ГОСТы сталей. ГОСТ Р 50424-92
ГОСТ Р 50424-92
Группа В39
ГОСУДАРСТВЕННЫЙ СТАНДАРТ РОССИЙСКОЙ ФЕДЕРАЦИИ
СТАЛЬ И ЧУГУН
Метод определения кальция
Steel and cast iron. Method for determination of calcium
OКC 77.080.01
ОКСТУ 0809
Дата введения 1994-07-01
ИНФОРМАЦИОННЫЕ ДАННЫЕ
1 РАЗРАБОТАН И ВНЕСЕН Техническим комитетом по стандартизации ТК 145 "Методы контроля металлопродукции"
2 УТВЕРЖДЕН И ВВЕДЕН В ДЕЙСТВИЕ Постановлением Госстандарта России от 2 декабря 1992 г. N 1529
3 ВВЕДЕН ВПЕРВЫЕ
4 ССЫЛОЧНЫЕ НОРМАТИВНО-ТЕХНИЧЕСКИЕ ДОКУМЕНТЫ
Обозначение НТД, на который дана ссылка | Номер раздела |
ГОСТ 4517-87 | 2 |
ГОСТ 11125-84 | 2 |
ГОСТ 14261-77 | 2 |
ГОСТ 19908-90 | 2 |
ГОСТ 28473-90 | 1 |
ТУ 6-09-895-85 | 2 |
ТУ 6-09/3678-86 | 2 |
5 ПЕРЕИЗДАНИЕ
Настоящий стандарт устанавливает атомно-абсорбционный (при массовых долях от 0,001 до 0,20%) метод определения кальция в сталях и чугуне.
Метод основан на растворении пробы в хлористо-водородной, азотной, фтористо-водородной и хлорной кислотах; добавлении растворов хлористого калия и нитрата лантана в качестве спектрохимического буфера; распылении испытуемого раствора в пламя динитрооксидацетилен; спектрометрическом измерении значения поглощения излучения, испускаемого лампой с полым катодом, свободными атомами кальция при длине волны 422,7 нм.
1 Общие требования
1 Общие требования
Общие требования к методам анализа - ГОСТ 28473.
2 Аппаратура, реактивы и растворы
Атомно-абсорбционный спектрометр.
Лампа с полым катодом для определения кальция.
Баллоны с динитрооксидом и ацетиленом, не содержащими воды, масла и кальция (ацетилен очищают пропусканием через гератоль или другим подходящим способом).
Стаканы, колбы, воронки из прозрачного кварцевого стекла по ГОСТ 19908.
Стаканы из фторопласта вместимостью 250-300 см.
Колбы мерные из фторопласта 4МБ вместимостью 100 см по ТУ 95-337.
Цилиндры из фторопласта 4МБ.
Примечание - Вся используемая посуда должна быть тщательно промыта горячей хлористоводородной кислотой (1:2), а затем бидистиллированной водой (водопроводную воду для промежуточного полоскания не использовать).
Обычное лабораторное оборудование.
Вода бидистиллированная по ГОСТ 4517 или эквивалентной степени чистоты (хранят в сосуде из полиэтилена).
Железо особо чистое, содержащее не более 0,0005% кальция.
Диэтиловый эфир (этиловый эфир медицинский).
Кислота хлористо-водородная по ГОСТ 14261, дополнительно очищенная и разбавленная 1:2 и 1:9.
Способ очистки: в эксикатор наливают хлористо-водородную кислоту, на подставку помещают стакан из полиэтилена или фторопласта, наполненный бидистиллированной или деионизированной водой.
Соотношение объемов воды и кислоты должно быть 1:6. Эксикатор плотно закрывают пришлифованной крышкой. Примерно через четыре дня получают раствор хлористо-водородной кислоты, свободной от примесей кальция, с плотностью 1,15. Хранят в полиэтиленовой бутылке.
Кислота азотная, ос.ч. по ГОСТ 11125.
Кислота хлорная, ос.ч.
Кислота фтористо-водородная, ос.ч., высшей категории.
Калия хлорид, ос.ч. по ТУ 6-09-3678.
Лантана нитрат, ос.ч.
Спектрохимический буфер: растворяют 95,34 г хлорида калия и 62,35 г нитрата лантана шестиводного (La(NO)
x6H
O) в воде, разбавляют до 1000 см
и перемешивают. Хранят раствор в полиэтиленовой бутыли.
Кальция карбонат, ос.ч. по ТУ 6-09-895.
Стандартные растворы кальция
Раствор А: 0,2497 г карбоната кальция, высушенного при 100 °С в течение 1 ч и охлажденного в эксикаторе до комнатной температуры, помещают в стакан, осторожно добавляют 10 см хлористоводородной кислоты (1:2), накрывают стакан часовым стеклом и растворяют при умеренном нагревании. Раствор охлаждают, переносят в мерную колбу вместимостью 1000 см
, доливают до метки водой и перемешивают. Хранят стандартный раствор в герметично закрытой полиэтиленовой посуде.
1 см раствора А содержит 100 мкг кальция.
Раствор Б: помещают 10,0 см раствора А в мерную колбу вместимостью 100 см
, добавляют 5 см
хлористо-водородной кислоты (1:9), разбавляют до метки водой и перемешивают. Раствор готовят непосредственно перед употреблением.
1 см раствора Б содержит 10 мкг кальция.
Примечание - Для подготовки всей серии анализируемых образцов, контрольного опыта и градуировочных растворов используют реактивы, включая воду, из одной партии.
3 Проведение анализа
3.1 Навеску пробы, предварительно промытую в диэтиловом (этиловом) эфире и высушенную, массой 1,000 г помещают во фторопластовый стакан, добавляют 15 см хлористо-водородной кислоты, накрывают фторопластовой крышкой и растворяют при умеренном нагревании основную массу навески, затем добавляют 3-5 см
азотной кислоты. После прекращения бурного вспенивания добавляют 5 см
хлорной кислоты и 3-5 см
фтористо-водородной. Продолжают умеренное нагревание до выделения густых белых паров хлорной кислоты.
Хлорная кислота может взрываться в присутствии аммиака, паров азотистой кислоты и любых органических реактивов.
Раствор охлаждают, обмывают стенки водой и продолжают нагревание до прекращения выделения паров хлорной кислоты. Соли растворяют в 5 см хлористо-водородной кислоты, добавляют 20 см
воды, нагревают до кипения. Горячий раствор фильтруют в мерную колбу вместимостью 100 см
через фильтр средней плотности предварительно промытый 5-6 раз горячей хлористо-водородной кислотой (1:2) и несколько раз бидистиллированной водой. Осадок на фильтре промывают горячей хлористо-водородной кислотой (1:9), добавляют ее небольшими порциями до полного отмывания фильтра от солей железа, затем промывают фильтр 3 раза горчей водой и отбрасывают. В колбу, если ожидаемое содержание кальция не превышает 0,01%, добавляют 10 см
спектрохимического буфера, доливают водой до метки и перемешивают. В случае, если ожидаемое содержание кальция превышает 0,01%, раствор в колбе доливают водой до метки и перемешивают. Затем отбирают аликвотную часть 10 см
в мерную колбу вместимостью 100 см
, добавляют 10 см
спектрохимического буфера, доливают водой до метки и перемешивают.
Параллельно с определением, выполняя все операции методики и используя те же количества реактивов, проводят контрольный
опыт.
3.2 Приготовление градуировочных растворов при массовой доле кальция до 0,01%
Помещают семь кварцевых стаканов вместимостью 250-300 см по 1,000 г железа, добавляют по 15 см
хлористо-водородной кислоты и 5 см
азотной кислоты. После полного растворения железа раствор выпаривают до влажных солей и растворяют соли в 5 см
хлористо-водородной кислоты. Добавляют 20 см
воды, доводят до кипения, затем охлаждают и переносят в мерную колбу вместимостью 100 см
. Добавляют стандартный раствор Б в соответствии с таблицей 1, 10 см
спектрохимического буфера, доливают до метки водой и перемешивают.
Таблица 1
Интервал определяемых содержаний кальция, % | Объем стандартного раствора Б, см | Соответствующая концентрация кальция, мкг/см | Массовая доля кальция, %, | |
1,0 | 0,1 | |||
От 0,001 до 0,01 включ. | 0* | 0 | 0 | 0 |
1,0 | 0,1 | 0,001 | 0,01 | |
2,0 | 0,2 | 0,002 | 0,02 | |
4,0 | 0,4 | 0,004 | 0,04 | |
Св. 0,01 до 0,10 включ. | 6,0 | 0,6 | 0,006 | 0,06 |
8,0 | 0,8 | 0,008 | 0,08 | |
10,0 | 1,0 | 0,01 | 0,1 | |
" 0,10 " 0,20 включ. | 0* | 0 | 0 | 0 |
10,0 | 1,0 | - | 0,10 | |
12,0 | 1,2 | - | 0,12 | |
14,0 | 1,4 | - | 0,14 | |
16,0 | 1,6 | - | 0,16 | |
18,0 | 1,8 | - | 0,18 | |
20,0 | 2,0 | - | 0,20 | |
* Нулевой раствор. | ||||
3.3 Приготовление градуировочных растворов при массовой доле кальция свыше 0,01%
Помещают семь кварцевых стаканов вместимостью 250-300 см по 1,000 г железа, добавляют по 15 см
хлористо-водородной кислоты и 5 см
азотной кислоты. После полного растворения железо выпаривают до влажных солей и растворяют соли в 5 см
хлористо-водородной кислоты. Добавляют 20 см
воды, доводят до кипения, затем охлаждают и переносят в мерную колбу вместимостью 100 см
. Доливают до метки водой и перемешивают. Отбирают аликвотную часть 10 см
в мерную колбу вместимостью 100 см
, добавляют стандартный раствор Б в соответствии с таблицей 1, добавляют 10 см
спектрохимического буфера, доливают до метки водой и перемешива
ют.
3.4 Подготовка прибора к измерению
Включение и настройку атомно-абсорбционного спектрометра проводят согласно инструкции, прилагаемой к прибору.
Основные инструментальные параметры
Аналитическая линия - 422,7 нм.
Пламя - динитрооксид-ацетилен. Прозрачное, стехиометрическое с высотой красного конуса 10-20 мм, отрегулированное на максимальное атомное поглощение излучения атомами кальция.
Ток лампы - в соответствии с инструкцией или 20-25 мА.
Ширина спектральной полосы - в соответствии с инструкцией или между 0,3 и 0,1 мм.
Корректор фона - может быть использован в случае, когда абсорбция нулевого раствора имеет значимое значение.
Горелка - высокотемпературная, с длиной щели 5 см. Перед использованием щель горелки должна быть хорошо очищена смесью ацетона с этиловым спиртом (1:1).
3.5 Спектрометрическая процедура анализа
3.5.1 Устанавливают ток лампы, длину волны, давление и начальные потоки газов, зажигают горелку, прогревают ее в течение 5 мин, затем распыляют воду до установления стабильных результатов. Регулируют скорости потоков газов так, чтобы пламя не было светящимся и имело высоту красного конуса примерно 10-20 мм. Распыляют, попеременно наиболее концентрированный градуировочный раствор и нулевой, регулируя при этом поток газа и положение горелки (горизонтальное, вертикальное и угловое) относительно светового пути до тех пор, пока разность в значении абсорбции между этими растворами не будет максимальной. Проверяют точность вывода спектрометра на нужную длину волны. Устанавливают нуль на регистрирующем устройстве прибора относительно воды.
Распыляют полный набор градуировочных растворов, включая нулевой, в возрастающем порядке, повторяя эту операцию, пока показания не будут стабильны. Выбирают два градуировочных раствора, имеющих значение абсорбции немного ниже и немного выше, чем испытуемый раствор. Распыляют эти растворы в возрастающем и обратном порядке (испытуемый в середине), измеряя абсорбцию в каждом случае относительно воды.
Снова распыляют полный набор градуировочных растворов в возрастающем и обратном порядке и используют средние значения абсорбции для построения градуировочного графика.
В процессе измерений, при необходимости, очищают горелку от нагара, если результаты показывают потерю точности из-за загрязненности горелки.
Обязательно распыляют воду между распылением каждого измеряемого раствора, следя за тем, чтобы всасывание воздуха было минимальным.
Массовую долю кальция в испытуемой пробе и растворе контрольного опыта находят по градуировочному графику.
3.5.2 Необходимо готовить новый градуировочный график для каждой серии определений кальция и для каждого интервала определяемых содержаний.
По полученным средним значениям абсорбции и соответствующим им значениям концентраций кальция, выраженной в мкг/см Са, строят градуировочный график.
Сравнивают значения абсорбции выбранных градуировочных растворов, которые распылялись до и после испытуемого раствора, и если эти значения не отличаются от графика более чем допустимо нормативами точности (см. таблицу 2), то и значение абсорбции испытуемого раствора считают приемлемой для определения концентрации кальция, выраженной в мкг/см Са, по градуировочному графику.
Таблица 2
Допускаемое расхождение, % | |||||
Массовая доля кальция, | Погрешность результатов анализа, % | двух средних результатов анализа, выполненных | двух парал- | трех парал- | результатов анализа стандартного образца и аттестованного значения |
От 0,001 до 0,002 включ. | 0,0008 | 0,0010 | 0,0008 | 0,0010 | 0,0005 |
Св. 0,002 " 0,005 " | 0,0016 | 0,0020 | 0,0017 | 0,0020 | 0,0010 |
" 0,005 " 0,01 " | 0,0026 | 0,0033 | 0,0027 | 0,0034 | 0,0017 |
" 0,01 " 0,02 " | 0,004 | 0,006 | 0,005 | 0,006 | 0,003 |
" 0,02 " 0,05 " | 0,007 | 0,009 | 0,007 | 0,009 | 0,004 |
" 0,05 " 0,10 " | 0,012 | 0,015 | 0,012 | 0,015 | 0,008 |
" 0,10 " 0,20 " | 0,018 | 0,022 | 0,018 | 0,022 | 0,012 |
4 Обработка результатов
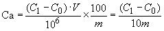
4.1 Содержание кальция () в процентах в испытуемой пробе, выраженное в массовых долях, вычисляют по формуле
![]()
или в случае использования аликвотной части раствора
,
где - концентрация кальция в растворе контрольного опыта, мкг/см
;
- концентрация кальция в измеряемом растворе, мкг/см
;
- объем измеряемого раствора, см
;
- объем испытуемого раствора, полученного после растворения навески, см
;
- объем аликвотной части раствора, см
;
- масса навески проб
ы, г.
4.2 Нормы точности и нормативы контроля точности определения массовой доли кальция приведены в таблице 2.
Текст документа сверен по:
официальное издание
Чугун. Марки. Технические условия.
Методы анализа: Сб. ГОСТов. -
М.: ИПК Издательство стандартов, 2004
Разместите заказ
сами сделают вам предложение
