ГОСТы сталей. ГОСТ 1595-90
ГОСТ 1595-90
Группа В53
ГОСУДАРСТВЕННЫЙ СТАНДАРТ СОЮЗА ССР
ПОЛОСЫ И ЛЕНТЫ ИЗ АЛЮМИНИЕВО-МАРГАНЦЕВОЙ БРОНЗЫ
Технические условия
Aluminium-manganese bronze strips and ribbons.
Specifications
ОКП 18 4600
Срок действия с 01.01.91
до 01.01.96
________________________________
* Ограничение срока действия снято
по протоколу N 5-94 Межгосударственного Совета
по стандартизации, метрологии и сертификации
(ИУС N 11-12, 1994 год). - Примечание "КОДЕКС".
ИНФОРМАЦИОННЫЕ ДАННЫЕ
1. РАЗРАБОТАН И ВНЕСЕН Министерством металлургии СССР
РАЗРАБОТЧИКИ
Ю.М.Лейбов, канд. техн. наук (руководитель темы); О.М.Зуева, канд. техн. наук
2. УТВЕРЖДЕН И ВВЕДЕН В ДЕЙСТВИЕ Постановлением Государственного комитета СССР по управлению качеством продукции и стандартам от 14.03.90 N 420
3. Стандарт соответствует международным стандартам - ИСО 3487 в части холоднокатаных лент толщиной от 0,4 до 1 мм и ИСО 3486 в части холоднокатаных полос толщиной от 0,1 до 7,0 мм
4. ВЗАМЕН ГОСТ 1595-71
5. ССЫЛОЧНЫЕ НОРМАТИВНО-ТЕХНИЧЕСКИЕ ДОКУМЕНТЫ
Обозначение НТД, на который дана ссылка | Номер пункта, подпункта |
ГОСТ 166-89 | 3.3 |
ГОСТ 427-75 | 3.2 |
ГОСТ 1497-84 | 3.7 |
ГОСТ 2228-81 | 1.5.2 |
ГОСТ 2991-85 | 1.5.2 |
ГОСТ 3282-74 | 1.5.2, 1.5.4 |
ГОСТ 3560-73 | 1.5.2, 1.5.4 |
ГОСТ 5244-79 | 1.5.2 |
ГОСТ 6507-90 | 3.2 |
ГОСТ 7376-89 | 1.5.2 |
ГОСТ 7502-89 | 3.3 |
ГОСТ 8273-75 | 1.5.2 |
ГОСТ 8828-89 | 1.5.2 |
ГОСТ 9557-87 | 1.5.4 |
ГОСТ 9569-79 | 1.5.2 |
ГОСТ 9696-82 | 3.2 |
ГОСТ 10198-91 | 1.5.2 |
ГОСТ 10354-82 | 1.5.2 |
ГОСТ 11701-84 | 3.7 |
ГОСТ 14192-77 | 1.5.6 |
ГОСТ 15027.1-77 - ГОСТ 15027.4-77 | 3.8 |
ГОСТ 15027.12-77 | 3.8 |
ГОСТ 15102-75 | 4.2 |
ГОСТ 15846-79 | 1.5.2 |
ГОСТ 18175-78 | 1.3.1 |
ГОСТ 18242-72 | 2.4 |
ГОСТ 18321-73 | 2.4 |
ГОСТ 18477-79 | 4.2 |
ГОСТ 20435-75 | 4.2 |
ГОСТ 21140-88 | 1.5.2 |
ГОСТ 21650-76 | 1.5.3 |
ГОСТ 24047-80 | 3.7 |
ГОСТ 24231-80 | 3.8 |
ГОСТ 24597-81 | 1.5.3 |
ГОСТ 26877-91 | 3.5, 3.6 |
ГОСТ 28798-90 | 3.2 |
6. ПЕРЕИЗДАНИЕ
Настоящий стандарт распространяется на горячекатаные, холоднокатаные полосы и ленты из алюминиево-марганцевой бронзы марки БрАМц9-2, применяемые для изготовления износостойких деталей с высокими антикоррозионными свойствами.
1. ТЕХНИЧЕСКИЕ ТРЕБОВАНИЯ
1. ТЕХНИЧЕСКИЕ ТРЕБОВАНИЯ
1.1. Полосы и ленты изготовляют в соответствии с требованиями настоящего стандарта по технологическому регламенту, утвержденному в установленном порядке.
1.2. Основные параметры и размеры
1.2.1. Толщина горячекатаных полос и предельные отклонения по толщине должны соответствовать приведенным в табл.1.
Таблица 1
мм
Толщина горячекатаных полос | Пред. откл. |
6,0 | -0,5 |
6,3 | |
7,0 | |
8,0 | -0,55 |
9,0 | -0,60 |
10,0 | |
11,0 | -0,70 |
12,0 | -0,80 |
12,5 | |
16,0 | -1,20 |
20,0 | -2,0 |
22,0 |
1.2.2. Ширина горячекатаных полос и предельные отклонения по ширине в зависимости от толщины должна соответствовать приведенным в табл.2.
Таблица 2
мм
Ширина горячекатаных полос | Предельные отклонения | |
от 6,0 до 12,5 включ. | от 16,0 до 22,0 включ. | |
100, 120, 130, 140, 150, 160, 175, 200 | -5 | -6 |
250, 300 | -8 | |
1.2.3. Толщина холоднокатаных полос и предельные отклонения по толщине должны соответствовать приведенным в табл.3.
Таблица 3
мм
Толщина холоднокатаных полос | Пред. откл. |
1,00 | -0,08 |
1,25 | -0,09 |
1,40 | -0,10 |
1,50 | |
1,60 | -0,11 |
1,80 | |
2,00 | |
2,25 | -0,12 |
2,50 | |
2,80 | -0,14 |
3,00 | |
3,15 | |
3,55 | -0,18 |
4,00 | |
4,50 | -0,20 |
5,00 | |
5,50 | -0,25 |
6,00 | |
6,30 | |
7,00 | |
8,00 | -0,30 |
9,00 | -0,35 |
10,00 | -0,40 |
11,00 | -0,50 |
12,00 | |
12,50 | -0,55 |
1.2.4. Ширина холоднокатаных полос и предельные отклонения по ширине в зависимости от толщины должны соответствовать приведенным в табл.4.
Таблица 4
мм
Ширина холоднокатаных полос | Предельные отклонения при толщине полос | ||
от 1,0 до 3,0 включ. | св. 3,0 до 5,5 включ. | св. 5,5 до 12,5 включ. | |
50, 55, 70, 75, 80, 100 | -2 | -3 | - |
105, 115, 125, 130, 140, 150, 200 | -3 | -4 | -5 |
210, 220, 240, 250, 270, 275, 280, 300 | -4 | -5 | |
1.2.5. Полосы изготовляют длиной от 1000 до 1500 мм.
Полосы изготовляют мерной и немерной длины.
Полосы мерной длины изготовляют с предельными отклонениями по длине минус 15 мм.
Допускается изготовлять полосы длиной от 500 до 1000 мм в количестве не более 10% массы партии.
1.2.6. Толщина лент и предельные отклонения по толщине должны соответствовать приведенным в табл.5.
Таблица 5
мм
Толщина | Пред. откл. |
0,40 | -0,04 |
0,45 | -0,05 |
0,50 | |
0,55 | -0,06 |
0,60 | |
0,65 | |
0,70 | |
0,75 | |
0,80 | -0,07 |
0,85 | |
0,90 | |
0,95 | |
1,00 | -0,08 |
1.2.7. Ширина лент и предельные отклонения по ширине должны соответствовать приведенным в табл.6.
Таблицa 6
мм
Ширина | Пред. откл. |
10, 18, 20, 30, 40, 50, 55, 70, 75, 80, 100, 110, 120, 130, 140, 150, 175 | -0,5 |
200, 220, 240, 250, 300 | -0,8 |
Примечание. Ленты толщиной 0,60 мм и более изготовляют шириной от 20 до 300 мм.
1.2.8. Длина ленты должна быть не менее 4 м.
Допускается изготовлять ленты длиной не менее 2 м в количестве не более 10% массы партии.
1.2.9. Теоретическая масса 1 м полос и лент приведена в приложении 1.
Условные обозначения полос и лент проставляют по схеме:

при следующих сокращениях:
способ изготовления:
горячекатаная - Г
холоднокатаная - Д
Форма сечения:
прямоугольная - ПР
состояние:
твердое - Т
мягкое - М
Длина (мерность):
мерная - МД
немерная - НД
Состояние указывают для холоднокатаных полос и лент.
Мерность указывают для полос. Для лент указывают только немерную длину.
Вместо отсутствующих данных ставится знак X, кроме обозначения длины (мерность).
Примеры условных обозначений:
Полоса горячекатаная толщиной 8,0 мм, шириной 200 мм, немерной длины из бронзы марки БрАМц9-2 по ГОСТ 1595-90:
Полоса ГПРХХ 8,0х200 НД БрАМц9-2 ГОСТ 1595-90
Полоса холоднокатаная твердая толщиной 2,0 мм, шириной 100 мм, длиной 1000 мм из бронзы марки БрАМц9-2 по ГОСТ 1595-90:
Полоса ДПРХТ 2,0х100х1000 МД БрАМц9-2 ГОСТ 1595-90
Лента холоднокатаная мягкая, толщиной 0,60 мм, шириной 50 мм из бронзы марки БрАМц9-2 по ГОСТ 1595-90:
Лента ДПРХМ 0,60х50 НД БрАМц9-2 ГОСТ 1595-90
1.3. Характеристики
1.3.1. Полосы и ленты изготовляют из алюминиево-марганцевой бронзы марки БрАМц9-2 с химическим составом по ГОСТ 18175.
1.3.2. Полосы изготовляют горячекатаными и холоднокатаными, ленты - холоднокатаными.
По состоянию материала холоднокатаные полосы и ленты изготовляют мягкими и твердыми.
1.3.3. Поверхность полос и лент должна быть гладкой, чистой, без трещин, пузырей, инородных включений, расслоений, раковин.
1.3.4. Полосы и ленты должны быть ровно обрезаны, без заусенцев.
1.3.5. Полосы должны быть прямыми.
1.3.6. Характеристики базового исполнения
1.3.6.1. На поверхности допускаются отдельные мелкие дефекты, отпечатки от валков, плены, царапины, не выводящие полосы и ленты при контрольной зачистке за предельные отклонения по толщине.
На поверхности допускаются цвета побежалости и покраснения.
На поверхности горячекатаных полос толщиной 12,5-22 мм допускаются инородные включения, раковины и отпечатки, не выводящие полосы за предельные отклонения по толщине.
1.3.6.2. В плоскости реза на полосах толщиной от 5 до 22 мм допускаются сколы от ножа.
Допускаемая прямоугольность (косина реза) не должна выводить мерные полосы за предельные отклонения по ширине и длине.
1.3.6.3. Прогиб полос не должен превышать 1 мм на каждые 100 мм ширины и 20 мм на 1 м длины.
1.3.6.4. Механические свойства полос и лент должны соответствовать требованиям, приведенным в табл.7.
Таблица 7
Способ изготовления | Состояние материала | Временное сопротивление | Относительное удлинение |
Горячекатаные | - | 440 (45) | 15 |
Холоднокатаные | Мягкие | 440 (45) | 18 |
Твердые | 590 (60) | 5 |
1.3.7. Характеристики исполнения, установленные по требованию потребителя
1.3.7.1. В партии полос или лент не допускается короткомер.
1.3.7.2. Допускается требования к качеству поверхности и кромки устанавливать по эталонам, утвержденным в установленном порядке.
1.3.8. Характеристики исполнения, устанавливаемые по согласованию потребителя и изготовителя
1.3.8.1. Полосы и ленты изготовляют промежуточных размеров по толщине и ширине с предельными отклонениями для следующего большего размера, приведенными в табл.1-6.
1.3.8.2. Полосы и ленты изготовляют длиной, превышающей приведенную в пп.1.2.5 и 1.2.8. При этом предельные отклонения по толщине и ширине полос и лент и требования к качеству поверхности устанавливают по согласованию потребителя с изготовителем.
1.3.8.3. Ленты изготовляют с регламентированной серповидностью. Серповидность устанавливают по согласованию потребителя и изготовителя.
1.3.8.4. В бронзе марки БрАМц9-2 по согласованию потребителя с изготовителем допускается ограниченное содержание алюминия в пределах 8-9,2%.
На ярлыках и в документе о качестве для маркировки полос и лент марки БрАМц9-2 с ограниченным содержанием алюминия допускается применять буквенное обозначение - БрС.
1.4. Маркировка
1.4.1. В каждой пачке полос или полосе и к каждому рулону лент должен быть прочно прикреплен или приклеен на видном месте ярлык с указанием:
товарного знака или наименования и товарного знака предприятия-изготовителя;
условного обозначения полос или лент;
номера партии;
штампа отдела технического контроля.
На конце каждой полосы допускается наносить маркировку несмываемой водой краской по нормативно-технической документации.
1.4.2. Транспортная маркировка - по ГОСТ 14192 с нанесением манипуляционного знака "Боится сырости".
Место нанесения, способ исполнения транспортной маркировки, способ крепления ярлыка - по ГОСТ 14192.
1.5. Упаковка
1.5.1. Ленты должны быть свернуты в рулоны, а полосы сложены в пачки. Один рулон может состоять из нескольких отрезков лент.
Намотка должна исключать пластическое изменение формы рулона под действием силы тяжести.
1.5.2. Упаковка должна обеспечить защиту полос и лент от механических повреждений, воздействия влаги и активных химических веществ в процессе транспортирования и хранения.
В качестве упаковочных средств и материалов могут применяться:
ящики по ГОСТ 2991, ГОСТ 10198;
доски, деревянные щиты по нормативно-технической документации;
бумага по ГОСТ 2228, ГОСТ 8273, ГОСТ 9569, ГОСТ 8828;
деревянная стружка по ГОСТ 5244;
гофрированный картон по ГОСТ 7376;
лента по ГОСТ 3560;
проволока по ГОСТ 3282;
пленка полиэтиленовая по ГОСТ 10354;
нетканые материалы по нормативно-технической документации;
другие виды упаковки и упаковочных материалов по нормативно-технической документации.
Размеры ящиков - по ГОСТ 21140 или нормативно-технической документации.
Упаковка продукции для районов Крайнего Севера или приравненных к ним районов - по ГОСТ 15846.
1.5.3. Масса грузового места не должна превышать 1250 кг.
Допускается полосы толщиной более 3 мм не связывать в пачки, если масса отдельной полосы превышает 40 кг.
Грузовые места укрупняют в транспортные пакеты массой не более 1250 кг.
Средства скрепления грузовых мест в транспортные пакеты - по ГОСТ 21650, масса и габаритные размеры транспортных пакетов - по ГОСТ 24597.
1.5.4. Пакетирование проводят на поддонах по ГОСТ 9557 или без поддонов с использованием брусков сечением не менее 50х50 мм, длиной, равной ширине грузового места. Транспортные пакеты должны быть обвязаны не менее чем в двух местах или крестообразно проволокой диаметром не менее 3 мм по ГОСТ 3282 или лентой размерами не менее 0,5х30 мм по ГОСТ 3560. Концы обвязочной проволоки скрепляют скруткой не менее пяти витков, ленты - в замок.
1.5.5. В каждый ящик или контейнер должен быть вложен упаковочный лист, в котором указывают данные, перечисленные в п.1.4.1.
2. ПРИЕМКА
2.1. Полосы и ленты принимают партиями. Партия должна состоять из полос и лент одного размера, одного способа изготовления (для полос), одного состояния материала и должна быть оформлена одним документом о качестве, содержащим:
товарный знак или наименование и товарный знак предприятия-изготовителя;
условное обозначение полос и лент;
результаты механических испытаний (по требованию потребителя);
массу нетто партии;
номер партии;
штамп отдела технического контроля.
Масса партии должна быть не более 3000 кг.
2.2. Химический состав определяют на трех полосах и трех рулонах лент, взятых от партии.
Допускается предприятию-изготовителю отбирать пробы от расплавленного металла.
2.3. Контролю качества поверхности, ширины и длины подвергают каждую полосу и каждый рулон лент партии.
Контролю прямоугольности (косины реза) подвергают каждую мерную полосу.
2.4. Для контроля толщины полосы и ленты от партии отбирают полосы и рулоны лент "вслепую" методом наибольшей объективности по ГОСТ 18321. План контроля - по ГОСТ 18242. Количество контролируемых полос и рулонов лент отбирают в соответствии с табл.8.
Таблица 8
шт.
Количество полос | Количество контролируемых полос |
2-8 | 2 |
9-15 | 3 |
16-25 | 5 |
26-50 | 8 |
51-90 | 13 |
91-150 | 20 |
151-280 | 32 |
281-500 | 50 |
501-1200 | 80 |
1201-3200 | 125 |
Количество контролируемых точек на каждой отобранной полосе определяют в зависимости от общего количества участков длиной 100 мм по периметру полосы в соответствии с табл.9. Пря длине периметра, не кратной 100 мм, конечный участок длиной менее 100 мм принимают за один участок.
Таблица 9
шт.
Количество участков | Количество контролируемых точек | Браковочное число |
10-15 | 5 | 1 |
16-25 | 8 | 2 |
26-50 | 8 | 2 |
51-90 | 13 | 2 |
91-150 | 20 | 3 |
151-280 и более | 32 | 4 |
Отобранные полосы считаются годными, если количество результатов измерений, не соответствующих табл.1, 3, менее браковочного числа, приведенного в табл.9.
Количество контролируемых точек в каждом отобранном рулоне определяют в соответствии с табл.10.
Таблица 10
Длина ленты в рулоне, м | Количество контролируемых точек | Браковочное число |
От 1 до 4 включ. | 2 | 1 |
Св. 4 до 7 " | 3 | 1 |
" 7 " 12 " | 5 | 1 |
" 12 " 75 " | 8 | 2 |
" 75 " 140 " | 13 | 2 |
" 140 " 250 " | 20 | 3 |
Отобранные рулоны лент считаются годными, если число результатов измерений, не соответствующих табл.5, менее браковочного числа, приведенного в табл.10.
При получении неудовлетворительного результата на одной из отобранных полос или на одном из отобранных рулонов лент допускается изготовителю контролировать каждый рулон или каждую полосу партии.
Контроль толщины полосы или лент допускается изготовителю проводить в процессе производства.
2.5. Допускается изготовителю контроль качества поверхности и размеров проводить в процессе производства.
2.6. Серповидность (п.1.3.8.3) определяют на двух рулонах лент от партии.
2.7. Прогиб проверяют на двух полосах от партии.
2.8. Для испытания на растяжение (временное сопротивление, относительное удлинение) от партии отбирают три полосы и три рулона лент от партии.
2.9. При получении неудовлетворительных результатов испытаний хотя бы по одному показателю (пп.2.2, 2.6, 2.7, 2.8) по нему проводят повторные испытания на удвоенной выборке, взятой от той же партии.
Результаты повторных испытаний распространяют на всю партию.
3. МЕТОДЫ КОНТРОЛЯ
3.1. Поверхность полос и лент осматривают без применения увеличительных приборов.
3.2. Толщину полосы или ленты измеряют микрометром по ГОСТ 6507, измерительной прижимной головкой по ГОСТ 28798 или индикатором по ГОСТ 9696.
Толщину полосы и ленты измеряют на расстоянии не менее 100 мм от конца и не менее 10 мм от кромки. Для лент шириной 200 мм и менее измерение проводят посередине.
Толщину полос и лент контролируют статистическим методом, обеспечивающим заданную толщину полос и лент с вероятностью 96% (=4%).
Толщину полосы или ленты измеряют на каждой отобранной полосе или на каждом отобранном рулоне ленты в точках, расположенных равномерно-случайно по периметру полосы или по длине рулона.
Количество полос в партии () вычисляют по формуле
,
где - масса партии, кг;
- толщина полосы, мм;
- ширина полосы, мм;
- длина полосы, мм;
- плотность материала, г/см
.
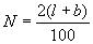
Количество контролируемых участков в полосе () вычисляют по формуле
.
Результаты измерения толщины полосы, не соответствующие табл.1 и 3, не должны отличаться от допускаемых более чем на половину поля предельного отклонения.
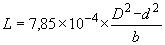
Длину ленты () в метрах для выбора количества контролируемых точек в рулоне по табл.9 вычисляют по формуле
,
где и
- соответственно наружный и внутренний диаметр рулона, измеряемый линейкой по ГОСТ 427, мм;
- толщина ленты, мм.
Результаты измерения толщины ленты, не соответствующие требованиям табл.5, не должны отличаться от допускаемых более чем на половину поля предельного отклонения лент.
3.3. Ширину полос и лент измеряют штангенциркулем по ГОСТ 166, длину и прямоугольность (косину реза) полос и длину лент - рулеткой по ГОСТ 7502.
Ширину лент и полос измеряют на трех участках:
с обоих концов и в средней части по три измерения на каждом участке на расстоянии не менее 1 м один от другого.
3.4. Допускается изготовителю контролировать толщину, ширину и прямоугольность полос и лент другими средствами измерения, обеспечивающими необходимую точность. В случае разногласий оценку проводят методом, указанным в стандарте.
3.5. Серповидность лент измеряют по ГОСТ 26877 на любом участке ленты.
Серповидность может быть измерена другим методом, обеспечивающим требуемую точность измерения. В случае разногласий в оценке серповидности его проводят по ГОСТ 26877.
3.6. Прогиб полос измеряют по ГОСТ 26877 один раз на любом участке отобранной полосы.
3.7. Для испытаний на растяжение от каждой отобранной полосы или каждого отобранного рулона лент вырезают по одному образцу вдоль направления прокатки. Отбор образцов для испытаний на растяжение - по ГОСТ 24047.
Испытание на растяжение полос и лент толщиной не более 3 мм проводят на плоских образцах типа I или II, шириной 10 мм () с начальной расчетной длиной (
) 5,65
по ГОСТ 11701.
Испытание на растяжение полос толщиной 3 мм и более проводят по ГОСТ 1497 на плоских образцах типов I и II шириной 20 мм для полос толщиной до 7 мм включительно и шириной 30 мм - для полос толщиной более 7 мм. Начальная расчетная длина образцов () равна 5,65
.
Допускается испытание на растяжение проводить по ГОСТ 11701 для лент толщиной до 0,5 мм включительно на плоских образцах шириной 12,5 мм с начальной расчетной длиной 4
, для лент и полос толщиной свыше 0,5 до 2,8 мм включительно на плоских образцах шириной
, равной 20 мм, с начальной расчетной длиной
, равной 11,
3 .
3.8. Для анализа химического состава от каждой отобранной полосы или каждого отобранного рулона ленты вырезают по одному образцу. Отбор и подготовка проб для определения химического состава - по ГОСТ 24231.
Анализ химического состава проводят по ГОСТ 15027.1 - ГОСТ 15027.4 и ГОСТ 15027.12 или иным методом, обеспечивающим необходимую точность определения, установленную стандартом.
При разногласиях в оценке химического состава анализ проводят по ГОСТ 15027.1 - ГОСТ 15027.4 и ГОСТ 15027.12.
4. ТРАНСПОРТИРОВАНИЕ И ХРАНЕНИЕ
4.1. Полосы и ленты транспортируют всеми видами транспорта в крытых транспортных средствах в соответствии с правилами перевозки грузов, действующими на транспорте данного вида.
4.2. Допускается транспортировать полосы и ленты в контейнерах по ГОСТ 18477, ГОСТ 15102 и ГОСТ 20435 или повагонными отправками в пакетированном виде без упаковки в ящики.
4.3. Полосы и ленты хранят в закрытых помещениях в распакованном виде в условиях, обеспечивающих их сохранность. При этих условиях хранения потребительские свойства полос и лент при хранении не изменяются.
ПРИЛОЖЕНИЕ (справочное). ТЕОРЕТИЧЕСКАЯ МАССА 1 кв. м ПОЛОС И ЛЕНТ
ПРИЛОЖЕНИЕ
Справочное
ТЕОРЕТИЧЕСКАЯ МАССА 1 м ПОЛОС И ЛЕНТ
Таблица 11
Толщина, мм | Теоретическая масса 1 м |
Горячекатаные полосы | |
6,0 | 43,87 |
6,3 | 46,16 |
7,0 | 51,50 |
8,0 | 58,38 |
10,0 | 74,01 |
11,0 | 81,25 |
12,0 | 88,50 |
12,5 | 92,32 |
20,0 | 144,4 |
22,0 | 159,6 |
Холоднокатаные полосы и ленты | |
0,40 | 2,90 |
0,45 | 3,24 |
0,50 | 3,62 |
0,55 | 3,97 |
0,60 | 4,35 |
0,65 | 4,73 |
0,70 | 5,11 |
0,75 | 5,49 |
0,80 | 5,84 |
0,85 | 5,99 |
0,90 | 6,60 |
0,95 | 6,94 |
1,00 | 7,32 |
1,25 | 9,19 |
1,4 | 10,30 |
1,5 | 11,06 |
1,6 | 11,79 |
1,8 | 13,31 |
2,0 | 14,84 |
2,25 | 16,70 |
2,5 | 18,61 |
2,8 | 20,82 |
3,0 | 22,35 |
3,15 | 23,50 |
3,55 | 26,39 |
4,0 | 29,83 |
4,5 | 33,57 |
5,0 | 37,38 |
5,5 | 41,01 |
6,0 | 44,83 |
6,3 | 47,12 |
7,0 | 52,46 |
8,0 | 59,89 |
9,0 | 67,33 |
10,0 | 74,77 |
11,0 | 82,02 |
12,0 | 89,65 |
12,5 | 93,28 |
Примечание. Теоретическая масса вычислена по номинальной толщине полос и лент с исключением из нее 50% предельных отклонений. Плотность бронзы принята равной 7,63 кг/дм.
Текст документа сверен по:
официальное издание
Сортамент цветных металлов.
Часть 1. Том 1. Плоский прокат: Сб. ГОСТов. -
М.: Издательство стандартов, 1993
Разместите заказ
сами сделают вам предложение
