ГОСТы сталей. ГОСТ 550-75
ГОСТ 550-75
Группа В62
МЕЖГОСУДАРСТВЕННЫЙ СТАНДАРТ
ТРУБЫ СТАЛЬНЫЕ БЕСШОВНЫЕ ДЛЯ НЕФТЕПЕРЕРАБАТЫВАЮЩЕЙ И НЕФТЕХИМИЧЕСКОЙ ПРОМЫШЛЕННОСТИ
Технические условия
Seamless steel tubes for petroleum processing and petrochemical industry. Specifications
МКС 23.040.10
ОКП 13 1900, 13 4400, 13 5100
Дата введения 1977-01-01
ИНФОРМАЦИОННЫЕ ДАННЫЕ
1. РАЗРАБОТАН И ВНЕСЕН Министерством черной металлургии СССР
РАЗРАБОТЧИКИ
О.А.Семенов, д-р техн. наук; В.П.Сокуренко, канд. техн. наук; В.В.Чебаков
2. УТВЕРЖДЕН И ВВЕДЕН В ДЕЙСТВИЕ Постановлением Государственного комитета стандартов Совета Министров СССР от 26.06.75 N 1635
3. ВЗАМЕН ГОСТ 550-58
4. ССЫЛОЧНЫЕ НОРМАТИВНО-ТЕХНИЧЕСКИЕ ДОКУМЕНТЫ
Обозначение НТД, на который дана ссылка | Номер пункта |
ГОСТ 166-89 | 4.12 |
ГОСТ 1050-88 | 2.1 |
ГОСТ 3845-75 | 2.5, 4.10 |
ГОСТ 4543-71 | 2.1 |
ГОСТ 6507-90 | 4.12 |
ГОСТ 7502-89 | 4.12 |
ГОСТ 7565-81 | 4.3 |
ГОСТ 8026-92 | 4.12 |
ГОСТ 8694-75 | 4.6 |
ГОСТ 8695-75 | 4.7 |
ГОСТ 8732-78 | 1.2, 1.3, 1.4, 1.5, 1.6 |
ГОСТ 8734-75 | 1.2, 1.3, 1.4, 1.5, 1.6 |
ГОСТ 9012-59 | 4.8 |
ГОСТ 9013-59 | 4.8 |
ГОСТ 9454-78 | 4.5 |
ГОСТ 9567-75 | 1.4 |
ГОСТ 10006-80 | 4.4 |
ГОСТ 10243-75 | 4.9 |
ГОСТ 10692-80 | 3.1, 5.1 |
ГОСТ 12344-2003 | 4.3 |
ГОСТ 12345-2001 | 4.3 |
ГОСТ 12346-78 | 4.3 |
ГОСТ 12347-77 | 4.3 |
ГОСТ 12348-78 | 4.3 |
ГОСТ 12349-83 | 4.3 |
ГОСТ 12350-78 | 4.3 |
ГОСТ 12351-81 | 4.3 |
ГОСТ 12352-81 | 4.3 |
ГОСТ 12353-78 | 4.3 |
ГОСТ 12354-81 | 4.3 |
ГОСТ 12355-78 | 4.3 |
ГОСТ 12356-81 | 4.3 |
ГОСТ 12357-84 | 4.3 |
ГОСТ 12358-2002 | 4.3 |
ГОСТ 12359-99 | 4.3 |
ГОСТ 12360-82 | 4.3 |
ГОСТ 12361-2002 | 4.3 |
ГОСТ 12362-79 | 4.3 |
ГОСТ 12363-79 | 4.3 |
ГОСТ 12364-84 | 4.3 |
ГОСТ 12365-84 | 4.3 |
ГОСТ 18360-93 | 4.12 |
ГОСТ 20072-74 | 2.1 |
ГОСТ 22536.0-87 | 4.3 |
ГОСТ 22536.1-88 | 4.3 |
ГОСТ 22536.2-87 | 4.3 |
ГОСТ 22536.3-88 | 4.3 |
ГОСТ 22536.4-88 | 4.3 |
ГОСТ 22536.5-87 | 4.3 |
ГОСТ 22536.6-88 | 4.3 |
ГОСТ 28473-90 | 4.3 |
ТУ 2-034-225-87 | 4.12 |
5. Ограничение срока действия снято Постановлением Госстандарта СССР от 20.06.91 N 922
6. ИЗДАНИЕ с Изменениями N 1, 2, 3, 4, утвержденными в августе 1976 г., декабре 1981 г., декабре 1986 г., июне 1991 г. (ИУС 10-76, 3-82, 4-87, 9-91)
Настоящий стандарт распространяется на стальные трубы, предназначенные для нефтеперерабатывающей и нефтехимической промышленности.
(Измененная редакция, Изм. N 4).
1. СОРТАМЕНТ
1. СОРТАМЕНТ
1.1. В зависимости от назначения трубы должны изготавливаться групп А и Б.
1.2. Размеры холоднодеформированных, теплодеформированных и горячедеформированных труб группы А должны соответствовать указанным в табл.1, холоднодеформированных и теплодеформированных группы Б - ГОСТ 8734, горячедеформированных группы Б - ГОСТ 8732.
Таблица 1
Наруж- | Длина мерных труб, м, не более, при толщине стенки, мм | ||||||||||||||||||||
(1,5) | 2,0 | 2,5 | 3,0 | 3,5 | 4,0 | 5,0 | 6,0 | 7,0 | 8,0 | 9,0 | 10,0 | 11,0 | 12,0 | (13,0) | 14,0 | 16,0 | 18,0 | 20,0 | 22,0 | 25,0 | |
(19,0) | 9,0 | - | 9,0 | - | - | - | - | - | - | - | - | - | - | - | - | - | - | - | - | - | - |
20,0 | - | 9,0 | 9,0 | - | - | - | - | - | - | - | - | - | - | - | - | - | - | - | - | - | - |
25,0 | - | 9,0 | 9,0 | 9,0 | - | - | - | - | - | - | - | - | - | - | - | - | - | - | - | - | - |
38,0 | - | 9,0 | 9,0 | 9,0 | 9,0 | - | - | - | - | - | - | - | - | - | - | - | - | - | - | - | - |
48,0 | - | - | - | - | - | 9,0 | 9,0 | - | - | - | - | - | - | - | - | - | - | - | - | - | - |
(57,0) | - | - | - | - | - | 9,0 | 9,0 | - | - | - | - | - | - | - | - | - | - | - | - | - | - |
60,0 | - | - | - | - | - | 10,0 | 10,0 | 10,0 | - | - | - | - | - | - | - | - | - | - | - | - | - |
76,0 | - | - | - | - | - | 12,0 | 12,0 | 12,0 | - | 12,0 | - | - | - | - | - | - | - | - | - | - | - |
(80,0) | - | - | - | - | - | 9,0 | 9,0 | - | - | - | - | - | - | - | - | - | - | - | - | - | - |
89,0 | - | - | - | - | - | 12,1 | 12,1 | 12,1 | 12,1 | 12,1 | - | - | - | - | - | - | - | - | - | - | - |
(102,0) | - | - | - | - | - | - | 12,2 | 12,2 | 12,2 | 12,2 | 12,2 | 12,2 | 12,2 | 12,2 | 9,5 | 12,2 | - | - | - | - | - |
108,0 | - | - | - | - | - | 12,2 | 12,0 | 12,2 | 12,2 | 12,2 | - | - | - | - | - | - | - | - | - | - | - |
114,0 | - | - | - | - | - | - | - | 12,0 | 12,1 | 12,1 | 12,1 | 12,1 | 12,1 | - | - | - | - | - | - | - | - |
127,0 | - | - | - | - | - | - | - | 12,1 | 12,1 | 12,1 | 12,1 | 12,2 | 12,2 | 12,2 | - | 12,2 | - | - | - | - | - |
133,0 | - | - | - | - | - | - | 12,0 | 12,2 | 12,0 | 12,2 | 12,0 | - | - | - | - | - | - | - | - | - | - |
146,0 | - | - | - | - | - | - | - | - | - | - | - | - | 12,2 | - | - | - | - | - | - | - | - |
152,0 | - | - | - | - | - | - | - | 12,1 | 12,1 | 12,1 | 12,1 | 12,1 | 12,1 | 12,1 | - | 12,1 | - | - | - | - | - |
159,0 | - | - | - | - | - | - | - | 12,1 | 12,1 | 12,1 | 12,1 | 12,1 | 12,1 | 12,1 | - | 12,1 | 12,1 | - | - | - | - |
168,0 | - | - | - | - | - | - | - | - | - | - | - | - | 12,0 | 12,0 | - | - | - | - | - | - | - |
194,0 | - | - | - | - | - | - | - | - | 12,0 | 12,0 | 12,0 | 12,0 | - | 12,2 | - | - | - | - | - | - | - |
219,0 | - | - | - | - | - | - | - | - | - | 12,0 | 12,0 | 12,0 | 12,0 | 12,0 | - | 12,0 | 10,0 | 9,0 | 8,0 | 7,5 | 6,7 |
Примечания:
1. Трубы, размеры которых указаны в скобках, применяются только для ремонтных целей.
2. По согласованию изготовителя с потребителем трубы могут изготавливаться длиной, превышающей указанные в табл.1. При этом допускается изготовление труб, сваренных встык, с числом швов не более одного на одну трубу.
3. Трубы диаметром до 57 мм изготавливаются холоднодеформированными. Трубы диаметром 57 мм и свыше изготавливаются горячедеформированными.
4. По требованию потребителя трубы диаметром 6-102 мм изготовляют длиной до 7 м, трубы диаметром 108-159 мм изготовляют длиной до 9 м.
(Измененная редакция, Изм. N 2, 3).
1.3. Трубы группы А должны изготавливаться мерной длины в соответствии с табл.1, при этом минимальная длина должна быть не менее 4 м.
Длина труб группы Б должна соответствовать требованиям ГОСТ 8732 и ГОСТ 8734.
1.4. Предельные отклонения труб группы А должны соответствовать высшей категории качества и не должны превышать:
по наружному диаметру
для холоднодеформированных и теплодеформированных труб из стали марок 10 и 20 - ГОСТ 9567,
для труб из легированной стали:
диаметром до 30 мм - ±0,2 мм,
диаметром свыше 30 мм - ±0,3 мм,
для горячедеформированных труб - %;
по толщине стенки
для холоднодеформированных и теплодеформированных труб - ±8%,
для горячедеформированных труб с толщиной стенки:
до 15 мм - ±12,5%,
свыше 15 мм - ±10%.
Предельные отклонения по наружному диаметру и толщине стенки труб группы Б для высшей категории качества должны соответствовать указанным в ГОСТ 8734 и повышенной точности изготовления труб по ГОСТ 8732, а для первой категории качества должны соответствовать обычной точности изготовления труб по ГОСТ 8732.
1.3, 1.4. (Измененная редакция, Изм. N 3).
1.5. Овальность и разностенность труб не должны превышать:
группы А - предельных отклонений по наружному диаметру и толщине стенки для стали марок 10; 20 и 0,8 предельных отклонений по наружному диаметру и толщине стенки для стали остальных марок;
группы Б - предельного отклонения по наружному диаметру и толщине стенки, указанных в ГОСТ 8732 и ГОСТ 8734.
1.6. Кривизна любого участка труб группы А не должна превышать 1,5 мм на 1 м, кривизна на всю длину трубы не должна превышать 8 мм.
Предельная кривизна труб группы Б - по ГОСТ 8732 и ГОСТ 8734.
(Измененная редакция, Изм. N 2).
1.7. Предельные отклонения по длине труб группы А и Б не должны превышать:
+10 мм - при длине труб до 6 м;
+15 мм - при длине труб более 6 м или с наружным диаметром более 152 мм.
Примеры условных обозначений
Труба холоднодеформированная и теплодеформированная с наружным диаметром 25 мм, толщиной стенки 2 мм, из стали марки 15Х5М, мерной длины 9,0 м (группа А):
Труба А-25х2х9000 -15Х5М ГОСТ 550-75
Труба горячедеформированная наружным диаметром 219 мм, толщиной стенки 10 мм, из стали марки 15Х5ВФ, немерной длины (группа Б):
Труба Б-219х10 - 15Х5ВФ ГОСТ 550-75
То же, длиной, кратной 4,5 м:
Труба Б-219х10х4500 кр - 15Х5ВФ ГОСТ 550-75.
2. ТЕХНИЧЕСКИЕ ТРЕБОВАНИЯ
2.1. Трубы изготовляют в соответствии с требованиями настоящего стандарта и по технологическим регламентам, утвержденным в установленном порядке.
Трубы группы А и Б должны изготовляться из стали марок 10, 20 по ГОСТ 1050, марки 10Г2 - по ГОСТ 4543, марок 12МХ, 15Х5, 15Х5М, 15Х5ВФ, 12Х8ВФ - по ГОСТ 20072 и марок стали 12Х8, 1Х2М1 - с химическим составом по табл.2.
Таблица 2
Марка стали | Массовая доля, % | ||||||||
Углерод | Марганец | Кремний | Хром | Молибден | Сера | Фосфор | Никель | Медь | |
Не более | |||||||||
12Х8 | Не более 0,12 | 0,3-0,6 | 0,17-0,37 | 7,5-9,0 | - | 0,030 | 0,035 | 0,40 | 0,25 |
1Х2М1 | 0,08-0,13 | 0,3-0,6 | 0,17-0,37 | 2,0-2,5 | 0,9-1,10 | 0,035 | 0,035 | 0,50 | 0,30 |
Примечание. Предельные отклонения по химическому составу марки стали 1Х2М1 должны соответствовать требованиям ГОСТ 4543.
(Измененная редакция, Изм. N 1, 2, 3).
2.2. На наружной и внутренней поверхностях труб не должно быть плен, трещин, рванин, закатов и волосовин. Эти дефекты должны быть полностью удалены путем местной пологой зачистки холодным способом или сплошной шлифовкой, расточкой и обточкой. При этом толщина стенки в местах удаления дефектов не должна выходить за пределы минимальных допускаемых значений.
В макроструктуре труб не допускаются трещины, расслоения и флокены, видимые без применения увеличительных приборов.
Допускаются отдельные незначительные забоины, вмятины, риски и следы зачистки дефектов, если глубина их залегания не выводит толщину стенки трубы за предельные отклонения, при этом глубина рисок не должна превышать 1 мм, а для труб группы А на длине 400 мм от торцов - 0,5 мм. Для горячедеформированных труб группы Б допускаются также мелкие плены в пределах указанных отклонений.
2.3. Концы труб должны быть обрезаны под прямым углом; при этом косина реза не должна превышать 2°.
По требованию потребителя на концах труб с толщиной стенки свыше 5 мм должна быть фаска для сварки.
По согласованию изготовителя с потребителем допускается обрезать трубы из стали марок 10, 20 и 10Г2 плазмотроном с углом фаски по отношению к торцу трубы более 10°.
2.2, 2.3. (Измененная редакция, Изм. N 2).
2.4. Трубы должны изготавливаться в термически обработанном состоянии. Горячедеформированные трубы из стали марок 10, 20 и 10Г2 могут изготавливаться с прокатного нагрева. Механические свойства металла труб должны соответствовать указанным в табл.3.
Таблица 3
Марка стали | Временное сопротив- | Предел текучести | Относи- | Относи- | Ударная вязкость KCU, Дж/см | Число твердости по Бринеллю НВ, | Виды труб |
не менее | |||||||
10 | 353 (36) | 216 (22) | 25 | 50 | 78 (8) | 137 | Горячедеформиро- |
20 | 431 (44) | 255 (26) | 22 | 50 | 78 (8) | 156 | |
10Г2 | 421 (43) | 265 (27) | 21 | 50 | 118 (12) | 197 | |
12МХ | 412 (42) | 245 (25) | 21 | 45 | 69 (7) | 156 | |
15Х5 | 392 (40) | 216 (22) | 24 | 50 | 98 (10) | 170 | |
15Х5М | 392 (40) | 216 (22) | 22 | 50 | 118 (12) | 170 | |
15Х5ВФ | 392 (40) | 216 (22) | 22 | 50 | 118 (12) | 170 | |
12Х8ВФ | 392 (40) | 167 (17) | 22 | 50 | 98 (10) | 170 | |
1Х2М1 | 441 (45) | 265 (27) | 20 | 45 | 98 (10) | 227 | |
10 | 333 (34) | 206 (21) | 26 | - | - | 137 | Холоднодеформи- рованные и тепло- деформированные |
20 | 412 (42) | 245 (25) | 23 | - | - | 156 | |
15Х5М | 392 (40) | 216 (22) | 22 | - | - | 170 | |
12Х8 | 392 (40) | 216 (22) | 22 | - | - | 170 | |
Примечание. По требованию потребителя трубы из стали марки 10Г2 должны иметь ударную вязкость при температуре минус 40 °С не менее 25 Дж/см (2,5 кгс·м/см
).
Горячедеформированные трубы из стали марки 15Х5М могут изготавливаться после нормализации и отпуска с нормами механических свойств не менее: - 588 Н/мм
(60 кгс/мм
),
- 412 Н/мм
(42 кгс/мм
),
- 16%,
- 65%, KCU - 98 Дж/см
(10 кгс·м/см
) и числом твердости по Бринеллю не более 235.
Для труб высшей категории качества из стали марки 15Х5М временное сопротивление разрыву должно быть не менее 421 Н/мм (43 кгс/мм
) для горячедеформированных труб и 412 Н/мм
(42 кгс/мм
) для холоднотеплодеформированных труб.
(Измененная редакция, Изм. N 1, 2, 3).
2.5. Трубы должны выдерживать испытательное гидравлическое давление ( и
) в соответствии с требованиями ГОСТ 3845, но не более 30 МПа (300 кгс/см
), при допускаемом напряжении, равном 40% временного сопротивления разрыву, Н/мм
(кгс/мм
), для данной марки стали.
(Измененная редакция, Изм. N 4).
2.6. Трубы группы А диаметром не более 159 мм со стенкой толщиной не более 8 мм должны выдерживать испытание на раздачу без появления трещин и надрывов на оправке с конусностью не менее 6° (1/10) для увеличения наружного диаметра, приведенного в табл.4.
Таблица 4
Марка стали | Увеличение наружного диаметра трубы, %, при толщине стенки | |
до 4 мм | св. 4 мм | |
10, 10Г2 | 10 | 6 |
20 | 8 | 5 |
Остальные | 6 | - |
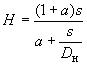
2.7. По требованию потребителя трубы должны выдерживать испытание на сплющивание до получения между сплющивающими поверхностями расстояния () в миллиметрах, вычисленного по формуле
,
где - номинальная толщина стенки, мм;
- номинальный наружный диаметр, мм;
- деформация на единицу длины, равная 0,08.
2.8. По требованию потребителя трубы подвергают дефектоскопии неразрушающими методами.
(Введен дополнительно, Изм. N 2).
3. ПРАВИЛА ПРИЕМКИ
3.1. Трубы принимают партиями. Партия должна состоять из труб одного размера, одного режима термообработки, а для стали марок 12МХ, 15Х5, 15Х5М, 12Х8, 12Х8ВФ и 1Х2М1 - также и одной плавки и сопровождаться одним документом о качестве по ГОСТ 10692 с дополнением: химический состав стали - в соответствии с документом о качестве изготовителя заготовки.
Количество труб в партии устанавливается для горячедеформированных не более 200 шт., для холоднодеформированных и теплодеформированных - не более 400 шт.
(Измененная редакция, Изм. N 2, 3).
3.2. Проверке наружной и внутренней поверхностей, размеров и дефектоскопии подвергают каждую трубу.
3.3. В случае разногласий в оценке химического состава для проверки отбирают не менее одной трубы от партии.
3.4. Контроль макроструктуры труб проводят по требованию потребителя.
3.2-3.4. (Измененная редакция, Изм. N 2).
3.5. Для испытания на растяжение, ударный изгиб, сплющивание, раздачу, для контроля макроструктуры стали отбирают две трубы от партии, а для гидроиспытания 2% труб, но не менее двух труб от партии.
(Измененная редакция, Изм. N 4).
3.6. Испытанию на твердость подвергают 10% труб группы А и 2% труб группы Б из стали марки 15Х5М. Трубы группы Б из стали других марок контролю твердости не подвергаются.
Нормы твердости труб с толщиной стенки не менее 2,5 мм устанавливают по согласованию изготовителя с потребителем.
(Измененная редакция, Изм. N 2).
3.7. (Исключен, Изм. N 2).
3.8. При получении неудовлетворительных результатов испытаний хотя бы по одному из показателей по нему проводят повторные испытания на удвоенной выборке, взятой от той же партии труб.
Результаты повторных испытаний распространяются на всю партию.
4. МЕТОДЫ ИСПЫТАНИЙ
4.1. От каждой отобранной трубы отрезают:
для испытания на растяжение - один образец;
для испытания на твердость - два образца;
для испытания на ударный изгиб - два образца;
для испытания на сплющивание - один образец;
для испытания на раздачу - один образец;
для контроля макроструктуры - один образец.
(Измененная редакция, Изм. N 4).
4.2. Толщину стенки проверяют с обоих концов трубы. Обмер трубы по наружному диаметру производят в любом месте, кроме мест зачистки дефектов.
Толщину стенки в местах зачистки определяют как разность между фактической толщиной стенки у конца, ближайшего к месту дефекта, и глубиной зачистки по образующей или измерением при помощи ультразвукового толщиномера.
Допускается обмерять трубы средствами приборного автоматического контроля. Наружную поверхность труб осматривают без применения увеличительных приборов. Внутреннюю поверхность труб диаметром 70 мм и более осматривают с двух сторон при помощи перископа с двухкратным и более увеличением на длину перископа. При применении дефектоскопии перископирование не проводится.
4.3. Отбор проб для химического анализа должен производиться по ГОСТ 7565.
Контроль химического состава осуществляется по методике предприятия - изготовителя труб, а при разногласиях в оценке химического состава - по ГОСТ 22536.0, ГОСТ 22536.1-ГОСТ 22536.6, ГОСТ 12344-ГОСТ 12365, ГОСТ 28473.
(Измененная редакция, Изм. N 4).
4.4. Испытание на растяжение должно проводиться на продольном коротком пропорциональном образце по ГОСТ 10006. Скорость испытания до предела текучести - не более 10 мм/мин, за пределом текучести - не более 40 мм/мин.
Допускается контролировать механические свойства труб из сталей всех марок, кроме 15Х5М-у, неразрушающими методами по нормативно-технической документации.
При разногласиях в оценке качества проверка проводится по ГОСТ 10006.
(Измененная редакция, Изм. N 3).
4.5. Испытание на ударный изгиб проводят на трубах с толщиной стенки более 12 мм по ГОСТ 9454, на образцах типа 1. Образцы вырезают из кольца в двух диаметрально противоположных местах ближе к наружной поверхности.
(Измененная редакция, Изм. N 4).
4.6. Испытание на раздачу должно проводиться по ГОСТ 8694.
4.7. Испытание на сплющивание проводится на трубах диаметром 22 мм и более с толщиной стенки не более 10 мм по ГОСТ 8695.
При обнаружении на сплющенных образцах мельчайших надрывов или других мелких дефектов разрешается повторное испытание на сплющивание другого образца, взятого от той же трубы, с предварительным снятием поверхностного слоя (внутреннего и наружного) на глубину не более 0,2 мм для труб диаметром до 108 мм и не более 1 мм для труб диаметром свыше 114 мм.
(Измененная редакция, Изм. N 2).
4.8. Испытание на твердость должно проводиться по ГОСТ 9012 для труб с толщиной стенки не менее 2,5 мм и по ГОСТ 9013 для труб с толщиной стенки менее 2,5 мм на обоих концах трубы.
Для труб, прошедших термическую обработку в проходных печах, твердость контролируют с одного конца.
Допускается проводить контроль твердости труб из сталей всех марок, кроме 15Х5М-у, неразрушающими методами по нормативно-технической документации. При разногласиях в оценке качества проверка проводится по ГОСТ 9012 и ГОСТ 9013.
(Измененная редакция, Изм. N 3).
4.9. Макроструктуру металла труб проверяют на травленом кольцевом поперечном образце по ГОСТ 10243.
Контролю макроструктуры подвергают трубы с толщиной стенки 12 мм и более.
(Измененная редакция, Изм. N 2).
4.10. Гидравлическое испытание труб должно проводиться по ГОСТ 3845 с выдержкой их под давлением не менее 10 с.
Взамен гидроиспытания изготовителю разрешается проводить контроль каждой трубы неразрушающими методами, обеспечивающими соответствие труб нормам испытательного гидравлического давления.
4.11. Дефектоскопия труб проводится по методике, утвержденной в установленном порядке.
4.12. Контроль наружного диаметра труб проводят штангенциркулем типа ЩЦ по ГОСТ 166, гладким микрометром типа МК по ГОСТ 6507, скобами листовыми по ГОСТ 18360.
Контроль толщины стенки проводят трубным микрометром типа МТ по ГОСТ 6507.
Контроль длины труб проводят рулеткой по ГОСТ 7502.
Контроль кривизны труб проводят поверочной линейкой по ГОСТ 8026 и щупом по ТУ 2-034-225.
(Измененная редакция, Изм. N 4).
5. МАРКИРОВКА, УПАКОВКА, ТРАНСПОРТИРОВАНИЕ И ХРАНЕНИЕ
5.1. Маркировка, упаковка, транспортирование, хранение и оформление документации - по ГОСТ 10692 со следующими дополнениями.
(Измененная редакция, Изм. N 3).
5.1.1. На одном конце трубы диаметром 25 мм и более, толщиной стенки не менее 3 мм, на расстоянии до 1 м от одного из концов должны быть отчетливо нанесены: клеймо отдела технического контроля, марка стали и номер партии.
5.1.2. Маркировка труб из стали марки 15Х5М после нормализации и отпуска дополнительно должна иметь клеймо в виде буквы "У" (через тире).
5.1.3. Для труб, которым в установленном порядке присвоен государственный Знак качества, ярлык и документ о качестве должны иметь изображение государственного Знака качества, в порядке, установленном Госстандартом.
(Измененная редакция, Изм. N 2).
Электронный текст документа
подготовлен АО "Кодекс" и сверен по:
официальное издание
Трубы металлические и соединительные части к ним.
Часть 1. Трубы бесшовные гладкие: Сб. ГОСТов. -
М.: ИПК Издательство стандартов, 2004
Разместите заказ
сами сделают вам предложение
