ГОСТы сталей. ГОСТ 12363-79
ГОСТ 12363-79
Группа В39
ГОСУДАРСТВЕННЫЙ СТАНДАРТ СОЮ3А ССР
СТАЛИ ЛЕГИРОВАННЫЕ И ВЫСОКОЛЕГИРОВАННЫЕ
Методы определения селена
Alloy and high-alloy steels.
Methods of selenium determination
ОКСТУ 0809
Дата введения 1981-01-01
УТВЕРЖДЕН И ВВЕДЕН В ДЕЙСТВИЕ постановлением Государственного комитета СССР по стандартам от 5 июня 1979 г. N 2018
Проверен в 1985 г. Постановлением Госстандарта от 20.06.85 N 1808 срок действия продлен до 01.01.96*
_________________
* Ограничение срока действия снято по протоколу N 5-94 Межгосударственного Совета по стандартизации, метрологии и сертификации (ИУС N 11-12, 1994 г.). - Примечание "КОДЕКС".
ВЗАМЕН ГОСТ 12363-66, кроме общих указаний
ПЕРЕИЗДАНИЕ (декабрь 1986 г.) с Изменением N 1, утвержденным в июне 1985 г. (ИУС 9-85).
Настоящий стандарт устанавливает титриметрический и фотометрический методы определения селена (при массовых долях от 0,03 до 0,50%), экстракционно-фотометрический метод определения селена (при массовой доле от 0,06 до 0,5%) полярографический метод определения селена (при массовой доле от 0,05 до 0,50%) в легированных и высоколегированных сталях.
1. ОБЩИЕ ТРЕБОВАНИЯ
1. ОБЩИЕ ТРЕБОВАНИЯ
Общие требования к методам анализа по ГОСТ 20560-81.
2. ТИТРИМЕТРИЧЕСКИЙ МЕТОД ОПРЕДЕЛЕНИЯ СЕЛЕНА
2.1. Сущность метода
Селен (IV) восстанавливают сернистой кислотой до элементного селена, осадок которого отделяют, а затем растворяют в кислотах. Селен (IV) восстанавливают йодидом калия и титруют выделившийся при этом йод раствором тиосульфата натрия.
2.2. Реактивы и растворы
Кислота соляная по ГОСТ 3118-77 и разбавленная 1:2, 1:3, 1:10.
Кислота азотная по ГОСТ 4461-77.
Кислота серная по ГОСТ 4204-77, разбавленная 1:4.
Мочевина по ГОСТ 6691-77.
Крахмал растворимый по ГОСТ 10163-76, раствор: 1 г крахмала размешивают в 5 см воды, приливают при перемешивании 100 см
горячей воды, доводят до кипения и охлаждают. Готовят в день употребления.
Калий йодистый по ГОСТ 4232-74, раствор: 30 г йодистого калия растворяют в 100 см воды. Готовят перед употреблением.
Кислота сернистая, 6%-ный раствор. Готовят насыщением воды газообразным сернистым ангидридом, который получают действием серной кислоты на металлическую медь при нагревании.
Насыщение воды газообразным сернистым ангидридом контролируют перманганатометрически титрованием раствора сернистой кислоты.
К 50-70 см воды в конической колбе вместимостью 250 см
приливают 1 см
насыщенного раствора сернистой кислоты, 15 см
серной кислоты (1:4) и титруют 0,1 моль/дм
раствором перманганата калия (3,2 г/дм
) до появления розовой окраски.
Насыщение прекращают, когда на титрование расходуется не менее 15 см 0,1 моль/дм
раствора перманганата калия.
Применяют свежеприготовленный раствор сернистой кислоты.
Селен металлический по ГОСТ 5455-74.
Кислота селенистая, стандартный раствор: 1 г металлического селена растворяют в 50 см азотной кислоты при нагревании на водяной бане. Раствор охлаждают, переносят в мерную колбу вместимостью 1 дм
разбавляют до метки водой и перемешивают. 1 см
полученного раствора содержит 0,001 г селена.
Натрия тиосульфат кристаллический по ГОСТ 244-76, 0,01 моль/дм титрованный раствор: 2,48 г тиосульфата натрия растворяют в 1 дм
свежепрокипяченной и охлажденной воды и добавляют 0,1 г углекислого натрия. Раствор хранят в склянке из темного стекла. Массовая концентрация раствора устанавливают через 2-3 дня по стандартному раствору селенистой кислоты.
2-4 см стандартного раствора селенистой кислоты помещают в коническую колбу вместимостью 250 см
, приливают 100 см
нагретой до кипения воды и 25 см
соляной кислоты. Добавляют 2 г мочевины, раствор перемешивают и, спустя 20 мин, охлаждают. К раствору приливают 80 см
воды, 10 см
раствора йодистого калия, перемешивают и оставляют на 2-3 мин. Затем приливают 2 см
раствора крахмала и титруют тиосульфатом натрия с концентрацией эквивалента 0,01 моль/дм
до исчезновения синей окраски.
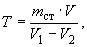
Концентрацию раствора тиосульфата натрия по селену г/см
, вычисляют по формуле
![]()
где - масса селена в 1 см
стандартного раствора, г;
- объем стандартного раствора селенистой кислоты, взятый на титрование, см
;
- объем раствора тиосульфата натрия, израсходованный на титрование, мл;
- объем раствора тиосульфата натрия, израсходованный на титрование в контрольном опыте, см
.
(Измененная редакция, Изм. N 1)
.
2.3. Проведение анализа
Навеску стали массой 2 г помещают в стакан вместимостью 300-400 см, приливают по 15 см
азотной и соляной кислоты и 25 см
воды. Растворяют навеску при умеренном нагревании, а затем выпаривают раствор досуха при слабом нагревании (до 120 °С).
К сухому остатку приливают 20 см соляной кислоты (1:2) и содержимое стакана нагревают на водяной бане до растворения солей. Раствор охлаждают, добавляют немного фильтробумажной массы, приготовленной из беззольных фильтров средней плотности ("белая лента"), приливают 140 см
соляной кислоты, 70 см
раствора сернистой кислоты и тщательно перемешивают раствор стеклянной палочкой. Стакан помещают на водяную баню с температурой 60-70 °С на 30-40 мин, а затем оставляют на ночь. Выпавший осадок элементного селена вместе с фильтровальной массой отфильтровывают на плотный фильтр ("синяя лента") и промывают 5-6 раз соляной кислотой (1:3), 5-6 раз горячим раствором соляной кислоты (1:10) и 5-6 раз горячей водой. Затем фильтр с осадком помещают в стакан, в котором осаждался элементный селен, приливают 25 см
горячей соляной кислоты и 7-10 капель азотной кислоты. Нагревают содержимое стакана до полного растворения осадка элементного селена на водяной бане (10-15 мин), приливают 100 см
нагретой до кипения воды, добавляют 2 г мочевины, перемешивают и оставляют на 20 мин. Затем охлаждают раствор, приливают 80 см
воды, 10 см
раствора йодистого калия, перемешивают и оставляют на 2-3 мин. Приливают 2 см
раствора крахмала и титруют раствором тиосульфата натрия до полного исчезновения синей окр
аски.
2.4. Обработка результатов
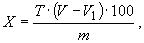
2.4.1. Массовую долю селена в процентах вычисляют по формуле
где - концентрация раствора тиосульфата натрия по селену, г/см
;
- объем раствора тиосульфата натрия, израсходованный на титрование, см
;
- объем раствора тиосульфата натрия, израсходованный на титрование в контрольном опыте, см
;
- масса навески стали, г
.
2.4.2. Абсолютные допускаемые расхождения результатов параллельных определений при доверительной вероятности = 0,95 не должны превышать значений, указанных в табл. 1.
Массовая доля селена, % | Абсолютные допускаемые расхождения, % | |
От 0,03 до | 0,05 | 0,008 |
Св. 0,05 " | 0,10 | 0,01 |
" 0,10 " | 0,25 | 0,02 |
" 0,25 " | 0,50 | 0,03 |
3. ФОТОМЕТРИЧЕСКИЙ МЕТОД ОПРЕДЕЛЕНИЯ СЕЛЕНА
3.1. Сущность метода
Селен (IV) восстанавливают сернокислым гидразином в присутствии монохлорида йода до элементного селена, осадок которого отделяют, а затем растворяют в кислотах. Селен (IV) в растворе вновь восстанавливают до элементного хлористым оловом в присутствии сернокислой меди и желатина и измеряют поглощение коллоидного раствора элементного селена.
3.2. Аппаратура, реактивы и растворы
Спектрофотометр или фотоэлектроколориметр.
Кислота азотная по ГОСТ 4461-77.
Кислота соляная по ГОСТ 3118-77.
Смесь соляной и азотной кислот, свежеприготовленная: к 150 см соляной кислоты приливают 50 см
азотной кислоты и перемешивают.
Монохлорид йода, раствор: 0,1395 г йодата калия и 0,0890 г йодида калия растворяют в 125 см воды и сразу же прибавляют 125 см
соляной кислоты.
Гидразин сернокислый по ГОСТ 5841-74, горячий раствор 100 г/дм.
Медь сернокислая по ГОСТ 4165-78, раствор 20 г/дм.
Олово двухлористое по ГОСТ 36-78, раствор 100 г/дм в 20%-ной соляной кислоте.
Желатин по ГОСТ 23058-78; раствор 10 г/дм свежеприготовленный: 1 г желатина помещают в коническую колбу, приливают 100 см
воды и оставляют при комнатной температуре на 25-30 мин, перемешивая раствор 3-4 раза, затем раствор нагревают до 60-70 °С и выдерживают при этой температуре до полного растворения желатина.
Селен металлический по ГОСТ 5455-74.
Кислота селенистая, стандартный раствор: 0,1 г металлического селена растворяют в 10 см соляной кислоты с добавлением 20-25 капель азотной кислоты при нагревании на водяной бане в конической колбе вместимостью 50 см
, закрытой часовым стеклом. Раствор охлаждают, переносят в мерную колбу вместимостью 1 дм
, доливают до метки водой и перемешивают. 1 см
полученного раствора содержит 0,1 мг
селена.
3.3. Проведение анализа
Навеску стали массой 0,5 г при массовой доле селена от 0,03 до 0,05%, 0,25 г при массовой доле селена свыше 0,05 до 0,20% и 0,1 г при массовой доле селена свыше 0,20 до 0,50% помещают в коническую колбу вместимостью 50-100 см, приливают 6-7 см
, смеси соляной и азотной кислот, колбу закрывают часовым стеклом и растворяют навеску стали при умеренном нагревании. Раствор охлаждают, переносят в коническую колбу вместимостью 250 см
, смывая стенки колбы 70-80 см
воды. Раствор нагревают на водяной бане до 40-50 °С, приливают в колбу 10 см
раствора монохлорида йода, добавляют немного фильтробумажной массы, 15 см
10%-ного горячего раствора сернокислого гидразина и перемешивают. Колбу с раствором оставляют на водяной бане в течение одного часа. Затем раствор охлаждают до комнатной температуры, осадок элементного селена отфильтровывают на фильтр средней плотности ("белая лента") диаметром 7 см
. Промывают колбу и фильтр с осадком 3-4 раза малыми порциями воды. Осадок на фильтре растворяют в 5-7 см
горячей соляной кислоты, к которой добавлены три капли азотной кислоты, собирая фильтрат в мерную колбу вместимостью 25 см
. Промывают фильтрат малыми порциями горячей воды до тех пор, пока объем фильтрата не достигнет 15 см
. Фильтрат охлаждают до комнатной температуры, вводят в колбу 2 капли раствора сернокислой меди, 2 см
раствора желатина и постепенно, при перемешивании, 2 см
раствора двухлористого олова. Раствор разбавляют до метки водой, перемешивают и через 15-20 мин измеряют оптическую плотность на спектрофотометре при длине волны 453 нм или на фотоэлектроколориметре со светофильтром, имеющим область пропускания 450-480 нм в кювете с толщиной слоя 1 см. В качестве раствора сравнения используют воду. Массу селена в граммах с учетом поправки контрольного опыта определяют по градуировочному графику.
3.3.1. Построение градуировочного графика
В шесть конических колб вместимостью по 100 см помещают в зависимости от предполагаемой массовой доли селена в анализируемой пробе 0,1; 0,25 или 0,5 г стали, близкой по составу к анализируемой, но не содержащей селена (см. п.3.3). В пять колб последовательно приливают 1, 2, 3, 4, 5 см
стандартного раствора селена, что соответствует 0,0001; 0,0002; 0,0003; 0,0004; 0,0005 г селена. В каждую колбу добавляют по 6-7 см
смеси соляной и азотной кислот и далее проводят анализ, как указано в п.3.3. Из значений оптической плотности анализируемых растворов вычитают значение оптической плотности раствора контрольного опыта. По найденным величинам оптической плотности и соответствующим им значениям масс селена строят градуировочный график.
3.2.-3.3.1. (Измененная редакция, Изм. N 1).
3.4. Обработка результатов
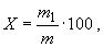
3.4.1. Массовую долю селена в процентах вычисляют по формуле
где - масса селена, найденная по градуировочному графику, г;
- масса навески стали, г.
3.4.2. Абсолютные допускаемые расхождения результатов параллельных определений при доверительной вероятности = 0,95 не должны превышать значений, указанных в табл. 1.
4. ЭКСТРАКЦИОННО-ФОТОМЕТРИЧЕСКИЙ МЕТОД
4.1. Сущность метода
Метод основан на экстракции толуолом комплексного соединения селена (IV) с ортофенилендиамином и измерении светопоглощения полученного экстракта при длине волны 330 нм. Влияние сопутствующих элементов устраняют прибавлением ортофосфорной кислоты и трилона Б.
4.2. Аппаратура, реактивы и растворы
Спектрофотометр с принадлежностями; рН-метр-милливольтметр.
Кислота соляная по ГОСТ 3118-77.
Кислота азотная по ГОСТ 4461-77.
Смесь соляной и азотной кислот: к 150 см соляной кислоты приливают 50 см
азотной кислоты при перемешивании.
Кислота серная особой чистоты по ГОСТ 14262-78 или ГОСТ 4204-77, раствор 1:1 и 0,5 моль/дм.
Кислота муравьиная по ГОСТ 5848-73.
Кислота ортофосфорная по ГОСТ 6552-80.
Аммиак водный по ГОСТ 3760-79.
Ортофенилендиамин, перекристаллизованный, свежеприготовленный раствор с концентрацией 10 г/дм.
Толуол по ГОСТ 5789-78.
Соль динатриевая-
-тетрауксусной кислоты, 2-водная (трилон Б) по ГОСТ 10652-73, раствор с концентрацией эквивалента 0,1 моль/дм.
Селен высокой чистоты.
Стандартные растворы селена (IV).
Раствор А (концентрация селена 0,0001 г/см): 0,1 г селена помещают в стакан, прибавляют 10 см
азотной кислоты, растворяют при слабом нагревании, прибавляют 10 см
разбавленного 1:1 раствора серной кислоты и выпаривают до начала выделения паров серной кислоты.
Образовавшиеся соли растворяют при нагревании в 20-30 см воды, раствор переводят в мерную колбу вместимостью 1 дм
, доводят водой до метки и перемешивают.
Раствор Б (концентрация селена 0,00002 г/см), готовят перед употреблением разбавлением раствора А:200 см
раствора А переносят в мерную колбу вместимостью 1 дм
, доливают до метки водой и перем
ешивают.
4.3. Проведение анализа
4.3.1. Масса навески пробы в зависимости от массовой доли селена приведена в табл. 2.
Таблица 2
Массовая доля селена, % | Масса навески пробы, г |
От 0,06 до 0,1 | 0,4 |
" 0,1 " 0,15 | 0,25 |
" 0,15 " 0,25 | 0,15 |
" 0,25 " 0,5 | 0,1 |
Навеску стали помещают в стакан, прибавляют 30 см смеси азотной и соляной кислот 1:3, растворяют при слабом нагревании, прибавляют 20 см
разбавленного (1:1) раствора серной кислоты и выпаривают раствор при слабом нагревании до начала выделения паров серной кислоты. Полученные соли растворяют при нагревании в 30-40 см
воды, раствор переводят в мерную колбу вместимостью 100 см
, доводят водой до метки, перемешивают и фильтруют через сухой фильтр в сухую коническую колбу, отбрасывая первые порции фильтрата. Аликвотную часть раствора 10 см
помещают в стакан, прибавляют 20 см
воды, 2 см
муравьиной кислоты, 5 см
ортофосфорной кислоты, 1 см
трилона Б, перемешивают и прибавляют аммиак водный до рН 1 (контроль по рН-метру). К полученному раствору прибавляют 3 см
раствора ортофенилендиамина, перемешивают и оставляют на 20 мин. Раствор переводят в делительную воронку, обмывая стенки стакана минимальным количеством воды, прибавляют 10 см
толуола и встряхивают в течение 2 мин.
После расслоения нижний слой сливают и отбрасывают. Экстракт, содержащий комплексное соединение селена с ортофенилендиамином, фильтруют через стеклянную воронку с ватным тампоном, собирая фильтрат в мерную колбу вместимостью 25 см, и промывают тампон небольшим количеством толуола. Фильтрат в колбе доводят толуолом до метки, перемешивают и фотометрируют на спектрофотометре при
= 330 нм в кварцевой кювете с толщиной слоя 10 мм, применяя в качестве раствора сравнения
толуол.
4.3.2. Построение градуировочного графика
В шесть стаканов вместимостью 300-400 см последовательно приливают 5,0; 10,0; 15,0; 20,0; 25,0; 30,0 см
стандартного раствора селена Б, что соответствует 0,0001; 0,0002; 0,0003; 0,0004; 0,0005; 0,0006 г селена, прибавляют 30 см
смеси соляной и азотной кислот 3:1 и далее поступают, как указано в п.4.3.1.
По найденным значениям оптической плотности и соответствующим им массам селена строят градуировочный график.
4.4. Обработка результатов
4.4.1. Массовую долю селена в процентах вычисляют по формуле
где - масса селена, найденная по градуировочному графику, г;
- масса навески стали, г.
4.4.2. Абсолютные допускаемые расхождения результатов параллельных определений при доверительной вероятности = 0,95 не должно превышать значений, указанных в табл. 1.
5. ПОЛЯРОГРАФИЧЕСКИЙ МЕТОД
5.1. Сущность метода
Метод основан на регистрации поляризационных кривых восстановления селена (IV) в растворе серной кислоты (0,5 моль/дм) на поверхности ртутного капающего электрода. От сопутствующих элементов селен отделяют в виде элементного восстановлением сернокислым гидразином.
5.2. Аппаратура, реактивы и растворы
Полярограф осциллографический ПО-5122 или переменного тока ППТ-1. Допускается применять полярографы других марок.
Ячейка полярографическая, выполненная из стекла, с анодом (донная ртуть) и ртутным капающим катодом, прилагаемая к полярографу.
Кислота соляная по ГОСТ 3118-77.
Кислота азотная по ГОСТ 4461-77.
Смесь соляной и азотной кислот: к 150 см соляной кислоты приливают 50 см
азотной кислоты при перемешивании.
Кислота серная особой чистоты по ГОСТ 14262-78 или ГОСТ 4204-77, раствор 1:1 и 0,5 моль/дм.
Калий йодистый по ГОСТ 4232-74.
Калий йодноватокислый по ГОСТ 4202-75.
Раствор, содержащий йодистый калий и йодноватокислый калий: 0,14 г йодистого калия и 0,09 г йодноватокислого калия помещают в стакан, приливают 125 см воды и сразу же 125 см
соляной кислоты и перемешивают.
Гидразин сернокислый по ГОСТ 5841-74, раствор 100 г/дм.
Селен высокой чистоты.
Стандартный раствор селена (IV).
Раствор А с массовой концентрацией селена 0,0001 г/см: 0,1 г селена помещают в стакан, прибавляют 10 см
азотной кислоты, растворяют при слабом нагревании, прибавляют 10 см
разбавленного (1:1) раствора серной кислоты и выпаривают до начала выделения паров серной кислоты.
Образовавшиеся соли растворяют при нагревании в 20-30 см воды, раствор переводят в мерную колбу вместимостью 1 дм
, доводят водой до метки и перемеши
вают.
5.3. Проведение анализа
Масса навески и разведение раствора в зависимости от массовой доли селена указаны в табл. 3.
Таблица 3
Массовая доля селена, % | Масса навески, г | Вместимость колбы, см |
От 0,05 до 0,1 | 1 | 50 |
" 0,1 " 0,20 | 1 | 100 |
" 0,20 " 0,50 | 0,5 | 100 |
Навеску стали помещают в стакан, приливают 20 см смеси азотной и соляной кислот 1:3, 5 см
серной кислоты, разбавленной 1:1, и растворяют при слабом нагревании. Добавляют 80-90 см
теплой воды, 20 см
раствора, содержащего йодистый и йодноватокислый калий, 30 см
подогретого сернокислого гидразина, немного фильтробумажной массы и выдерживают на теплом месте в течение 1 ч. Осадок отфильтровывают на фильтр средней плотности, промывают 5-6 раз теплой водой. Затем растворяют осадок 20 см
горячей соляной кислоты, содержащей 6-8 капель азотной кислоты, и промывают фильтр 3-4 раза теплой водой. К раствору приливают 20 см
серной кислоты, разбавленной 1:1, и выпаривают осторожно до начала выделения паров серной кислоты, прибавляют 2-3 капли азотной кислоты, обмывают стенки стакана водой и снова выпаривают до паров серной кислоты.
Содержимое стакана охлаждают, прибавляют 20-30 см воды, нагревают до растворения солей. Раствор переводят в мерную колбу соответствующей вместимости (см. табл. 3), доливают до метки водой и перемешивают.
Аликвотную часть раствора 5 см помещают в мерную колбу вместимостью 50 см
, приливают до метки раствор серной кислоты 0,5 моль/дм
и перемешивают. Раствор помещают в электролитическую ячейку и снимают полярограмму от минус 0,5 В до минус 1,2 В, регистрируя пик восстановления селена (IV) при минус 0,85 В.
Для приготовления раствора сравнения в три стакана помещают такое количество стандартного раствора селена А, масса селена в котором близка к массе селена в навеске образца, приливают 20 см смеси кислот, 5 см
серной кислоты, разбавленной 1:1. Далее поступают, как указано в
п.5.3.
5.4. Обработка результатов
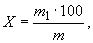
5.4.1. Массовую долю селена в процентах находят методом сравнения по формуле
![]()
где - масса селена в растворе сравнения, г;
- высота пика селена для раствора анализируемого образца, мм;
- среднее арифметическое значение высоты пика селена для растворов сравнения, мм;
- среднее арифметическое значение высоты пика контрольных опытов, мм;
- масса навески пробы, г.
5.4.2. Абсолютные допускаемые расхождения результатов параллельных определений при доверительной вероятности = 0,95 не должны превышать значений, указанных в табл. 1.
Разд.4; 5. (Введены дополнительно, Изм. N 1).
Текст документа сверен по:
официальное издание
М.: Издательство стандартов, 1986
Разместите заказ
сами сделают вам предложение
