ГОСТы сталей. ГОСТ 12364-84
ГОСТ 12364-84
Группа В39
ГОСУДАРСТВЕННЫЙ СТАНДАРТ СОЮЗА ССР
СТАЛИ ЛЕГИРОВАННЫЕ И ВЫСОКОЛЕГИРОВАННЫЕ
Методы определения церия
Steels alloyed and highalloyed. Methods for the determination of certium
ОКСТУ 0809
Срок действия с 01.01.85
до 01.01.95*
______________________________
* Ограничение срока действия снято
по протоколу N 4-93 Межгосударственного Совета
по стандартизации, метрологии и сертификации
(ИУС N 4, 1994 год). - Примечание "КОДЕКС".
РАЗРАБОТАН Министерством черной металлургии СССР
ИСПОЛНИТЕЛИ
Н.П.Лякишев, В.Т.Абабков, С.М.Новокщенова, М.С.Дымова, Р.Д.Малинина, Е.Д.Шувалова, Т.Н.Артемова
ВНЕСЕН Министерством черной металлургии СССР
Член коллегии В.Г.Антипин
УТВЕРЖДЕН И ВВЕДЕН В ДЕЙСТВИЕ постановлением Государственного комитета СССР по стандартам от 19 января 1984 г.
N 232
ВЗАМЕН ГОСТ 12364-66
Настоящий стандарт устанавливает фотометрический метод определения церия (при массовой доле от 0,002 до 0,05%), амперометрический метод определения церия (при массовой доле от 0,005 до 0,2%) в легированных и высоколегированных сталях.
1. ОБЩИЕ ТРЕБОВАНИЯ
1. ОБЩИЕ ТРЕБОВАНИЯ
1.1. Общие требования к методам анализа - по ГОСТ 20560-81.
2. ФОТОМЕТРИЧЕСКИЙ МЕТОД
2.1. Сущность метода
Метод основан на способности церия (IV) окислять ортотолидин в сернокислой среде с образованием окрашенного в желтый цвет соединения и последующем измерении оптической плотности раствора на спектрофотометре при длине волны 434 нм или на фотоэлектроколориметре со светофильтром, имеющим область пропускания в интервале длин волн от 410 до 480 нм.
Церий отделяют от основных компонентов стали осаждением в виде фторида с последующим переосаждением его в виде оксалата.
В качестве коллектора используют лантан.
2.2. Аппаратура, реактивы и растворы
Спектрофотометр, спектрофотоколориметр или фотоэлектроколориметр.
Термометр.
Кислота соляная по ГОСТ 3118-77 и разбавленая 1:1, 1:20.
Кислота азотная по ГОСТ 4461-77.
Кислота серная по ГОСТ 4204-77 и разбавленная 1:1.
Смесь соляной и азотной кислот, свежеприготовленная: к 150 см соляной кислоты приливают 50 см
азотной кислоты и перемешивают.
Аммиак водный по ГОСТ 3760-79.
Кислота щавелевая, насыщенный раствор с массовой концентрацией 100 г/дм и разбавленная с массовой концентрацией 10 г/дм
Натрий фтористый по ГОСТ 4463-76, растворы с массовой концентрацией 35 и 2 г/дм.
Аммоний фтористый по ГОСТ 4518-75, растворы с массовой концентрацией 35 и 2 г/дм
Кислота борная по ГОСТ 9656-75, насыщенный раствор при 50 °С.
Смесь борной и соляной кислот: к 300 см раствора борной кислоты приливают 500 см
соляной кислоты, 1200 см
воды и перемешивают.
Лантан азотнокислый, раствор с массовой концентрацией 10 г/дм: 10 г азотнокислого лантана растворяют в 200 см
соляной кислоты (1:20) при нагревании. Раствор фильтруют через фильтр средней плотности "белая лента" в мерную колбу вместимостью 1 дм
, доливают до метки водой и перемешивают.
Железо карбонильное марки ПС по ГОСТ 13610-79.
Ортотолидин, раствор с массовой концентрацией 0,5 г/дм. 0,05 г ортотолидина растворяют в 20 см
горячей серной кислоты (1:1) при нагревании. Раствор охлаждают, переносят в мерную колбу вместимостью 100 см
, доливают водой до метки и перемешивают.
Промывной раствор: к 50 см воды приливают 10 капель серной кислоты, 5 см
раствора ортотолидина, доливают до 100 см
водой и перемешивают.
Универсальная индикаторная бумага, рН 1-10.
Церий азотнокислый, ос. ч.
Стандартные растворы церия.
Раствор А: 3,1 г азотнокислого церия Се(NО)
·6Н
О помещают в стакан вместимостью 200-250 см
, приливают 60-70 см
воды, 5 см
азотной кислоты и нагревают до полного растворения. Раствор охлаждают, отфильтровывают через фильтр средней плотности "белая лента" в мерную колбу вместимостью 1 дм
, доливают водой до метки и перемешивают.
1 см стандартного раствора А содержит приблизительно 0,001 г церия.
Массовую концентрацию церия в 1 см раствора А устанавливают гравиметрическим методом.
Для этого аликвотную часть 50 см азотнокислого раствора церия помещают в стакан, приливают 5 см
соляной кислоты и раствор выпаривают до влажных солей. Прибавляют 40 см
насыщенного раствора щавелевой кислоты, кипятят 3-4 мин и оставляют стоять 12 ч.
Осадок отфильтровывают на двойной плотный фильтр "синяя лента" и средней плотности "белая лента" с добавлением небольшого количества беззольной бумажной массы.
Стакан и осадок на фильтре промывают 5-6 раз разбавленным раствором щавелевой кислоты. Фильтр с осадком помещают в прокаленный до постоянной массы и взвешенный фарфоровый тигель, высушивают, озоляют при 400-450 °С, прокаливают при 800 °С в течение 1 ч, охлаждают и взвешивают.
Массовую концентрацию стандартного раствора церия (), г/cм
, вычисляют по формуле
,
где - масса тигля с осадком диоксида церия, г;
- масса тигля без осадка диоксида церия, г;
- масса тигля с осадком контрольного опыта, г;
- масса тигля без осадка контрольного опыта, г;
0,8141 - коэффициент пересчета диоксида церия на церий;- объем раствора азотнокислого церия, взятый для установки массовой концентрации раствора церия, см
.
Раствор Б: 25 см стандартного раствора А переносят в мерную колбу вместимостью 250 см
, доливают водой до метки и перемешивают.
1 см раствора Б содержит 0,0001 г церия.
Раствор В: 25 см стандартного раствора Б переносят в мерную колбу вместимостью 250 см
, доливают водой до метки и перемешивают.
1 см раствора В содержит 0,00001 г церия.
Вода дистиллированная, не содержащая СО. Воду кипятят в течение 1 ч и охлаждают в колбе, закрытой пробкой с V-образной трубкой, заполненной натронной изв
естью.
2.3. Проведение анализа
2.3.1. Берут навеску стали массой в соответствий с табл. 1 и помещают в стакан или колбу вместимостью 250 см, приливают 30-40 см
смеси соляной и азотной кислот. Стакан накрывают часовым стеклом и растворяют навеску при умеренном нагревании.
Раствор охлаждают, обмывают стекло и стенки стакана 3-5 см воды и выпаривают до влажных солей. К содержимому стакана приливают 5-7 см
соляной кислоты и вновь выпаривают раствор до влажных солей. Приливают 5 см
соляной кислоты и растворяют содержимое стакана при нагревании. Затем приливают 60 см
воды, добавляют небольшое количество беззольной бумажной массы, 5 см
раствора азотнокислого лантана, 60-70 см
раствора фтористого натрия с массовой концентрацией 35 г/дм
. Если сталь содержит свыше 3% алюминия, добавляют 80-100 см
раствора фтористого натрия. Если в стали содержится титан, вольфрам или ниобий, добавляют 60-70 см
раствора фтористого аммония с массовой концентрацией 35 г/дм
.
Таблица 1
Массовая доля церия, % | Масса навески стали, г | ||||
От | 0,002 | до | 0,005 | включ. | 1,00 |
Св. | 0,005 | " | 0,01 | " | 0,50 |
" | 0,01 | " | 0,02 | " | 0,25 |
" | 0,02 | " | 0,05 | " | 0,10 |
Раствор с осадком выдерживают в течение 40-45 мин, периодически перемешивая.
Осадок фторидов отфильтровывают на двойной плотный фильтр "синяя лента" и средней плотности "белая лента", промывают 6-7 раз соответственно раствором фтористого натрия или аммония с массовой концентрацией 2 г/дм. Фильтрат отбрасывают. Осадок на фильтре растворяют в 120 см
горячей смеси борной и соляной кислот (порциями по 20 см
), собирая раствор в стакан или колбу, в котором проводилось осаждение фторидов. Фильтр промывают 5-6 раз горячей водой, присоединяя промывную жидкость к основному фильтрату. Фильтр отбрасывают.
Раствор выпаривают до влажных солей. Стенки стакана обмывают 30-40 см воды и растворяют содержимое стакана при нагревании. Приливают 30 см
насыщенного раствора щавелевой кислоты и раствор аммиака до рН 2 по универсальному индикатору при интенсивном перемешивании. Раствор с осадком нагревают до кипения, выдерживают при 85-90 °С 30-40 мин, разбавляют водой до 120 см
и охлаждают. Через 12-18 ч осадок оксалатов отфильтровывают на двойной фильтр плотный "синяя лента" и средней плотности "белая лента" с добавлением небольшого количества беззольной массы, промывают 5-6 раз разбавленным раствором щавелевой кислоты. Фильтрат отбрасывают. Фильтр с осадком помещают в фарфоровый тигель, высушивают, озоляют при 400-450 °С, прокаливают при 800 °С в течение 1 ч и охлаждают.
Тигель с осадком диоксида церия прокаливают непосредственно перед определением церия с ортотолидином.
К содержимому тигля прибавляют 10 капель горячей серной кислоты, тщательно растирают сухой стеклянной палочкой в течение 2 мин, прибавляют 3 см раствора ортотолидина, опять перемешивают в течение 1 мин, приливают 5 см
воды. Раствор отфильтровывают через вату, предварительно промытую промывным раствором, в мерную колбу вместимостью 50 см
, промывают тигель и вату 3-4 раза водой, доливают раствор водой до метки и перемешивают.
Измеряют оптическую плотность раствора на спектрофотометре при длине волны 434 нм или на фотоэлектроколориметре со светофильтром, имеющим область пропускания в интервале длин волн от 410 до 480 нм в кювете с толщиной слоя 30 мм через 5 мин после прибавления ортотолидина. Окраска устойчива в течение 5-10 мин. В качестве раствора сравнения используют воду. Одновременно проводят контрольный опыт на загрязнение реактивов.
Содержание церия находят по градуировочному графику с учетом поправки контрольного опы
та.
2.3.2. Построение градуировочного графика
В семь стаканов или колб вместимостью 250-300 см помещают навески стали, аналогичной по составу, но не содержащей церия, в соответствии с табл. 1. В шесть стаканов или колб приливают последовательно 1, 2, 3, 4, 5, 6 см
стандартного раствора В. Седьмой стакан служит для проведения контрольного опыта.
Во все стаканы приливают по 30 см смеси соляной и азотной кислот, стаканы накрывают часовыми стеклами и растворяют навески при умеренном нагревании.
Далее поступают как указано в п.2.3.1.
Из значения оптической плотности анализируемых растворов вычитают значение оптической плотности контрольного опыта.
По найденным величинам оптической плотности растворов и соответствующим им значениям концентраций церия строят градуировочный график.
2.4. Обработка результатов
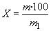
2.4.1. Массовую долю церия () в процентах вычисляют по формуле
,
где - масса церия, найденная по градуировочному графику, г;
- масса навески стали, г.
2.4.2. Абсолютные допускаемые расхождения результатов параллельных определений при доверительной вероятности = 0,95 не должны превышать значений, приведенных в табл. 2.
Таблица 2
Массовая доля церия, % | Абсолютные допускаемые расхождения, % | ||||
От | 0,002 | до | 0,005 | включ. | 0,002 |
Св. | 0,005 | " | 0,010 | " | 0,005 |
" | 0,010 | " | 0,020 | " | 0,007 |
" | 0,020 | " | 0,05 | " | 0,010 |
" | 0,05 | " | 0,1 | " | 0,020 |
" | 0,1 | " | 0,2 | " | 0,040 |
3. АМПЕРОМЕТРИЧЕСКИЙ МЕТОД
3.1. Сущность метода
Метод основан на титровании церия (IV) раствором двойной сернокислой соли закиси железа - аммония в сернокислой среде на амперометрической установке с двумя платиновыми электродами при потенциале 0,5 В или с платиновым и каломельным электродами при потенциале 0,9 В по току окисления избыточных ионов железа (II).
Церий ((III) окисляют до церия (IV) марганцовокислым калием с последующим восстановлением его избытка азотистокислым натрием и связыванием последнего мочевиной.
Церий отделяют от основных компонентов стали осаждением в виде фторида с последующим переосаждением его в виде оксалата. В качестве коллектора используют лантан.
3.2. Аппаратура, реактивы и растворы
Амперометрическая установка с двумя платиновыми электродами или с платиновым и каломельным электродами.
Кислота соляная по ГОСТ 3118-77 и разбавленная 1:1, 1:20.
Кислота азотная по ГОСТ 4461-77.
Кислота серная по ГОСТ 4204-77 и разбавленная 1:1.
Смесь соляной и азотной кислот свежеприготовленная: к 150 см соляной кислоты приливают 50 см
азотной кислоты и перемешивают.
Аммиак водный по ГОСТ 3760-79.
Натрий фтористый по ГОСТ 4463-76, растворы с массовой концентрацией 35 и 2 г/дм.
Аммоний фтористый по ГОСТ 4518-75, растворы с массовой концентрацией 35 и 2 г/дм.
Кислота борная по ГОСТ 9656-75, насыщенный раствор при 50 °С.
Смесь борной и соляной кислот: к 300 см раствора борной кислоты приливают 500 см
соляной кислоты, 1200 см
воды и перемешивают.
Натрий вольфрамовокислый 2-водный по ГОСТ 18289-78, раствор с массовой концентрацией 10 г/дм вольфрама: 17,94 г вольфрамовокислого натрия помещают в стакан, растворяют в 200-250 см
воды, прибавляют при перемешивании 15 г гидроокиси натрия.
Раствор охлаждают, переводят в мерную колбу вместимостью 1 дм, доливают водой до метки и перемешивают.
Калий пирофосфорнокислый, раствор с массовой концентрацией 800 г/дм.
Натрия гидроокись по ГОСТ 4328-77.
Лантан азотнокислый, раствор с массовой концентрацией 10 г/дм: 10 г азотнокислого лантана растворяют в 200 см
соляной кислоты (1:20) при нагревании. Раствор фильтруют через фильтр средней плотности "белая лента" в мерную колбу вместимостью 1 дм
, доливают до метки водой и перемешивают.
Калий двухромовокислый по ГОСТ 4220-75, раствор с массовой концентрацией хрома 10 г/дм: 28,29 г двухромовокислого калия растворяют в 150-200 см
воды, приливают 90 см
серной кислоты (1:1) и прибавляют небольшими порциями 50 г сернисто-кислого натрия до перехода окраски раствора из оранжево-желтой в зеленую. Затем осторожно кипятят до удаления избытка сернистого газа. Раствор охлаждают, переводят в мерную колбу вместимостью 1 дм
, доливают водой до метки и перемешивают.
Титан по ГОСТ 19807-77, раствор с массовой концентрацией титана 1 г/дм: 1 г металлического титана помещают в стакан, приливают 10-20 см
воды, 100 см
серной кислоты (1:1) и растворяют при нагревании. После полного растворения навески приливают 3-5 капель азотной кислоты, выпаривают до выделения паров серной кислоты, охлаждают, обмывают стенки стакана водой, снова выпаривают до выделения паров серной кислоты и охлаждают. Раствор переливают в мерную колбу вместимостью 1 дм
, приливают 100 см
серной кислоты (1:1), охлаждают, доливают водой до метки и перемешивают.
Пятиоксид ванадия, раствор с массовой концентрацией ванадия 1 г/дм: 1,7852 г пятиоксида ванадия, предварительно прокаленного при 400-500 °С до постоянной массы, помещают в стакан, прибавляют 50 см
серной кислоты и нагревают до растворения навески. Затем осторожно приливают 5 см
азотной кислоты и выпаривают до выделения паров серной кислоты.
Раствор охлаждают, обмывают стенки стакана водой и вновь выпаривают до выделения паров серной кислоты. Соли растворяют в 200-250 см воды при нагревании, раствор фильтруют через фильтр средней плотности "белая лента" в мерную колбу вместимостью 1 дм
. Фильтр промывают 4-5 раз горячей водой. К раствору в колбе приливают при перемешивании 100 см
серной кислоты (1:1), Раствор охлаждают, разбавляют водой до метки, перемешивают.
Железо карбонильное марки ПС по ГОСТ 13610-79.
Калий марганцовокислый по ГОСТ 20490-75, раствор с молярной концентрацией эквивалента 0,1 моль/дм.
Натрий азотистокислый по ГОСТ 4197-74, раствор с массовой концентрацией 40 г/дм.
Мочевина по ГОСТ 6691-77, раствор с массовой концентрацией 100 г/дм.
Кислота щавелевая, насыщенный раствор с массовой концентрацией 100 г/дм и разбавленная с массовой концентрацией 10 г/дм
.
Натрий сернистокислый безводный по ГОСТ 195-77.
Перекись водорода по ГОСТ 10929-76.
Церий азотнокислый, ос. ч.
Стандартные растворы церия.
Раствор А: 3,1 г азотнокислого церия, Се(NО)
· 6Н
О помещают в стакан вместимостью 200-250 см
, приливают 60-70 см
воды, 5 см
азотной кислоты и нагревают до полного растворения. Раствор охлаждают, отфильтровывают через фильтр средней плотности "белая лента" в мерную колбу вместимостью 1 дм
, доливают водой до метки и перемешивают.
1 см стандартного раствора А содержит приблизительно 0,001 г церия.
Массовую концентрацию церия в 1 см раствора А устанавливают гравиметрическим методом.
Для этого аликвотную часть 50 см азотнокислого раствора церия помещают в стакан, приливают 5 см
соляной кислоты и раствор выпаривают до влажных солей. Прибавляют 40 см
насыщенного раствора щавелевой кислоты, кипятят 3-4 мин и оставляют стоять 12 ч.
Осадок отфильтровывают на двойной фильтр плотный "синяя лента" и средней плотности "белая лента" с добавлением небольшого количества беззольной бумажной массы.
Стакан и осадок на фильтре промывают 5-6 раз разбавленным раствором щавелевой кислоты. Фильтр с осадком помещают в прокаленный до постоянной массы и взвешенный фарфоровый тигель, высушивают, озоляют при 400-450 °С, прокаливают при 800 °С в течение 1 ч, охлаждают и взвешивают.
Массовую концентрацию стандартного раствора церия (), г/см
, вычисляют по формуле
,
где - масса тигля с осадком диоксида церия, г;
- масса тигля без осадка диоксида церия, г;
- масса тигля с осадком контрольного опыта, г;
- масса тигля без осадка контрольного опыта, г;
0,8141 - коэффициент пересчета диоксида церия на церий;- объем раствора азотнокислого церия, взятый для установки массовой концентрации раствора церия, см
.
Раствор Б: 25 см стандартного раствора А переносят в мерную колбу вместимостью 250 см
, доливают водой до метки и перемешивают.
1 см раствора Б содержит 0,0001 г церия.
Раствор В: 25 см стандартного раствора Б переносят в мерную колбу вместимостью 250 см
, доливают водой до метки и перемешивают.
1 см раствора В содержит 0,00001 г церия.
Соль закиси железа и аммония двойная сернокислая (соль Мора) по ГОСТ 4208-72.
Раствор соли закиси железа и аммония двойной сернокислой с молярной концентрацией эквивалента приблизительно 0,0025 моль/дм: 1 г соли закиси железа и аммония двойной сернокислой помещают в стакан и растворяют в 200-250 см
воды, осторожно приливают 50 см
серной кислоты, охлаждают, доливают водой до 1 дм
, тщательно перемешивают и фильтруют через фильтр средней плотности "белая лента".
Массовую концентрацию двойной сернокислой соли закиси железа и аммония устанавливают по стандартному раствору церия.
Для этого в стакан вводят стандартный раствор церия, растворы титана, хрома, вольфрама, ванадия и навеску карбонильного железа в количествах, соответствующих массе их в навеске анализируемого образца, приливают 40-50 см смеси кислот и далее поступают как указано в п.3.3.
Допускается установка массовой концентрации двойной сернокислой соли закиси железа и аммония по стандартному раствору церия, добавленному к навескам стали, аналогичной по составу с испытуемой, но не содержащей церий.
Анализ проводят как указано в п.3.3.
Массовую концентрацию двойной сернокислой соли закиси железа и аммония () по церию, г/см
, вычисляют по формуле
,
где - масса церия в аликвотной части стандартного раствора, взятого для титрования, г;
- объем раствора двойной сернокислой соли закиси железа и аммония, израсходованный на титрование стандартного раствора церия, см
;
- объем раствора двойной сернокислой соли закиси железа и аммония, израсходованный на титрование раствора контрольного опыта, см
.
Универсальная индикаторная бумага, рН 1-10.
3.3. Проведение анализа
Навеску стали массой в соответствии с табл. 3 помещают в стакан или колбу вместимостью 250 см, приливают 30-40 см
смеси соляной и азотной кислот, стакан накрывают часовым стеклом и растворяют навеску при умеренном нагревании. Раствор охлаждают, обмывают стекло и стенки стакана 3-5 см
воды и выпаривают раствор до влажных солей. К содержимому стакана приливают 5-7 см
соляной кислоты и вновь выпаривают раствор до влажных солей. Приливают 5 см
соляной кислоты и растворяют содержимое стакана при нагревании. Затем приливают 60 см
воды, добавляют небольшое количество беззольной бумажной массы, 5 см
раствора азотнокислого лантана, 60-70 см
раствора фтористого натрия с массовой концентрацией 35 г/дм
. Если массовая доля алюминия в стали свыше 3%, добавляют 80-100 см
раствора фтористого натрия. Если в стали содержится титан, вольфрам или ниобий, добавляют 60 -70 см
раствора фтористого аммония с массовой концентрацией 35 г/дм
.
Таблица 3
Массовая доля церия, % | Масса навески стали, г | ||||
От | 0,005 | до | 0,05 | включ. | 1,0 |
Св. | 0,05 | " | 0,1 | " | 0,5 |
" | 0,1 | " | 0,2 | " | 0,25 |
Раствор с осадком выдерживают в течение 40-45 мин, периодически перемешивая.
Осадок фторидов отфильтровывают на двойной фильтр плотный "синяя лента" и средней плотности "белая лента", промывают 6-7 раз соответственно раствором фтористого натрия или аммония с массовой концентрацией 2 г/дм. Фильтрат отбрасывают.
Осадок на фильтре растворяют в 120 см горячей смеси борной и соляной кислот (порциями по 20 cм
), собирая раствор в стакан (колбу), в котором проводилось осаждение фторидов. Фильтр промывают 5-6 раз горячей водой, присоединяя промывную жидкость к основному фильтрату. Фильтр отбрасывают.
Раствор выпаривают до влажных солей. Стенки стакана обмывают 30-40 см воды и растворяют содержимое стакана при нагревании. Приливают 30 см
насыщенного раствора щавелевой кислоты, раствор аммиака до рН 2 по универсальному индикатору при интенсивном перемешивании. Раствор с осадком нагревают до кипения, выдерживают при 85-90 °С в течение 30-40 мин, разбавляют водой до 120 см
и охлаждают. Через 12-18 ч осадок оксалатов отфильтровывают на двойной фильтр плотный "синяя лента" и средней плотности "белая лента" с добавлением небольшого количества беззольной бумажной массы, промывают 5-6 раз разбавленным раствором щавелевой кислоты. Фильтрат отбрасывают. Фильтр с осадком помещают в фарфоровый тигель, высушивают, озоляют при 400-450 °С, прокаливают при 800 °С в течение 1 ч и охлаждают.
Осадок оксидов церия и лантана переносят в стакан, приливают 5-10 см соляной кислоты, 3-5 см
азотной кислоты и 1-2 см
перекиси водорода и кипятят до растворения оксидов церия и лантана. Приливают 8 см
серной кислоты (1:1) и выпаривают до выделения паров серной кислоты. Содержимое стакана охлаждают, обмывают стенки стакана водой и вновь выпаривают до выделения паров серной кислоты.
Соли растворяют в 10-15 см воды при нагревании, доливают объем раствора до 25-35 см
.
В стакан погружают электроды, включают мешалку и устанавливают напряжение 0,9 В при титровании с платиновым и каломельным электродами или 0,5 В с двумя платиновыми электродами. Приливают 10 см пирофосфата калия и перемешивают раствор.
Через 10 мин к раствору приливают по каплям раствор марганцовокислого калия до розовой окраски, не исчезающей в течение 2 мин. Избыток марганцовокислого калия восстанавливают, приливая по каплям раствор азотистокислого натрия, и приливают 5 см раствора мочевины.
Отмечают на миллиметровой бумаге начальное положение стрелки гальванометра, добавляют из микробюретки порциями по 0,2 и 0,1 см, а затем по 0,05-0,02 см
раствора соли Мора, наносят на бумаге соответствующие каждой добавке реактива значения силы тока. Сначала стрелка гальванометра неподвижна, а после точки эквивалентности резко движется вправо.
Строят кривую титрования: по оси абсцисс откладывают расход двойной сернокислой соли закиси железа и аммония, по оси ординат - величину силы тока. Находят точку эквива
лентности.
3.4. Обработка результатов
3.4.1. Массовую долю церия () в процентах вычисляют по формуле
,
где - массовая концентрация раствора двойной сернокислой соли закиси железа и аммония по церию, г/см
;
- объем раствора двойной сернокислой соли закиси железа и аммония, израсходованный на титрование испытуемого образца, см
;
- объем раствора двойной сернокислой соли закиси железа и аммония, израсходованный на титрование контрольного опыта, см
;
- масса навески стали, г
.
3.4.2. Абсолютные допускаемые расхождения результатов параллельных определений при доверительной вероятности = 0,95 не должны превышать значения, приведенных в табл. 2.
Текст документа сверен по:
официальное издание
М.: Издательство стандартов, 1984
Разместите заказ
сами сделают вам предложение
