный знак предприятия-изготовителя;
- наименование страны-изготовителя;
- условное обозначение фольги, лент, листов и плит;
- номер партии;
- массу нетто;
- массу брутто;
- номер упаковщика.
8.9 Транспортная маркировка - по ГОСТ 14192 с нанесением манипуляционного знака "Беречь от влаги".
8.10 Укрупнение грузовых мест в транспортные пакеты проводят в соответствии с требованиями ГОСТ 26663. Средства скрепления в транспортные пакеты - по ГОСТ 21650.
Пакетирование проводят на поддонах по ГОСТ 9557 или ГОСТ 9078 или без поддонов с использованием брусков высотой не менее 50 мм с обвязкой в продольном и поперечном направлениях проволокой диаметром не менее 2 мм по ГОСТ 3282 или лентой размерами не менее 0,3х20 мм по ГОСТ 3560. Скрепление концов: проволоки - скруткой не менее пяти витков, ленты - в замок.
Масса грузового места не должна превышать 2000 кг. Масса грузового места в крытых вагонах не должна превышать 1250 кг.
8.11 Упаковывание фольги, лент, листов и плит, отправляемых в районы Крайнего Севера и приравненные к ним местности, - по ГОСТ 15846 по группе "Металлы и металлические изделия".
8.12 Фольга, ленты, листы и плиты транспортируют всеми видами транспорта в крытых транспортных средствах в соответствии с правилами перевозки грузов, действующими на транспорте данного вида.
8.13 Фольга, ленты, листы и плиты должны храниться в крытых помещениях. При хранении и транспортировании фольга, ленты, листы и плиты должны быть защищены от механических повреждений, воздействия влаги и активных химических веществ.
У потребителя фольга, ленты, листы и плиты должны быть выдержаны на складе в упаковке изготовителя не менее двух суток для выравнивания температуры фольги, лент, листов и плит с температурой помещения. По истечении указанного срока фольга, ленты, листы и плиты должны быть распакованы.
При соблюдении указанных условий хранения потребительские свойства медных фольги, лент, листов и плит при хранении не изменяются.
Приложение А (справочное). Теоретическая масса 1 кв.м медных фольги, лент и листов
Приложение А
(справочное)
Теоретическая масса 1 м медных фольги, лент и листов
Таблица А.1
Толщина, мм | Масса 1 м |
0,05 | 0,44 |
0,06 | 0,53 |
0,07 | 0,62 |
0,08 | 0,71 |
0,09 | 0,80 |
0,10 | 0,89 |
0,12 | 1,07 |
0,14 | 1,25 |
0,15 | 1,33 |
0,16 | 1,42 |
0,18 | 1,60 |
0,20 | 1,78 |
0,22 | 1,96 |
0,25 | 2,23 |
0,28 | 2,49 |
0,30 | 2,67 |
0,35 | 3,12 |
0,40 | 3,56 |
0,45 | 4,01 |
0,50 | 4,45 |
0,55 | 4,90 |
0,60 | 5,34 |
0,65 | 5,79 |
0,70 | 6,23 |
0,75 | 6,68 |
0,80 | 7,12 |
0,85 | 7,57 |
0,90 | 8,01 |
1,00 | 8,90 |
1,05 | 9,35 |
1,10 | 9,79 |
1,20 | 10,68 |
1,30 | 11,57 |
1,40 | 12,46 |
1,50 | 13,35 |
1,60 | 14,24 |
1,70 | 15,13 |
1,80 | 16,02 |
1,90 | 16,91 |
2,00 | 17,80 |
2,20 | 19,58 |
2,50 | 22,25 |
3,00 | 26,70 |
3,50 | 31,15 |
4,00 | 35,60 |
4,50 | 40,05 |
5,00 | 44,50 |
5,50 | 48,95 |
6,00 | 53,40 |
6,50 | 57,85 |
7,00 | 62,30 |
8,00 | 71,20 |
9,00 | 80,10 |
10,00 | 89,00 |
11,00 | 97,90 |
12,00 | 106,80 |
13,00 | 115,70 |
14,00 | 124,60 |
15,00 | 133,50 |
16,00 | 142,40 |
17,00 | 151,30 |
18,00 | 160,20 |
19,00 | 169,10 |
20,00 | 178,00 |
22,00 | 195,80 |
24,00 | 213,60 |
25,00 | 222,50 |
Примечание - Теоретическую массу вычисляют при номинальной толщине и плотности меди, равной 8,9 г/см | |
Приложение Б (справочное). Соответствие обозначений марок меди по ГОСТ 1173-2006 и EN 1652:1998
Приложение Б
(справочное)
Таблица Б.1
ГОСТ 1173-2006 | EN 1652:1998 |
М1ф | Cu-DHP |
М1р | Cu-DLP |
М1 | Cu-ETP |
Приложение В (справочное). Значения твердости
Приложение В
(справочное)
Таблица В.1
Состояние материала | Твердость по Бринеллю, не менее | Твердость по Виккерсу |
Мягкое | 55 | 40-65 |
Полутвердое | 75 | 65-95 |
Твердое | 95 | 90-110 |
Электронный текст документа
подготовлен АО "Кодекс" и сверен по:
официальное издание
М.: Стандартинформ, 2007
Редакция документа с учетом
изменений и дополнений подготовлена
АО "Кодекс"
Разместите заказ
сами сделают вам предложение
