ГОСТы сталей. ГОСТ 1761-92
ГОСТ 1761-92
Группа В53
МЕЖГОСУДАРСТВЕННЫЙ СТАНДАРТ
ПОЛОСЫ И ЛЕНТЫ ИЗ ОЛОВЯННО-ФОСФОРИСТОЙ И ОЛОВЯННО-ЦИНКОВОЙ БРОНЗЫ
Технические условия
Tin-phosphorus and tin-zinc bronze ribbons and strips. Specifications
МКС 77.150.30
ОКП 18 4600
Дата введения 1993-01-01
ИНФОРМАЦИОННЫЕ ДАННЫЕ
1. РАЗРАБОТАН И ВНЕСЕН Министерством металлургии СССР
2. УТВЕРЖДЕН И ВВЕДЕН В ДЕЙСТВИЕ Постановлением Комитета стандартизации и метрологии СССР от 13.02.92 N 148
3. ВЗАМЕН ГОСТ 1761-79
4. ССЫЛОЧНЫЕ НОРМАТИВНО-ТЕХНИЧЕСКИЕ ДОКУМЕНТЫ
Обозначение НТД, на который дана ссылка | Номер пункта, подпункта |
ГОСТ 166-89 | 3.4 |
ГОСТ 427-75 | 3.3; 3.4 |
ГОСТ 1497-84 | 3.6 |
ГОСТ 1953.1-79 - ГОСТ 1953.12-79 | 3.1 |
ГОСТ 2228-81 | 1.5.2 |
ГОСТ 2991-85 | 1.5.2 |
ГОСТ 3282-74 | 1.5.2; 1.5.4 |
ГОСТ 3560-73 | 1.5.2; 1.5.4 |
ГОСТ 5017-74 | 1.1; 1.3.3.6 |
ГОСТ 5244-79 | 1.5.2 |
ГОСТ 6507-90 | 3.3 |
ГОСТ 7376-89 | 1.5.2 |
ГОСТ 7502-89 | 3.4 |
ГОСТ 8273-75 | 1.5.2 |
ГОСТ 8828-89 | 1.5.2 |
ГОСТ 9557-87 | 1.5.4 |
ГОСТ 9569-79 | 1.5.2 |
ГОСТ 9696-82 | 3.3 |
ГОСТ 10197-70 | 3.3 |
ГОСТ 10198-91 | 1.5.2 |
ГОСТ 10354-82 | 1.5.2 |
ГОСТ 11701-84 | 3.6 |
ГОСТ 14192-96 | 1.4.2 |
ГОСТ 15102-75 | 4.2 |
ГОСТ 15846-2002 | 1.5.2 |
ГОСТ 18242-72 | 2.4 |
ГОСТ 18321-73 | 2.4 |
ГОСТ 18477-79 | 4.2 |
ГОСТ 20435-75 | 4.2 |
ГОСТ 21140-88 | 1.5.2 |
ГОСТ 21650-76 | 1.5.3 |
ГОСТ 24047-80 | 3.6 |
ГОСТ 24231-80 | 3.1 |
ГОСТ 24597-81 | 1.5.3 |
ГОСТ 26877-91 | 3.4; 3.5 |
5. ПЕРЕИЗДАНИЕ. Апрель 2005 г.
Настоящий стандарт распространяется на холоднокатаные полосы и ленты, применяемые для изготовления упругих элементов, деталей приборов, машин и аппаратов.
Требования пп.1.1, 1.2, 1.3.1, 1.4, 1.5, разд.2, 3, 4 являются обязательными.
1. ТЕХНИЧЕСКИЕ ТРЕБОВАНИЯ
1. ТЕХНИЧЕСКИЕ ТРЕБОВАНИЯ
1.1. Полосы и ленты изготовляют в соответствии с требованиями настоящего стандарта по технологическому регламенту, утвержденному в установленном порядке.
Холоднокатаные полосы и ленты изготовляют из оловянно-фосфористой бронзы марки БрОФ6,5-0,15 и оловянно-цинковой бронзы марки БрОЦ4-3 с химическим составом по ГОСТ 5017*.
________________
* На территории Российской Федерации документ не действует. Действует ГОСТ 5017-2006, здесь и далее по тексту. - Примечание изготовителя базы данных.
1.2. Основные параметры и размеры
1.2.1. Толщина полос и предельные отклонения по толщине должны соответствовать приведенным в табл.1.
Таблица 1
мм
Толщина полос | Предельные отклонения по толщине |
1,0 | -0,08 |
1,2 | -0,10 |
1,5 | -0,10 |
2,0 | -0,11 |
2,5 | -0,12 |
3,0 | -0,14 |
4,0 | -0,18 |
5,0 | -0,20 |
6,0 | -0,25 |
8,0 | -0,25 |
10,0 | -0,30 |
1.2.2. Ширина полос и предельные отклонения по ширине в зависимости от толщины должны соответствовать приведенным в табл.2.
Таблица 2
мм
Ширина полос | Предельные отклонения по ширине при толщине | |||
от 1,0 до 1,5 | св. 1,5 до 4,0 | от 4,0 до 6,0 | св. 6,0 до 10 включ. | |
40, 60, 80, 100, 125, 160 | +1 | +2 | +3 | +5 |
180, 200, 250, 300 | +2 | +3 | +4 | +7 |
Примечание. Полосы из бронзы марки БрОЦ4-3 толщиной 4,0 мм и более изготовляют шириной от 100 до 300 мм.
1.2.3. Полосы изготовляют:
из бронзы марки БрОФ6,5-0,15 длиной от 800 до 2000 мм;
из бронзы марки БрОЦ4-3 длиной от 800 до 1600 мм.
Полосы изготовляют немерной длины, мерной с интервалом 100 мм и кратной мерной длины в пределах немерной.
1.2.4. Предельные отклонения по длине полос мерной и кратной мерной длины не должны превышать +10 мм.
1.2.5. Толщина лент и предельные отклонения по толщине должны соответствовать приведенным в табл.3.
Таблица 3
мм
Толщина лент | Предельные отклонения по толщине | ||
нормальной точности | повышенной точности | высокой точности | |
0,10 | -0,02 | -0,015 | -0,010 |
0,12 | |||
0,15 | -0,03 | -0,015 | |
0,20 | -0,02 | -0,015 | |
0,25 | |||
0,30 | |||
0,35 | -0,04 | -0,03 | -0,020 |
0,40 | |||
0,45 | |||
0,50 | -0,05 | -0,04 | - |
0,60 | -0,06 | ||
0,65 | -0,05 | ||
0,70 | |||
0,80 | |||
0,90 | -0,07 | -0,06 | |
1,00 | -0,08 | -0,06 | |
1,20 | |||
1,50 | -0,09 | -0,07 | |
1,60 | -0,08 | ||
1,70 | -0,10 | -0,08 | |
2,00 | -0,11 | -0,09 | |
1.2.6. Ширина лент и предельные отклонения по ширине должны соответствовать приведенным в табл.4.
Таблица 4
мм
Ширина лент | Предельные отклонения по ширине при толщине | |||
от 0,10 до 1,00 включ. | св. 1,00 до 2,00 включ. | |||
нормальной точности | повышенной точности | нормальной точности | повышенной точности | |
10, 12, 15, 18, 20, 22, 25, 26, 27, 30, 32, 36, 38, 40, 45, 50, 56, 60, 65, 71, 80, 90, 100, 125, 140, 150 | -0,5 | -0,3 | -0,8 | -0,6 |
180, 200, 220, 250, 280, 300 | -0,8 | -0,6 | -1,0 | -0,8 |
Примечание. Ленты толщиной от 0,10 до 0,45 мм включительно изготовляют шириной от 10 до 300 мм, толщиной свыше 0,45 мм - шириной от 20 до 300 мм.
1.2.7. Длина лент должна быть не менее 5 м.
Примечание. Допускаются ленты длиной менее 5 м, но не менее 3 м, в количестве не более 10% от массы партии.
1.2.8. Теоретическая масса 1 м полос и лент приведена в приложении 1.
Условные обозначения полос и лент проставляют по схеме:

при следующих сокращениях: | |
Способ изготовления: | |
холоднокатаные | - Д; |
Форма сечения: | |
прямоугольная | - ПР; |
Точность изготовления (только для лент): | |
нормальная по толщине и по ширине | - Н, |
повышенная по толщине и ширине | - П, |
высокая по толщине | - В; |
Состояние: | |
мягкая | - М, |
полутвердая | - П, |
твердая | - Т, |
особотвердая | - О; |
Длина: | |
мерная | - МД, |
кратная мерной | - КД, |
немерная | - НД; |
Особые условия: | |
мягкая полоса или лента из бронзы марки БрОФ6,5-0,15 | - П, |
лента увеличенной длины | - У, |
лента антимагнитная | - А. |
Примечание. Знак "X" ставится вместо отсутствующих данных, кроме обозначения длины и особых условий.
Примеры условных обозначений
Полоса мягкая толщиной 5,0 мм, шириной 200 мм, мерной длины 1500 мм, из оловянно-фосфористой бронзы марки БрОФ6,5-015:
Полоса ДПРХМ 5,0х200х1500 МД БрОФ6,5-0,15 ГОСТ 1761-92
Лента повышенной точности изготовления по толщине и ширине, твердая, толщиной 0,5 мм, шириной 100 мм, немерной длины, из оловянно-фосфористой бронзы марки БрОФ6,5-0,15:
Лента ДПРПТ 0,5х100 НД БрОФ6,5-0,15 ГОСТ 1761-92
Лента высокой точности изготовления по толщине, мягкая, толщиной 0,20 мм, шириной 150, мм из бронзы марки БрОФ6,5-0,15, увеличенной длины, антимагнитная:
Лента ДПРВМ 0,20х150 НД БрОФ6,5-0,15 УА ГОСТ 1761-92
Полоса мягкая толщиной 1,0 мм, шириной 250 мм, длиной 2000 мм, из бронзы марки БрОФ6,5-0,15, с повышенными механическими свойствами:
Полоса ДПРХМ 1,0х250х2000 МД БрОФ6,5-0,15 П ГОСТ 1761-92
Лента повышенной точности изготовления по толщине и ширине, твердая, толщиной 0,60 мм, шириной 180 мм, немерной длины, из оловянно-цинковой бронзы марки БрОЦ4-3:
Лента ДПРПТ 0,60х180 НД БрОЦ4-3 ГОСТ 1761-92
1.3. Характеристики
1.3.1. Обязательное исполнение
1.3.1.1. Толщина полос и предельные отклонения по толщине должны соответствовать приведенным в табл.1.
1.3.1.2. Ширина полос и предельные отклонения по ширине должны соответствовать приведенным в табл.2.
1.3.1.3. Длина полос должна соответствовать приведенным в п.1.2.3, предельные отклонения - п.1.2.4.
1.3.1.4. Толщина лент нормальной точности изготовления и предельные отклонения по толщине должны соответствовать приведенным в табл.3.
1.3.1.5. Ширина лент нормальной точности изготовления и предельные отклонения по ширине должны соответствовать приведенным в табл.4.
1.3.1.6. Длина лент должна соответствовать приведенной в п.1.2.7.
1.3.1.7. По состоянию материала полосы и ленты изготовляют мягкими, полутвердыми, твердыми и особотвердыми.
Твердые ленты изготовляют толщиной до 1,5 мм включительно, особотвердые - толщиной до 1,2 мм включительно.
Особотвердые полосы изготовляют толщиной до 5,0 мм включительно.
1.3.1.8. Поверхность полос и лент должна быть гладкой и чистой, свободной от загрязнений, затрудняющих осмотр.
На поверхности не допускаются местные уколы, царапины и шероховатость, выводящие полосы и ленты при контрольной зачистке за предельные отклонения по толщине.
Допускаются цвета побежалости, местные потемнения и следы невыгоревшей смазки.
1.3.1.9. Кромки полос и лент должны быть ровно обрезаны.
Допускаются малозначительные заусенцы.
Волнистые, мятные и рваные кромки не допускаются.
Допускаемая прямоугольность (косина реза) мерных полос не должна выводить их за предельные отклонения по ширине и длине.
1.3.1.10. Серповидность полос не должна превышать 4 мм на 1 м длины, для лент - 3 мм на 1 м длины.
1.3.1.11. Механические свойства полос и лент должны соответствовать требованиям, приведенным в табл.5.
Таблица 5
Марка | Состояние материала | Толщина, мм | Временное сопротивление | Предел текучести при растяжении,
| Относительное удлинение, |
БрОФ6,5-0,15 | Мягкое | Менее 0,5 | Не менее | Не менее | 35 |
0,5 и более | 38 | ||||
Полутвердое | Менее 0,5 | 440-570 | 370-540 | 8 | |
0,5 и более | 10 | ||||
Твердое | Менее 0,5 | 570-740 | 540-710 | 3 | |
0,5 и более | 5 | ||||
Особотвердое | Менее 0,5 | Не менее | Не менее | - | |
0,5 и более | |||||
БрОЦ4-3 | Мягкое | Менее 0,5 | Не менее | Не менее | 35 |
0,5 и более | 38 | ||||
Полутвердое | Менее 0,5 | 350-540 | 290-510 | 4 | |
0,5 и более | 8 | ||||
Твердое | Менее 0,5 | 540-690 | 510-670 | 2 | |
0,5 и более | 4 | ||||
Особотвердое | Менее 0,5 | Не менее | Не менее | - | |
0,5 и более |
Примечания:
1. Относительное удлинение лент толщиной 0,15 мм и менее не регламентируется.
2. Верхний предел временного сопротивления может быть выше, но не более чем на 20 МПа (2 кгс/мм), при сохранении минимального относительного удлинения, указанного в таблице.
3. Ориентировочные данные предела упругости, модуля упругости и микротвердости приведены в приложении 2.
1.3.2. Исполнение по требованию потребителя
1.3.2.1. Полосы толщиной 1,0 и 1,2 мм изготовляют с предельным отклонением по толщине минус 0,07 мм, толщиной 1,5 мм - минус 0,08 мм, толщиной 10,0 мм - минус 0,25 мм.
1.3.2.2. Полосы толщиной от 1,0 до 1,5 мм шириной от 40 до 160 мм включительно изготовляют с предельным отклонением по ширине плюс 0,6 мм.
1.3.2.3. Полосы мерной и кратной мерной длины толщиной более 3 мм изготовляют с предельным отклонением по длине не более плюс 6 мм.
1.3.2.4. Ленты изготовляют повышенной точности по толщине и ширине с предельными отклонениями, приведенными в табл.3 и 4.
1.3.2.5. Ленты толщиной 0,5 мм изготовляют шириной 270 мм с предельным отклонением по ширине минус 0,8 мм.
1.3.2.6. Ленты толщиной 0,15-0,50 мм изготовляют длиной не менее 15 м. При этом требования к качеству поверхности устанавливают по согласованию изготовителя с потребителем.
1.3.2.7. Для изделий коммутационной техники из бронзы марки БрОФ6,5-0,15 изготовляют ленты высокой точности по толщине с предельными отклонениями, приведенными в табл.3.
1.3.2.8. Ленты высокой точности из бронзы марки БрОФ6,5-0,15 изготовляют с серповидностью не более 1 мм на 1 м длины.
1.3.2.9. На лентах высокой точности цвета побежалости не допускаются.
1.3.2.10. Полосы и ленты из бронзы марки БрОФ6,5-0,15 в мягком состоянии изготовляют с механическими свойствами: с временным сопротивлением не менее 330 (34) МПа (кгс/мм
) и относительным удлинением
не менее 50%.
1.3.2.11. Допускается требования к качеству поверхности и качеству кромки устанавливать по эталонам.
1.3.2.12. Ленты с характеристиками исполнения по пп.1.3.2.7, 1.3.2.8, 1.3.2.9 и 1.3.2.10 изготовляют с 01.01.95.
1.3.3. Исполнение по согласованию изготовителя с потребителем
1.3.3.1. Полосы и ленты изготовляют промежуточных размеров по толщине и ширине с предельными отклонениями для следующего большего размера, приведенными в табл.1, 2, 3, 4.
1.3.3.2. Ленты изготовляют шириной до 600 мм включительно. При этом предельные отклонения устанавливают по согласованию изготовителя с потребителем.
1.3.3.3. Полосы и ленты изготовляют длиной, превышающей приведенную в пп.1.2.3, 1.2.7, 1.3.2.6. При этом предельные отклонения по толщине, ширине, длина и количество короткомера, серповидность и требования к качеству поверхности полос и лент устанавливают по согласованию изготовителя с потребителем.
1.3.3.4. Полосы изготовляют из бронзы марки БрОФ6,5-0,15 и бронзы марки БрОЦ4-3 длиной от 400 до 800 мм.
1.3.3.5. Ленты из бронзы марки БрОФ6,5-0,15 в твердом состоянии изготовляют с более узким интервалом временного сопротивления, чем приведенным в табл.5. При этом нормы временного сопротивления и относительного удлинения устанавливают по согласованию изготовителя с потребителем.
1.3.3.6. Ленты из бронзы марки БрОФ6,5-0,15 изготовляют антимагнитными по ГОСТ 5017.
1.4. Маркировка
1.4.1. К каждой пачке полос и каждому рулону лент должен быть прочно прикреплен или приклеен на видном месте ярлык с указанием:
товарного знака или наименования и товарного знака предприятия-изготовителя;
условного обозначения полос и лент;
номера партии;
штампа (клейма) технического контроля или номера контролера ОТК.
1.4.2. Транспортная маркировка - по ГОСТ 14192 с нанесением манипуляционного знака "Беречь от влаги".
Место нанесения, способ исполнения транспортной маркировки, способ крепления ярлыка - по ГОСТ 14192.
Допускается наносить маркировку непосредственно на тару.
1.5. Упаковка
1.5.1. Полосы должны быть сложены в пачки, ленты - свернуты в рулоны. Один рулон может состоять из нескольких отрезков лент. Намотка должна исключать пластическое изменение формы рулона под действием силы тяжести.
Допускается намотка лент высокой точности по согласованию изготовителя с потребителем с применением цилиндрических втулок.
1.5.2. Упаковка должна обеспечить защиту полос и лент от механических повреждений в процессе транспортирования и хранения.
Пачки полос толщиной до 3 мм упаковывают в дощатые решетчатые ящики или обкладывают с двух сторон (сверху и снизу пачки) деревянными щитами или досками, размеры которых соответствуют ширине и длине пачки, затем обвязывают не менее чем в двух местах лентой размерами не менее 0,3х20 мм или проволокой диаметром не менее 2 мм.
Пачки полос толщиной более 3 мм не обкладывают деревянными щитами или досками, перевязывают не менее чем в двух местах лентой размерами не менее 0,3х30 мм или проволокой диаметром не менее 2 мм.
Концы обвязочной ленты скрепляют в замок, проволоки - скруткой не менее пяти витков.
Рулоны лент должны быть обвязаны не менее чем в трех местах лентой размерами не менее 0,2х15 мм или проволокой диаметром не менее 1 мм. Концы обвязочной ленты скрепляют скруткой в замок, проволоки - скруткой не менее трех витков.
Рулоны лент толщиной до 0,8 мм включительно должны быть обернуты в один-два слоя бумагой, упакованы в плотные деревянные ящики, переложены древесной стружкой или другими материалами, предохраняющими ленты от повреждения.
Рулоны лент толщиной более 0,8 мм должны быть обернуты бумагой или нетканым материалом, или другими видами упаковочных материалов без упаковки в ящики.
Рулоны лент обертывают по спирали упаковочным материалом в один слой с перекрытием на одну треть. Концы скрепляют стальной проволокой в один обхват. Скрепление концов проволоки - скруткой не менее трех витков.
В качестве упаковочных средств, материалов и средств скрепления могут применяться:
ящики по ГОСТ 2991 типов V-1, V-2, VI-1, VI-2, II-1, II-2, III-1, III-2, по ГОСТ 10198 типа I-2;
деревянные щиты, доски по нормативно-технической документации;
бумага по ГОСТ 9569*, ГОСТ 8273, ГОСТ 8828, ГОСТ 2228;
_______________
* На территории Российской Федерации документ не действует. Действует ГОСТ 9569-2006. - Примечание изготовителя базы данных.
деревянная стружка по ГОСТ 5244;
гофрированный картон по ГОСТ 7376*;
________________
* На территории Российской Федерации документ не действует. Действует ГОСТ Р 52901-2007. - Примечание изготовителя базы данных.
лента по ГОСТ 3560;
проволока по ГОСТ 3282;
пленка полиэтиленовая по ГОСТ 10354;
нетканые материалы по нормативно-технической документации;
другие виды упаковки и упаковочных материалов по нормативно-технической документации, за исключением льняных и хлопчатобумажных тканей.
Размеры ящиков - по ГОСТ 21140 или по нормативно-технической документации.
Полосы и ленты, отправляемые в районы Крайнего Севера и приравненные к ним местности, должны быть упакованы в соответствии с требованиями ГОСТ 15846.
1.5.3. Масса грузового места не должна превышать 80 кг. При механизированной погрузке и выгрузке масса грузового места не должна превышать 1250 кг.
По согласованию изготовителя с потребителем может устанавливаться другая масса грузового места.
Грузовые места укрупняют в транспортные пакеты массой не более 1250 кг. Средства скрепления грузовых мест в транспортные пакеты - по ГОСТ 21650, массы, параметры и габаритные размеры транспортных пакетов - по ГОСТ 24597.
1.5.4. Пакетирование проводят на поддонах по ГОСТ 9557 или без поддонов с использованием брусков сечением не менее 50х50 мм, длиной, равной ширине пакета.
Транспортные пакеты должны быть обвязаны не менее чем в двух местах или крестообразно проволокой диаметром не менее 3 мм по ГОСТ 3282 или лентой размерами не менее 0,5х30 мм по ГОСТ 3560.
Концы обвязочной проволоки скрепляют скруткой не менее пяти витков, ленты - в замок.
1.5.5. В каждый ящик или контейнер должен быть вложен упаковочный лист, в котором приведены данные, перечисленные в п.1.4.1.
2. ПРИЕМКА
2.1. Полосы и ленты принимают партиями. Партия должна состоять из полос или лент одной марки сплава, одного размера, одной точности изготовления, одного состояния материала и должна быть оформлена документом о качестве, содержащим:
товарный знак или наименование и товарный знак предприятия-изготовителя;
условного обозначения полос и лент;
результаты механических испытаний (по требованию потребителя);
массу нетто партии;
номер партии;
штамп (клеймо) отдела технического контроля.
Допускается оформлять один документ о качестве на несколько партий полос или лент одного размера, одной марки бронзы, отгружаемых одному потребителю.
2.2. Химический состав определяют на двух полосах или двух рулонах лент, взятых от партии.
2.2.1. Допускается изготовителю по согласованию с потребителем устанавливать норму выборки для определения химического состава. Допускается изготовителю отбор проб проводить от расплавленного металла.
2.3. Контролю качества поверхности, ширины и длины подвергают каждую полосу или каждый рулон лент партии. Контролю прямоугольности (косины реза) подвергают каждую мерную полосу.
2.4. Для контроля толщины полос и лент применяют одноступенчатый нормальный план выборочного контроля по альтернативному признаку в соответствии с ГОСТ 18242* с приемочным уровнем дефектности 4%. Отбор полос (рулонов лент) в выборку осуществляют в соответствии с табл.6 "вслепую" (методом наибольшей объективности) по ГОСТ 18321.
_______________
* На территории Российской Федерации документ не действует. Действует ГОСТ Р ИСО 2859-1-2007. - Примечание изготовителя базы данных.
Таблица 6
Количество полос (рулонов лент) | Количество контролируемых полос |
4-25 | 3 |
26-90 | 13 |
91-150 | 20 |
151-280 | 32 |
281-500 | 50 |
501-1200 | 80 |
1201-3200 | 125 |
Примечание. Если объем партии не превышает трех полос (рулонов лент), проверке подвергают каждую полосу (рулон лент).
Количество полос в партии, количество контролируемых участков на одной полосе, длину лент в рулоне для выбора числа контролируемых точек в рулоне осуществляют по формулам, приведенным в п.3.3.
План выборочного контроля толщины полос приведен в табл.7.
Таблица 7
Количество участков на полосе | Количество контролируемых точек на полосе, шт. | Браковочное число |
4-25 | 3 | 1 |
26-90 | 13 | 2 |
91-150 | 20 | 3 |
151-280 | 32 | 4 |
План выборочного контроля толщины лент приведен в табл.8.
Таблица 8
Длина ленты в рулоне, м | Количество контролируемых точек, шт. | Браковочное число | ||||
От | 5 | до | 12 | включ. | 3 | 1 |
" | 13 | " | 45 | " | 13 | 2 |
" | 46 | " | 75 | " | 20 | 3 |
" | 76 | " | 140 | " | 32 | 4 |
" | 141 | " | 250 | " | 50 | 6 |
Количество контролируемых точек на каждой отобранной полосе определяют в зависимости от общего числа участков длиной 100 мм по периметру полосы в соответствии с табл.7. При периметре, не кратном 100 мм, конечный участок длиной менее 100 мм принимается за один участок.
Контролируемая полоса считается годной, если число результатов измерения, не соответствующих требованиям пп.1.2, 1.3.1.1, 1.3.2.1, 1.3.3.1, менее браковочного числа, приведенного в табл.7.
Количество контролируемых точек в каждом отобранном рулоне определяют в соответствии с табл.8
Контролируемый рулон считается годным, если число результатов измерения, не соответствующих требованиям пп.1.2, 1.3.1.4, 1.3.2.7, 1.3.3.1, менее браковочного, приведенного в табл.8.
При получении неудовлетворительных результатов измерения хотя бы на одной из контролируемых полос или на одном из контролируемых рулонов лент партию бракуют.
Допускается изготовителю проводить сплошной контроль.
2.5. Допускается изготовителю контроль качества поверхности размеров полос и лент проводить в процессе производства.
2.6. Серповидность (пп.1.3.1.10 и 1.3.2.8) определяют на двух полосах или двух рулонах лент партии.
2.7. Для испытания на растяжение (временное сопротивление, предел текучести, относительное удлинение) отбирают по три полосы или по три рулона лент от каждых полных 3000 кг и менее.
Измерение предела текучести проводят по согласованию изготовителя с потребителем.
2.8. При получении неудовлетворительных результатов испытания хотя бы по одному показателю (пп.2.2, 2.6, 2.7) по нему проводят повторное испытание на удвоенной выборке, взятой от той же партии.
Результаты повторных испытаний распространяются на всю партию.
3. МЕТОДЫ КОНТРОЛЯ
3.1. Для анализа химического состава от каждой отобранной полосы или от каждого отобранного рулона ленты вырезают по одному образцу. Отбор и подготовку проб для определения химического состава проводят по ГОСТ 24231.
Анализ химического состава проводят по ГОСТ 1953.1 - ГОСТ 1953.12 или иным методом, обеспечивающим необходимую точность определения, установленную стандартом.
При возникновении разногласий в оценке химического состава анализ проводят по ГОСТ 1953.1 - ГОСТ 1953.12.
3.2. Проверку качества поверхности и кромки полос и лент проводят без применения увеличительных приборов.
3.3. Толщину полос или лент измеряют микрометром по ГОСТ 6507 или многооборотным индикатором по ГОСТ 9696, укрепленным в стойке С-II по ГОСТ 10197.
Толщину полос или лент измеряют на расстоянии не менее 100 мм от конца и не менее 10 мм от кромки. Для лент шириной 20 мм и менее измерения проводят посередине.
Толщину полосы или ленты измеряют на каждой отобранной полосе или на каждом отобранном рулоне ленты в точках, расположенных равномерно-случайно по периметру полосы или по длине рулона.
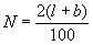
Количество полос в партии () вычисляют по формуле
,
где - масса партии, кг;
- плотность материала, г/см
;
- толщина полосы, мм;
- ширина полосы, мм;
- длина полосы, мм.
Количество контролируемых участков в полосе () вычисляют по формуле
.
Результаты измерения толщины полосы, не соответствующие табл.1, не должны отличаться от допускаемых более чем на половину поля предельного отклонения, кроме полос толщиной 1,0 и 1,2 мм, изготовляемых в соответствии с п.1.3.2.1, для которых допустимое отличие не должно быть более 0,04 мм.
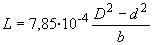
Длину ленты () в метрах для выбора контролируемых точек в рулоне по табл.8 вычисляют по формуле
,
где и
- соответственно наружный и внутренний диаметр рулона, измеряемый линейкой по ГОСТ 427, мм;
- толщина ленты, мм.
Результаты измерения толщины лент нормальной точности, не соответствующие требованиям, приведенным в табл.3, не должны отличаться от допускаемых более чем на половину поля предельного отклонения лент.
Результаты измерения толщины лент повышенной и высокой точности, не соответствующие приведенным в табл.3, не должны отличаться от допускаемых более чем на величину поля предельного отклонения лент.
3.4. Измерение ширины, длины и косины реза полос и ширины и длины лент проводят штангенциркулем по ГОСТ 166 или металлической линейкой по ГОСТ 427, или рулеткой по ГОСТ 7502*.
_______________
* На территории Российской Федерации документ не действует. Действует ГОСТ 7502-98. - Примечание изготовителя базы данных.
На каждой полосе делается одно измерение ширины на расстоянии не менее 100 мм от края полосы.
Измерение ширины ленты проводят на трех участках: с обоих концов и в средней части по три измерения на каждом участке на расстоянии не менее 1 м одно от другого.
Измерение косины реза проводят по ГОСТ 26877*.
_______________
* На территории Российской Федерации документ не действует. Действует ГОСТ 26877-2008, здесь и далее по тексту. - Примечание изготовителя базы данных.
3.5. Серповидность полос и лент измеряют по ГОСТ 26877 на любом участке полосы и ленты.
Серповидность может быть измерена другим методом, обеспечивающим требуемую точность измерения. В случае разногласий оценку серповидности проводят по ГОСТ 26877.
3.6. Для испытаний на растяжение от каждой отобранной полосы или каждого рулона ленты вырезают по одному образцу вдоль направления прокатки. Отбор образцов - по ГОСТ 24047.
Испытание на растяжение лент толщиной менее 0,5 мм проводят по ГОСТ 11701 на плоских образцах типа I или II, шириной 12,5 мм (), с начальной расчетной длиной (
) равной 4
.
При ширине лент 10 мм испытания проводят по ГОСТ 11701 на образцах с начальной расчетной длиной () равной 4
.
Испытание на растяжение полос и лент толщиной 0,5 и более до 3 мм проводят по ГОСТ 11701 на плоских образцах типа I или II с начальной расчетной длиной (), равной 11,3
, шириной 20 мм. Допускается ширина образцов 15 мм.
Испытание на растяжение полос толщиной 3 мм и более проводят по ГОСТ 1497 на плоских образцах типа I или II шириной 20 мм для полос толщиной до 7 мм включительно и шириной 30 мм для полос толщиной более 7 мм. Начальная расчетная длина образцов () равна 11,3
.
Допускается при измерении предела текучести применять те же образцы, что и для измерения временного сопротивления и относительного удлинения.
3.7. Допускается изготовителю по согласованию с потребителем применять другие средства и методы испытаний, обеспечивающие необходимую точность, установленную стандартом. В случае разногласий применяют средства измерения и методы контроля, установленные в п.3.2-3.5.
4. ТРАНСПОРТИРОВАНИЕ И ХРАНЕНИЕ
4.1. Полосы и ленты транспортируют всеми видами транспорта в крытых транспортных средствах в соответствии с правилами перевозки грузов, действующими на транспорте данного вида.
4.2. Допускается транспортировать полосы и ленты в контейнерах по ГОСТ 18477, ГОСТ 15102 и ГОСТ 20435 или повагонными отправками в пакетированном виде без упаковки в ящики.
4.3. Полосы и ленты хранят в закрытых помещениях, в распакованном виде в условиях, обеспечивающих их сохранность. При этих условиях хранения потребительские свойства полос и лент при хранении не изменяются.
ПРИЛОЖЕНИЕ 1 (справочное). ТЕОРЕТИЧЕСКАЯ МАССА 1 кв. м ПОЛОС И ЛЕНТ ИЗ ОЛОВЯННО-ФОСФОРИСТОЙ И ОЛОВЯННО-ЦИНКОВОЙ БРОНЗЫ
ПРИЛОЖЕНИЕ 1
Справочное
Теоретическая масса 1 м полос и лент из оловянно-фосфористой и оловянно-цинковой бронзы
Таблица 9
Толщина полос и лент, мм | Теоретическая масса 1 м |
0,10 | 0,88 |
0,12 | 1,06 |
0,15 | 1,32 |
0,20 | 1,76 |
0,25 | 2,20 |
0,30 | 2,64 |
0,35 | 3,08 |
0,40 | 3,52 |
0,45 | 3,96 |
0,50 | 4,40 |
0,60 | 5,28 |
0,65 | 5,72 |
0,70 | 6,16 |
0,80 | 7,04 |
0,90 | 7,92 |
1,0 | 8,80 |
1,20 | 10,56 |
1,50 | 13,20 |
1,60 | 14,08 |
1,70 | 14,96 |
1,80 | 15,84 |
2,00 | 17,60 |
2,50 | 22,0 |
3,00 | 26,4 |
3,5 | 30,8 |
4,0 | 35,2 |
5,0 | 44,0 |
6,0 | 52,8 |
6,5 | 57,2 |
8,0 | 70,4 |
10,0 | 88,0 |
Примечание. Теоретическая масса вычислена по номинальной толщине полос и лент. Плотность бронзы принята равной 8,8 г/см.
ПРИЛОЖЕНИЕ 2 (справочное). ОРИЕНТИРОВОЧНЫЕ ДАННЫЕ ПРЕДЕЛА УПРУГОСТИ, МИКРОТВЕРДОСТИ И МОДУЛЯ УПРУГОСТИ
ПРИЛОЖЕНИЕ 2
Справочное
Таблица 10
Марка | Состояние материала | Предел упругости, | Микротвердость, измеряемая на приборе ПМТ-3 при нагрузке 200 г, МПа (кгс/мм |
БрОФ6,5-0,15 | Мягкое | - | Не менее 637 (65) |
Полутвердое | Не менее 147 (15) | 1078-1666 | |
Твердое | 313,6-470,4 | 1666-2156 | |
Особотвердое | Свыше 470,4 | Свыше 2156 | |
БрОЦ4-3 | Мягкое | - | Не менее 588 (60) |
Полутвердое | Не менее | 822-1666 | |
Твердое | 294-441 | 1666-2058 | |
Особотвердое | Свыше 441 | Свыше 2053 |
Примечание. Модуль упругости, измеренный динамическим методом, , МПа (кгс/мм
), составляет 93100-122500 (9500-12500). Минимальное значение модуля упругости относится к образцам, вырезанным вдоль направления прокатки, максимальное - к образцам, вырезанным поперек направления прокатки.
Электронный текст документа
подготовлен АО "Кодекс" и сверен по:
официальное издание
М.: Стандартинформ, 2005
Разместите заказ
сами сделают вам предложение
