ГОСТы сталей. ГОСТ 12362-79
ГОСТ 12362-79
Группа В39
ГОСУДАРСТВЕННЫЙ СТАНДАРТ СОЮЗА ССР
СТАЛИ ЛЕГИРОВАННЫЕ И ВЫСОКОЛЕГИРОВАННЫЕ
Методы определения микропримесей сурьмы, свинца,
олова, цинка и кадмия
Alloy and high-alloy steels. Methods for determination
of stibium, lead, tin, zinc and cadmium
Дата введения 1981-01-01
УТВЕРЖДЕН И ВВЕДЕН В ДЕЙСТВИЕ постановлением Государственного комитета СССР по стандартам от 12 ноября 1979 г. № 4289
Проверен в 1985 г. Постановлением Госстандарта от 20.06.85 № 1809 срок действия продлен до 01.01.96*
___________________
* Ограничение срока действия снято по протоколу № 5-94 Межгосударственного Совета по стандартизации, метрологии и сертификации (ИУС № 11-12, 1994 г.). - Примечание изготовителя базы данных.
ВЗАМЕН ГОСТ 12362-66
ПЕРЕИЗДАНИЕ (декабрь 1986 г. с Изменением N 1, утвержденным в июне 1985 г. (ИУС 9-85).
Настоящий стандарт устанавливает методы определения сурьмы, свинца, олова, цинка и кадмия в легированных и высоколегированных сталях.
1. ОБЩИЕ ТРЕБОВАНИЯ
1. ОБЩИЕ ТРЕБОВАНИЯ
Общие требования к методам анализа - по ГОСТ 20560-81.
2. ЭКСТРАКЦИОННО-ФОТОМЕТРИЧЕСКИЙ МЕТОД ОПРЕДЕЛЕНИЯ СУРЬМЫ (0,0002 - 0,01%) В СТАЛЯХ, СОДЕРЖАЩИХ НЕ БОЛЕЕ 3% ВОЛЬФРАМА И НЕ БОЛЕЕ 3% ТИТАНА
2.1. Сущность метода
Метод основан на реакции взаимодействия аниона сурьмы [
] с бриллиантовым зеленым в среде 1 М соляной и 1 М серной кислот с образованием комплексного соединения, окрашенного в сине-зеленый цвет, экстрагируемого толуолом. Измерение светопоглощения экстракта проводят при = 640 нм.
2.2. Аппaратура, реактивы и растворы
Спектрофотометр, спектрофотоколориметр или фотоэлектроколориметр.
Кислота соляная по ГОСТ 3118-77 или ГОСТ 14261-77 и разбавленная 1:1 и 1:5.
Кислота азотная по ГОСТ 4461-77 или ГОСТ 11125-78 и разбавленная 1:1.
Кислота серная по ГОСТ 4204-77 или ГОСТ 14262-78.
Смесь соляной и азотной кислот (свежеприготовленная): к 150 см соляной кислоты приливают 50 см
азотной кислоты и перемешивают.
Натрий азотистокислый по ГОСТ 4197-74, раствор 100 г/дм.
Мочевина по ГОСТ 6691-77, насыщенный раствор: 100 г мочевины помещают в стакан вместимостью 250-300 см и растворяют в 100 см
воды.
Олово хлористое по ГОСТ 36-78, раствор 250 г/дм в соляной кислоте, разбавленной 1:5.
Железо карбонильное радиотехническое по ГОСТ 13610-79 или нормативно-технической документации.
Бриллиантовый зеленый, раствор 5 г/дм: 0,5 г бриллиантового зеленого растворяют в 100 см
этилового спирта, разбавленного водой в соотношении 1:3.
Толуол по ГОСТ 5789-78.
Сурьма марки Су00 по ГОСТ 1089-82.
Стандартные растворы сурьмы.
Раствор А: 0,05 г сурьмы растворяют в 25 см серной кислоты при нагревании. Раствор охлаждают, приливают еще 25 см
серной кислоты, осторожно при непрерывном перемешивании раствор переносят в мерную колбу вместимостью 500 см
, содержащую 300 см
воды, охлаждают, доливают до метки водой и перемешивают.
1 см стандартного раствора А содержит 0,0001 г сурьмы.
Раствор Б: 5 см стандартного раствора А переносят в мерную колбу вместимостью 50 см
, приливают 30 см
воды, 5 см
серной кислоты при непрерывном перемешивании раствора, охлаждают, доливают водой до метки и перемешивают.
1 см стандартного раствора Б содержит 0,00001 г сурьмы.
Раствор готовят в день употребления.
Раствор В: 5 см стандартного раствора Б переносят в мерную колбу вместимостью 50 см
, приливают 30 см
воды, 5 см
серной кислоты при непрерывном перемешивании раствора, охлаждают, доливают до метки водой, перемешивают.
1 см стандартного раствора В содержит 0,000001 г сурьмы.
Раствор готовят в день употребления.
(Измененная ред
акция, Изм. № 1).
2.3. Проведение анализа
2.3.1. Массу навески стали в зависимости от массовой доли сурьмы определяют по табл. 1.
Таблица 1
Массовая доля сурьмы, % | Масса навески, г | Объем раствора после разбавления, см | Объем аликвотной части раствора, см | Масса навески стали, соответствующая аликвотной части раствора, г |
От 0,0002 до 0,0005 | 0,5 | 20 | Весь | 0,5 |
Св. 0,0005 " 0,001 | 0,5 | 20 | Весь | 0,5 |
" 0,001 " 0,0025 | 0,25 | 20 | Весь | 0,25 |
" 0,0025 " 0,005 | 0,25 | 50 | 10 | 0,05 |
" 0,005 " 0,01 | 0,25 | 50 | 10 | 0,05 |
Навеску помещают в стакан вместимостью 250-300 см или колбу вместимостью 250 см
, приливают 30 см
смеси соляной и азотной кислот и 5 см
серной кислоты. Стакан накрывают часовым стеклом и растворяют навеску при умеренном нагревании. Раствор выпаривают до начала выделения паров серной кислоты, охлаждают.
При массовой доле сурьмы от 0,0002 до 0,0025% к содержимому стакана приливают 15 см соляной кислоты (1:1), умеренно нагревают до растворения солей и охлаждают. К раствору приливают от 1 до 5 см
раствора хлористого олова до полного восстановления железа (III), от 2 до 5 см
раствора азотистокислого натрия до просветления раствора и установления неизменяющейся его окраски, дают ему постоять 3 мин. Затем приливают 1 см
насыщенного раствора мочевины, перемешивают раствор и переносят в делительную воронку вместимостью 250 см
. К раствору приливают 50-60 см
воды, 15 капель раствора 5 г/дм
бриллиантового зеленого, 10 см
толуола, после чего воронку с раствором энергично встряхивают в течение 1 мин. Толуольному и водному слоям дают отстояться в течение 0,5 мин, водный слой сливают, а толуольный отфильтровывают через вату в кювету с толщиной слоя 10 мм и через 30 мин измеряют оптическую плотность раствора на спектрофотометре при
= 640 нм или на фотоэлектроколориметре со светофильтром, имеющим область пропускания в интервале длин волн от 610 до 700 нм.
В качестве раствора сравнения используют толуол. Одновременно проводят контрольный опыт на загрязнение реактивов.
Содержание сурьмы находят по градуировочному графику с учетом поправки контрольного опыта.
При массовой доле сурьмы свыше 0,0025 до 0,01% навеску пробы после выпаривания с серной кислотой растворяют в 15 см соляной кислоты (1:1). Раствор переносят в мерную колбу вместимостью 50 см
, доливают соляной кислотой (1:1) до метки и перемешивают. Аликвотную часть раствора (табл. 1) помещают в стакан и далее анализ проводят, как указано выше.
(Измененная редакция, Изм. N 1).
2.3.2. Построение градуировочного графика.
В шесть стаканов (или колб) вместимостью 250-300 см помещают по 0,25 г карбонильного железа. В пять стаканов (или колб) приливают последовательно 1, 2, 3, 5, 8 см
стандартного раствора В, что соответствует 0,000001; 0,000002; 0,000003; 0,000005; 0,000008 г сурьмы. Шестой стакан (или колба) служит для проведения контрольного опыта. Во все стаканы добавляют 30 см
смеси соляной и азотной кислот, по 5 см
серной кислоты, накрывают стаканы часовыми стеклами, растворяют навеску при умеренном нагревании и выпаривают до начала выделения паров серной кислоты. Далее анализ проводят, как указано в п. 2.3.1.
Из значения оптической плотности анализируемых растворов вычитают значение оптической плотности контрольного опыта. По найденным величинам оптической плотности и соответствующим им значениям концентраций сурьмы строят градуировочный график.
(Измененная редакция, Изм. N 1).
2.4. Обработка результатов
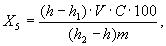
2.4.1. Массовую долю сурьмы () в процентах вычисляют по формуле
![]()
где - масса сурьмы, найденная по градуировочному графику, г;
- масса навески стали, соответствующая аликвотной части раствора, г.
2.4.2. Абсолютные допускаемые расхождения результатов параллельных определений при доверительной вероятности = 0,95 не должны превышать значений, указанных в табл. 2.
Таблица 2
Массовая доля сурьмы, % | Абсолютные допускаемые расхождения, % |
От 0,0002 до 0,0005 | 0,0003 |
Св. 0,0005 " 0,001 | 0,0007 |
" 0,001 " 0,002 | 0,0015 |
" 0,002 " 0,004 | 0,0020 |
" 0,004 " 0,01 | 0,0035 |
3. ЭКСТРАКЦИОННО-ФОТОМЕТРИЧЕСКИЙ МЕТОД ОПРЕДЕЛЕНИЯ СУРЬМЫ (0,0005-0,01%) В СТАЛЯХ, СОДЕРЖАЩИХ БОЛЕЕ 3% ВОЛЬФРАМА И БОЛЕЕ 3% ТИТАНА
3.1. Сущность метода
Метод основан на реакции взаимодействия аниона сурьмы [
] с метиленовым голубым в среде 4 М серной и 1 М соляной кислот с образованием комплексного соединения, окрашенного в голубой цвет, экстрагируемого хлороформом или с бриллиантовым зеленым в среде 1 М соляной и 1 М серной кислот с образованием комплексного соединения, окрашенного в сине-зеленый цвет, экстрагируемого толуолом. Максимальное светопоглощение раствора наблюдается при = 655 нм или
= 640 нм соответственно.
Сурьму предварительно отделяют от мешающих элементов осаждением в виде сульфида тиоацетамидом в 0,5 М солянокислом растворе в присутствии винной кислоты с использованием в качестве коллектора сульфида ртути.
3.2. Aппаратура, реактивы и растворы
Спектрофотометр, спектрофотоколориметр, фотоэлектроколориметр.
Кислота соляная по ГОСТ 3118-77 или ГОСТ 14261-77.
Кислота азотная по ГОСТ 4461-77 или ГОСТ 11125-78.
Кислота серная по ГОСТ 4204-77 или ГОСТ 14262-78.
Кислота ортофосфорная по ГОСТ 6552-80.
Смесь соляной и азотной кислот свежеприготовленная (к 150 см соляной кислоты приливают 50 см
азотной кислоты и перемешивают) и разбавленная 1:1.
Кислота винная по ГОСТ 5817-77, раствор 500 г/дм.
Аммиак водный по ГОСТ 3760-79.
Аммоний роданистый, раствор 50 г/дм.
Ртуть азотнокислая (окисная) по ГОСТ 4520-78, раствор 10 г/дм: 1 г азотнокислой ртути растворяют в 80 см
воды, содержащей 5 см
азотной кислоты. Раствор переносят в мерную колбу вместимостью 100 см
, доливают до метки водой и перемешивают.
Тиоацетамид, водный раствор 20 г/дм.
Натрий азотистокислый по ГОСТ 4197-74, раствор 100 г/дм.
Мочевина по ГОСТ 6691-77, насыщенный раствор: 100 г мочевины помещают в стакан вместимостью 250-300 см и растворяют в 100 см
воды.
Олово хлористое по ГОСТ 36-78, раствор 250 г/дм в соляной кислоте, разбавленной 1:5.
Гидроксиламин солянокислый по ГОСТ 5456-79.
Бриллиантовый зеленый, раствор 5 г/дм: 0,5 г бриллиантового зеленого растворяют в 100 см
этилового спирта, разбавленного в соотношении 1:3.
Метиленовый голубой, водный раствор 1 г/дм.
Хлороформ по ГОСТ 20015-74.
Толуол по ГОСТ 5789-78.
Сурьма марки Су00 по ГОСТ 1089-82.
Стандартные растворы сурьмы.
Раствор А: 0,05 г сурьмы растворяют в 25 см серной кислоты. После растворения навески приливают еще 25 см
серной кислоты, раствор осторожно при непрерывном перемешивании переливают в мерную колбу вместимостью 500 см
, содержащую 300 см
воды, охлаждают, доливают до метки водой и перемешивают.
1 см стандартного раствора А содержит 0,0001 г сурьмы.
Раствор Б: 5 см стандартного раствора А переносят в мерную колбу вместимостью 50 см
, приливают 30 см
воды, 5 см
серной кислоты при непрерывном перемешивании раствора, охлаждают, доливают водой до метки и перемешивают.
1 см стандартного раствора Б содержит 0,00001 г сурьмы.
Раствор В: 5 см стандартного раствора Б переносят в мерную колбу вместимостью 50 см
, приливают 30 см
воды, 5 см
серной кислоты при непрерывном перемешивании раствора, охлаждают, доливают до метки водой, перемешивают.
1 см стандартного раствора В содержит 0,000001 г сурьмы.
Раствор готовят в день употребления.
Индикатор универсальный, бумага.
(Измененная редакция, Изм. N 1).
3.3. Проведение анализа
3.3.1. Массу навески стали в зависимости от массовой доли сурьмы определяют по табл. 3.
Таблица 3
Массовая доля сурьмы, % | Масса навески стали, г |
От 0,0005 до 0,001 | 0,5 |
Св. 0,001 " 0,004 | 0,5 |
" 0,004 " 0,008 | 0,25 |
" 0,008 " 0,01 | 0,20 |
Помещают в стакан или колбу вместимостью 250-300 см, приливают 30 см
смеси соляной и азотной кислот, 5 см
серной кислоты, стакан накрывают часовым стеклом и растворяют навеску при умеренном нагревании. Раствор выпаривают до начала выделения паров серной кислоты, охлаждают. К содержимому стакана приливают 50 см
воды, 15-20 см
раствора 500 г/дм
винной кислоты и нагревают раствор в течение 10 мин до растворения солей. Добавляют 20-30 см
раствора аммиака до получения рН 8-9 и нагревают до растворения вольфрамовой кислоты. К раствору приливают соляную кислоту до рН 2 по универсальному индикатору и избыток ее 7,5 см
. Раствор доливают водой до 150 см
и нагревают до начала кипения.
Осторожно добавляют 1-2 г солянокислого гидроксиламина и кипятят раствор до полного восстановления железа (по реакции с роданистым аммонием).
Прибавляют 10 см раствора тиоацетамида, выдерживают раствор при 90-95°С в течение 10 мин, добавляют 1 см
раствора 10 г/дм
азотнокислой ртути и через 10 мин прибавляют еще 10 см
раствора тиоацетамида. Раствор с выпавшим осадком сульфидов выдерживают при 85-90°С 30-40 мин и охлаждают. Через 2 ч осадок сульфидов отфильтровывают на два фильтра средней плотности (белая лента), промывают 6-7 раз водой. Фильтрат отбрасывают. Осадок на фильтре растворяют тремя порциями (по 10-15 см
) горячей смеси соляной и азотной кислот (1:1), собирая раствор в стакан или колбу, где проводилось осаждение сульфидов. Фильтр промывают 3-4 раза горячей водой, присоединяя промывную жидкость к основному фильтрату. Далее анализ проводят, как указано в пп. 3.3.1.1 или 3.3.1.2.
(Измененная редакция, Изм. № 1).
3.3.1.1. Определение сурьмы с метиленовым голубым.
К фильтрату приливают 6 см серной кислоты, накрывают стакан или колбу часовым стеклом, выпаривают раствор до появления паров серной кислоты и охлаждают.
К содержимому стакана или колбы приливают 6 см воды, нагревают до растворения солей, приливают 3 см
соляной кислоты. Раствор охлаждают, приливают 1 см
раствора хлористого олова, перемешивают. Затем прибавляют 3 см
раствора азотистокислого натрия и, периодически перемешивая раствор, дают раствору постоять в течение 3 мин. Приливают 1 см
насыщенного раствора мочевины, 1 см
ортофосфорной кислоты, перемешивают раствор и переносят его в делительную воронку вместимостью 250 см
. К раствору приливают воды до 30 м его объема, 0,5 см
раствора метиленового голубого, 30 см
хлороформа, после чего воронку энергично встряхивают в течение 1 мин. Хлороформному и водному слоям дают отстояться в течение 0,5 мин. Хлороформный слой отфильтровывают через вату, переносят в кювету с толщиной слоя 10 мм и измеряют оптическую плотность раствора на спектрофотометре при
= 655 нм или на фотоэлектроколориметре со светофильтром, имеющим область пропускания в интервале длин волн от 610 до 700 нм. В качестве раствора сравнения применяют хлороформ. Содержание сурьмы находят по градуировочному графику с учетом поправки контрольного опыта.
(Измененная редакция, Изм. № 1).
3.3.1.2. Определение сурьмы с бриллиантовым зеленым.
К фильтрату приливают 5 см серной кислоты, накрывают стакан часовым стеклом, выпаривают раствор до начала выделения паров серной кислоты и охлаждают. Далее анализ производят, как указано в п. 2.3.1. При массовой доле сурьмы свыше 0,001 до 0,01% навеску стали после выпаривания с серной кислотой растворяют в 15 см
соляной кислоты (1:1), раствор переносят в мерную колбу вместимостью 50 см
, доливают соляной кислотой (1:1) до метки, перемешивают и отбирают аликвотную часть раствора 10 см
. Далее анализ проводят, как указано в п. 2.3.
(Измененная редакция, Изм. № 1).
3.3.2. Построение градуировочных графиков
3.3.2.1. Построение градуировочного графика при определении сурьмы с метиленовым голубым.
В шесть стаканов или колб вместимостью 250-300 см помещают по 0,5 г карбонильного железа. В пять стаканов или колб приливают последовательно 0,2; 0,5; 1; 1,5; 2 см
стандартного раствора Б, что соответствует 0,000002; 0,000005; 0,000010; 0,000015; 0,00002 г сурьмы. Шестой стакан или колба служит для проведения контрольного опыта. Во все стаканы приливают по 30 см
смеси соляной и азотной кислот, по 5 см
серной кислоты, накрывают стаканы часовыми стеклами, нагревают до полного растворения карбонильного железа, выпаривают до появления паров серной кислоты и охлаждают. К содержимому стакана добавляют 50 см
воды, 10 см
раствора винной кислоты и нагревают растворы в течение 10 мин. Далее анализ проводят, как указано в пп. 3.3.1 и 3.3.1.1.
Из значения оптической плотности анализируемых растворов вычитают значение оптической плотности контрольного опыта.
По найденным значениям оптической плотности и соответствующим им значениям концентраций сурьмы строят градуировочный график.
3.3.2.2. Построение градуировочного графика при определении сурьмы с бриллиантовым зеленым.
В шесть стаканов или колб вместимостью 250-300 см помещают по 0,5 г карбонильного железа. В пять стаканов или колб приливают последовательно 2, 3, 4, 5, 6 см
стандартного раствора В, что соответствует 0,000002; 0,000003; 0,000004; 0,000005; 0,000006 г сурьмы. Шестой стакан или колба служит для проведения контрольного опыта. Во все стаканы или колбы приливают по 30 см
смеси соляной и азотной кислот, по 5 мл серной кислоты, накрывают стаканы часовыми стеклами, нагревают до полного растворения карбонильного железа, выпаривают до появления паров серной кислоты и охлаждают. К содержимому стакана или колбы приливают приблизительно 50 см
воды, 10 см
раствора 500 г/дм
винной кислоты и нагревают растворы в течение 10 мин.
Далее анализ проводят, как указано в пп. 3.3.1 и 3.3.1.2.
Из значения оптической плотности анализируемых растворов вычитают значение оптической плотности контрольного опыта. По найденным значениям оптической плотности и соответствующим им значениям концентраций сурьмы строят градуировочный график.
3.3.2.1, 3.3.2.2. (Измененная редакция, Изм. № 1).
3.4. Обработка результатов
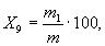
3.4.1. Массовую долю сурьмы () в процентах вычисляют по формуле
![]()
где - масса сурьмы, найденная по градуировочному графику, г;
- масса навески стали, г.
3.4.2. Абсолютные допускаемые расхождения результатов параллельных определений при доверительной вероятности = 0,95 не должны превышать значений, указанных в табл. 4.
Таблица 4
Массовая доля сурьмы, % | Абсолютные допускаемые расхождения, % |
|
|
Св. 0,001 " 0,002 | 0,0015 |
" 0,002 " 0,004 | 0,0020 |
" 0,004 " 0,01 | 0,0035 |
4. ФОТОМЕТРИЧЕСКИЙ МЕТОД ОПРЕДЕЛЕНИЯ СВИНЦА (0,0005-0,01%)
4.1. Сущность метода
Метод основан на образовании в слабощелочной среде (рН 11,5) в присутствии цианистого калия внутрикомплексного соединения свинца с дитизоном, окрашенного в красный цвет и экстрагируемого хлороформом. Максимальное светопоглощение раствора наблюдается при = 520 нм. Свинец предварительно отделяют от мешающих определению элементов осаждением в виде сульфида тиоацетамидом в аммиачном растворе (рН 7,5) в присутствии винной кислоты в качестве комплексообразующего вещества.
4.2. Аппаратура, реактивы и растворы
Спектрофотометр, спектрофотоколориметр или фотоэлектроколориметр.
рН-метр.
Термометр.
Кислота соляная по ГОСТ 3118-77 или ГОСТ 14261-77 и разбавленная 1:1.
Кислота азотная по ГОСТ 4461-77 или ГОСТ 11125-78, разбавленная 1:1, 1:100.
Смесь соляной и азотной кислот свежеприготовленная (к 150 мл соляной кислоты приливают 50 см азотной кислоты, перемешивают) и разбавленная 1:1.
Кислота винная по ГОСТ 5817-77, раствор 500 г/дм.
Аммиак водный по ГОСТ 3760-79 и разбавленный 1:1, 1:100, 1:200.
Калий цианистый, раствор 100 г/дм.
Буферный раствор (рН 11,5): к 10 см раствора 100 г/дм
цианистого калия приливают 7,5 см
раствора аммиака и доливают водой до 100 см
.
Железо карбонильное радиотехническое по ГОСТ 13610-79 или нормативно-технической документации.
Медь марки МО по ГОСТ 859-78 (СТ СЭВ 206-75), раствор 10 г/дм: 1 г металлической меди растворяют в 20-25 см
азотной кислоты (1:1). Раствор переносят в мерную колбу вместимостью 100 см
, доливают до метки водой и перемешивают.
1 см раствора содержит 0,01 г меди.
Тиоацетамид, водный раствор 20 г/дм.
Аммоний надсернокислый по ГОСТ 20478-75, раствор 25 г на 100 см.
Железо азотнокислое по ГОСТ 4111-74, 1 %-ный раствор: 1 г азотнокислого железа помещают в стакан вместимостью 100 см , растворяют в 50 см
воды, приливают 5 см
азотной кислоты, переносят в мерную колбу вместимостью 100 см
, доливают до метки водой и перемешивают.
Хлороформ по ГОСТ 20015-74, перегнанный при 61°С.
Дитизон по ГОСТ 10165-79, 0,04 %-ный раствор в хлороформе: 40 мг дитизона помещают в стакан вместимостью 100 см и растворяют в 50 см
хлороформа. Раствор дитизона в хлороформе переносят в делительную воронку вместимостью 200 см
и взбалтывают с 200 см
(порциями по 50 см
) раствора аммиака (1:100).
Дитизон переходит в водно-аммиачный слой, а продукты окисления остаются в хлороформном слое, который отбрасывают. Растворы объединяют и помещают в делительную воронку вместимостью 500 см, приливают по каплям соляную кислоту (1:1) до рН 4-5 по универсальному индикатору, добавляют 100 см
хлороформа.
Раствор в делительной воронке встряхивают в течение 1 мин.
Хлороформный слой сливают в другую делительную воронку вместимостью 500 см и промывают три раза водой. Полученный раствор дитизона в хлороформе фильтруют через сухую вату и хранят в склянке из темного стекла в прохладном месте.
Дитизон, 0,01%-ный раствор в хлороформе (для мытья посуды и реактивов): 25 см 0,04 %-ного pacтвopa дитизона переносят в мерную колбу вместимостью 100 см
, доливают до метки хлороформом и перемешивают.
Дитизон, 0,002%-ный раствор в хлороформе: 5 см 0,04 %-ного раствора дитизона переносят в мерную колбу вместимостью 100 см
, доливают до метки хлороформом и перемешивают.
Гидроксиламин солянокислый по ГОСТ 5456-79, раствор 40 г/дм, очищенный дитизоном: 300 см
1 %-ного раствора солянокислого гидроксиламина помещают в делительную воронку вместимостью 500 см
, добавляют по каплям раствор аммиака до рН 6-7 по универсальному индикатору и встряхивают последовательно с несколькими порциями по 10 см
0,01 %-ного раствора дитизона в хлороформе до тех пор, пока последняя порция дитизона не будет иметь темно-зеленый цвет. Избыток дитизона извлекают хлороформом до тех пор, пока последняя порция хлороформа не станет бесцветной.
Натрий лимоннокислый по ГОСТ 22280-76, раствор 100 г/дм, очищенный дитизоном: 300 см
раствора 100 г/дм
натрия лимоннокислого помещают в делительную воронку вместимостью 500 см
и встряхивают последовательно с несколькими порциями по 10 мл 0,01%-ного раствора дитизона в хлороформе до тех пор, пока последняя порция дитизона не будет иметь темно-зеленый цвет.
Избыток дитизона извлекают хлороформом до тех пор, пока последняя порция хлороформа не станет бесцветной.
Тимоловый синий, водный раствор: 0,1 г тимолового синего помещают в стакан вместимостью 100 см, растворяют в 50 см
воды, переносят в мерную колбу вместимостью 250 см
, доливают до метки водой и перемешивают.
Индикатор универсальный, бумага.
Свинец марки СО по ГОСТ 3778-77 (СТ СЭВ 142-75).
Стандартные растворы свинца.
Раствор А: 0,1 г свинца растворяют в 30 мл азотной кислоты при нагревании. Полученный раствор переносят в мерную колбу вместимостью 1 дм, доливают до метки водой и перемешивают.
1 см раствора А содержит 0,0001 г свинца.
Раствор Б: 10 см раствора А помещают в мерную колбу вместимостью 100 мл, приливают 10 см
азотной кислоты (1:1), доливают водой до метки и перемешивают.
1 см раствора Б содержит 0,00001 г свинца.
Раствор В: 10 мл раствора Б помещают в мерную колбу вместимостью 100 см, приливают 10 см
азотной кислоты (1:1), доливают водой до метки и перемешивают.
1 см раствора В содержит 0,000001 г свинца.
Раствор В готовят в день употребления.
(Измененная редакция, Изм. № 1),
4.3. Проведение анализа
4.3.1. Массу навески стали в зависимости от массовой доли свинца определяют по табл. 5.
Таблица 5
Массовая доля свинца, % | Масса навески, г | Объем раствора после разбавления, см | Объем аликвотной части раствора, см | Масса навески стали, соответствующая аликвотной части раствора, г |
От 0,0005 до 0,001 | 1 | 10 | Весь | 1 |
Св. 0,001 " 0,002 | 1 | 50 | 25 | 0,5 |
" 0,002 " 0,005 | 1 | 50 | 10 | 0,2 |
" 0,005 " 0,01 | 0,5 | 50 | 10 | 0,1 |
Навеску помещают в стакан вместимостью 250-300 см или колбу вместимостью 250 см
, приливают 20-25 см
соляной кислоты, 7-8 см
азотной кислоты, накрывают часовым стеклом и растворяют при нагревании.
Раствор выпаривают до влажных солей, приливают 5 см соляной кислоты и нагревают содержимое стакана до растворения солей. Добавляют 30 см
воды, 15-20 см
раствора винной кислоты, 1 см
раствора азотнокислой меди и нагревают в течение 5 мин.
Раствор охлаждают, приливают 20-25 см раствора аммиака и снова нагревают в течение 5-8 мин. Устанавливают рН 7,5 раствором соляной кислоты (1:1), используя рН-метр. Разбавляют раствор водой до 150 см
, нагревают до 85-90°С, приливают 10 см
раствора тиоацетамида и выдерживают 10 мин при этой же температуре. Вновь приливают 10 см
раствора тиоацетамида и оставляют раствор с осадком на 2 ч при 40-50°С. Осадок сульфидов отфильтровывают на два фильтра средней плотности ("белая лента"), промывают 7-8 раз холодной водой. Фильтрат отбрасывают. Осадок на фильтре растворяют в 40-50 см
(порциями по 10 см
) горячей смеси соляной и азотной кислот (1:1) и промывают фильтр 2-3 раза горячей водой, собирая фильтрат и промывные воды в стакан, в котором производилось осаждение. Раствор выпаривают досуха, приливают 3-5 см
азотной кислоты и нагревают содержимое стакана до растворения солей. К раствору приливают 70-100 см
воды, 20 см
раствора надсернокислого аммония и кипятят в течение 10-15 мин. Затем приливают 1 мл раствора азотнокислого железа, раствор аммиака до появления неисчезающего осадка гидроокисей и избыток аммиака 0,5-1 см
.
Осадок отфильтровывают на фильтр средней плотности ("белая лента") и промывают 8-10 раз горячим раствором аммиака, разбавленным 1:200. Осадок на фильтре растворяют в 5 см горячей азотной кислоты (1:1), фильтр промывают 7-8 раз горячей водой, собирая фильтрат и промывные воды в стакан, в котором проводилось осаждение.
При массовой доле свинца в стали свыше 0,0005 до 0,001% раствор выпаривают досуха, соли растворяют в 1 мл азотной кислоты (1:1) при нагревании. Раствор охлаждают, переносят 10 см воды в делительную воронку вместимостью 100 см
.
При массовой доле свинца в стали свыше 0,001 до 0,01% раствор переносят в мерную колбу вместимостью 50 см, охлаждают, доливают до метки водой и перемешивают. Аликвотную часть раствора (табл. 5) помещают в делительную воронку вместимостью 100 см
и приливают 5 см
азотной кислоты (1:100).
К содержимому делительной воронки приливают 2 см раствора лимоннокислого натрия, 1 см
раствора солянокислого гидроксиламина и три капли раствора тимолового синего.
Нейтрализуют раствором аммиака до перехода окраски индикатора от розовой до синей (рН 9,5). Затем приливают 2 см буферного раствора (рН 11,5), перемешивают, прибавляют 10 см
0,002%-ного раствора дитизона (из бюретки) и встряхивают в течение 1 мин. Водному и хлороформному слоям дают отстояться и сливают хлороформный слой в сухую кювету с толщиной слоя 10 мм. Через 10 мин оптическую плотность раствора измеряют на спектрофотометре при
= 520 нм или на фотоэлектроколориметре со светофильтром, имеющим область пропускания в интервале длин волн от 480 до 540 нм. В качестве раствора сравнения используют хлороформ.
Содержание свинца находят по градуировочному графику с учетом попра
вки контрольного опыта.
4.3.2. Построение градуировочного графика.
В шесть стаканов вместимостью 250-300 см или колб вместимостью 250 см
помещают по 0,5 г карбонильного железа.
В пять стаканов или колб приливают последовательно 4, 6, 8, 10, 12 см стандартного раствора В, что соответствует 0,000004; 0,000006; 0,000008; 0,00001; 0,000012 г свинца. Шестой стакан или колба служит для проведения контрольного опыта. Во все стаканы или колбы добавляют по 20-25 см
соляной кислоты, 7-8 см
азотной кислоты. Стаканы накрывают часовыми стеклами и нагревают до полного растворения навески.
Далее анализ проводят, как указано в п. 4 3.1.
Из значения оптической плотности анализируемых растворов вычитают значение оптической плотности контрольного опыта.
По найденным значениям оптической плотности растворов и соответствующим им значениям концентраций свинца строят градуировочный график.
4.3.1, 4.3.2. (Измененная редакция, Изм. № 1).
4.4. Обработка результатов
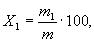
4.4.1. Массовую долю свинца () в процентах вычисляют по формуле
![]()
где - масса свинца, найденная по градуировочному графику, г;
- масса навески стали, соответствующая аликвотной части раствора, г.
4.4.2. Абсолютные допускаемые расхождения результатов параллельных определений при доверительной вероятности = 0,95 не должны превышать значений, указанных в табл. 6.
Таблица 6
Массовая доля свинца, % | Абсолютные допускаемые расхождения, % |
От 0,0005 до 0,001 | 0,0007 |
Св. 0,001 " 0,002 | 0,0015 |
" 0,002 " 0,004 | 0,0020 |
" 0,004 " 0,01 | 0,0035 |
5. ПОЛЯРОГРАФИЧЕСКИЙ МЕТОД ОПРЕДЕЛЕНИЯ СВИНЦА (0,001-0,01%)
5.1. Сущность метода
Метод основан на способности свинца восстанавливаться на ртутном капающем электроде при потенциале пика минус 0,54 В относительно ртутного анода на фоне 1 М лимонной кислоты. Режим полярографирования - переменнотоковый или осциллографический. Свинец предварительно отделяют от основных компонентов тиоацетамидом в присутствии винной кислоты при рН 7,5.
5.2. Aппаратура, реактивы и растворы
Полярограф переменного тока или полярограф осциллографический.
Ячейка полярографическая, выполненная из стекла с анодом (донная ртуть) и ртутным капающим катодом, прилагаемая к полярографу.
Термометр.
рН-метр.
Ртуть марки Р0 или Р1 по ГОСТ 4658-73, не содержащая влаги.
Азот газообразный по ГОСТ 9293-74 или аргон по ГОСТ 10157-79.
Кислота соляная по ГОСТ 3118-77 или ГОСТ 14261-77 и разбавленная 1:1.
Кислота азотная по ГОСТ 4461-77 или ГОСТ 11125-78.
Кислота хлорная, раствор 570 г/дм.
Кислота винная (виннокаменная) по ГОСТ 5817-77.
Кислота лимонная по ГОСТ 3652-69, раствор 500 г/дм.
Смесь кислот соляной и азотной (свежеприготовленная): к 400 см воды приливают 300 см
соляной кислоты и 100 см
азотной кислоты при перемешивании.
Аммиак водный по ГОСТ 3760-79.
Ртуть азотнокислая окисная по ГОСТ 4520-78, раствор 10 г/дм.
Тиоацетамид, водный раствор 20 г/дм.
Свинец марки СО по ГОСТ 3778-77 (СТ СЭВ 142-75).
Стандартные растворы свинца.
Раствор А: 0,1 г свинца растворяют при нагревании в 30 см азотной кислоты. Полученный раствор переносят в мерную колбу вместимостью 1 дм
, доливают до метки водой и перемешивают.
1 см раствора А содержит 0,0001 г свинца.
Раствор Б: 10 см раствора А помещают в мерную колбу вместимостью 100 см
, добавляют 2 см
соляной кислоты, доливают до метки водой и перемешивают.
1 см раствора Б содержит 0,00001 г свинца.
Раствор Б готовят в день употребления.
(Измененная редакция, Изм. № 1).
5.3. Проведение анализа
5.3.1. Навеску стали массой 0,5 г помещают в стакан вместимостью 250-300 см или колбу вместимостью 250 см
, приливают 15 см
соляной кислоты, 5 см
азотной кислоты, накрывают часовым стеклом и растворяют навеску при нагревании. Раствор выпаривают до влажных солей, приливают 5 см
соляной кислоты и нагревают содержимое стакана до растворения солей. Добавляют 30 см
воды, 15-20 см
винной кислоты, 1 см
раствора азотнокислой ртути и нагревают в течение 5 мин. Полученный раствор охлаждают, приливают 20-25 см
раствора аммиака и снова нагревают в течение 5 мин. Устанавливают рН = 7,5 раствором соляной кислоты (1:1), используя рН-метр. Разбавляют раствор водой до 150 см
, нагревают до 90°С, приливают 10 см
раствора тиоацетамида и выдерживают 10 мин при этой же температуре. Вновь приливают 10 см
раствора тиоацетамида и оставляют раствор с осадком на 2 ч при 40-50°С. Осадок сульфидов отфильтровывают на два фильтра средней плотности ("белая лента"), промывают 7-8 раз холодной водой. Фильтрат отбрасывают. Осадок на фильтре растворяют в 40-50 см
(порциями по 10 см
) горячей смеси соляной и азотной кислот и промывают фильтр 2-3 раза горячей водой, собирая фильтрат и промывные воды в стакан, в котором производилось осаждение. Приливают 3 см
хлорной кислоты и выпаривают до влажных солей. Соли растворяют при нагревании в 19 см
раствора лимонной кислоты, раствор переносят в мерную колбу вместимостью 50 см
, доливают водой до метки и перемешивают.
Для удаления кислорода воздуха из исследуемого раствора через последний продувают азот или аргон в течение 5 мин и снимают полярограмму от минус 0,2 до минус 0,8 В, регистрируя пик восстановления свинца при минус 0,54 В. Чувствительность прибора выбирают таким образом, чтобы высота пика восстановления свинца была не менее 10 мм.
Содержание свинца находят по градуировочно
му графику.
5.3.2. Построение градуировочного графика.
В стаканы или колбы вместимостью 250-300 см помещают последовательно: 0,5; 1; 3; 4; 5 см
стандартного раствора Б, что соответствует 0,000005; 0,00001; 0,00003; 0,00004; 0,00005 г свинца, приливают по 15 см
соляной кислоты, по 5 см
азотной кислоты и далее растворы проводят через все стадии анализа, как указано в п. 5.3.1.
Одновременно проводят контрольный опыт.
Вычисляют разность высот пиков исследуемого раствора и контрольного опыта.
5.3.1, 5.3.2. (Измененная редакция, Изм. № 1).
5.4. Обработка результатов
5.4.1. Массовую долю свинца () в процентах вычисляют по формуле
![]()
где - масса свинца, найденная по градуировочному графику, г;
- масса навески стали, г.
5.4.2. Абсолютные допускаемые расхождения результатов параллельных определений при доверительной вероятности = 0,95 не должны превышать значений, указанных в табл. 7.
Таблица 7
Массовая доля свинца, % | Абсолютные допускаемые расхождения, % |
От 0,001 до 0,002 | 0,0015 |
Св. 0,002 " 0,004 | 0,0020 |
" 0,004 " 0,01 | 0,0035 |
6. ИНВЕРСИОННО-ВОЛЬТАМПЕРОМЕТРИЧЕСКИЙ МЕТОД ОПРЕДЕЛЕНИЯ СВИНЦА (0,0002-0,01%)
6.1. Сущность метода
Метод основан на предварительном концентрировании свинца на стационарном ртутном капельном электроде при потенциале минус 0,85 В в растворе 200 г/дм лимонной кислоты и растворе 60 г/дм
хлористого аммония с последующей регистрацией тока анодного растворения свинца при потенциале минус 0,48 В по отношению к хлорсеребряному электроду в присутствии основных компонентов стали.
6.2. Aппapатура, реактивы и растворы
Полярограф переменного тока или полярограф осциллографический.
Ячейка с выносным анодом (ртуть в насыщенном растворе хлористого калия), хлорсеребряным электродом сравнения и стационарным ртутным капельным электродом, прилагаемая к полярографу.
Ртуть по ГОСТ 4658-73 марки РО, не содержащая влаги.
Азот газообразный по ГОСТ 9293-74 или аргон по ГОСТ 10157-79.
Кислота соляная по ГОСТ 14261-77.
Кислота азотная по ГОСТ 11125-78.
Кислота фтористоводородная (плавиковая кислота) по ГОСТ 10484-78, раствор 400 г/дм.
Кислота лимонная по ГОСТ 3652-69 (СТ СЭВ 394-76).
Аммоний хлористый по ГОСТ 3773-72.
Фон для полярографирования, содержащий 200 г/дм лимонной кислоты и 60 г/дм
аммония хлористого.
Кислота аскорбиновая по ГОСТ 4815-76.
Калий хлористый по ГОСТ 4234-77, насыщенный раствор.
Вода бидистиллированная.
Свинец марки СО по ГОСТ 3778-77 (СТ СЭВ 142-75).
Стандартные растворы свинца.
Растворы А и Б (см. п. 5.2).
Раствор В: 5 см раствора Б помещают в мерную колбу вместимостью 50 см
, добавляют 1 см
соляной кислоты, доливают до метки водой и перемешивают.
1 см раствора В содержит 0,000001 г свинца.
Растворы Б и В готовят в день употребления.
(Измененная редакция, Изм. № 1)
.
6.3. Проведение анализа
6.3.1. Навеску стали массой 0,5 г помещают в стакан вместимостью 250-300 см или колбу вместимостью 250 см
, прибавляют 15 см
соляной кислоты, 5 см
азотной кислоты и растворяют навеску при нагревании. Раствор выпаривают до влажных солей, приливают 5 см
соляной кислоты, и снова выпаривают до влажных солей. Эту операцию повторяют дважды.
Соли растворяют в 5 см соляной кислоты. При определении свинца в сталях, не содержащих вольфрам, молибден, титан и ниобий, содержимое стакана переносят в мерную колбу вместимостью 50 см
, доливают водой до метки и перемешивают. При определении свинца в сталях, содержащих вольфрам, молибден, титан и ниобий, содержимое стакана количественно переносят в платиновую чашку или чашку из стеклоуглерода или фторопластовый стакан, добавляют 3 см
фтористоводородной кислоты и нагревают до полного растворения осадка вольфрамовой и молибденовой кислоты, а также продуктов гидролиза титана и ниобия. Раствор охлаждают, переносят в мерную колбу вместимостью 50 см
, доливают водой до метки, перемешивают и сейчас же помещают в полиэтиленовый или фторопластовый сосуд с крышкой.
Для определения содержания свинца в полярографическую ячейку заливают 20 см фонового электролита, предварительно продутые азотом или аргоном в течение 5 мин, добавляют в соответствии с табл. 8 аликвотную часть исследуемого раствора в зависимости от массовой доли свинца в стали, приблизительно 0,01-0,02 г аскорбиновой кислоты.
Таблица 8
Массовая доля свинца, % | Объем аликвотной части раствора, мл | Масса навески стали, соответствующая аликвотной части раствора, г |
От 0,0002 до 0,0005 | 3 | 0,03 |
Св. 0,0005 " 0,001 | 2 | 0,02 |
" 0,001 " 0,005 | 1 | 0,01 |
" 0,005 " 0,01 | 0,5 | 0,005 |
Устанавливают на полярографе потенциал минус 0,85 В и проводят концентрирование свинца на стационарном ртутном капельном электроде в непрерывно перемешиваемом растворе в течение 2-3 мин. По окончании времени накопления прекращают перемешивание и дают раствору успокоиться 15 с, после чего снимают анодную поляризационную кривую при линейно изменяющемся потенциале электрода от минус 0,85 до минус 0,2 В, регистрируя пик растворения свинца при минус 0,48 В. Чувствительность прибора выбирают таким образом, чтобы высота регистрируемого пика была не менее 10 мм. Для каждого измерения получают новую каплю ртути.
(Измененная редакция, Изм. № 1).
6.3.2. Содержание свинца находят методом стандартных добавок. Аликвотную часть стандартного раствора В (см. п. 6.3.1) добавляют в полярографируемый раствор, перемешивают 1 мин и далее анализ ведут, как при определении содержания свинца в испытуемом растворе.
Величину стандартной добавки выбирают таким образом, чтобы высота пика свинца после введения добавки увеличилась в 1,5-2 раза.
6.4. Обработка результатов
6.4.1. Массовую долю свинца () в процентах вычисляют по формуле
![]()
где - высота пика свинца при полярографировании испытуемого раствора, мм;
- высота пика свинца при полярографировании раствора контрольного опыта, мм;
- высота пика свинца после введения в ячейку стандартной добавки, мм;
- объем стандартной добавки, см
;
- концентрация стандартного раствора, г/см
;
- масса навески стали, соответствующая аликвотной части раствора,
г.
6.4.2. Абсолютные допускаемые расхождения результатов параллельных определений при доверительной вероятности = 0,95 не должны превышать значений, указанных в табл. 9.
Таблица 9
Массовая доля свинца, % | Абсолютные допускаемые расхождения, % |
От 0,0002 до 0,0005 | 0,0003 |
Св. 0,0005 " 0,001 | 0,0007 |
" 0,001 " 0,002 | 0,0015 |
" 0,002 " 0,004 | 0,0020 |
" 0,004 " 0,01 | 0,0035 |
7. БЕСПЛАМЕННЫЙ АТОМНО-АБСОРБЦИОННЫЙ МЕТОД ОПРЕДЕЛЕНИЯ СВИНЦА (0,0002-0,01%)
7.1. Сущность метода
Метод основан на измерении поглощения излучения свободными атомами свинца при = 283,3 нм, образующимися при введении анализируемого раствора в графитовую кювету. Свинец предварительно отделяют от мешающих определению элементов осаждением в виде сульфида тиоацетамидом в аммиачном растворе (рН 7,5) в присутствии винной кислоты в качестве комплексообразующего вещества.
7.2. Aппapатура, реактивы, растворы
Атомно-абсорбционный спектрофотометр с графитовой кюветой.
Лампа для определения свинца.
Баллон с аргоном высокой чистоты.
рН-метр.
Термометр.
Вода бидистиллированная.
Кислота соляная по ГОСТ 3118-77 или ГОСТ 14261-77.
Кислота азотная по ГОСТ 4461-77 или ГОСТ 11125-78 и разбавленная 1:1.
Смесь соляной и азотной кислот свежеприготовленная (к 150 см соляной кислоты добавляют 50 см
азотной кислоты, перемешивают) и разбавленная 1:1.
Кислота винная по ГОСТ 5817-77, раствор 500 г/дм.
Аммиак водный по ГОСТ 3760-79.
Тиоацетамид, водный раствор 20 г/дм.
Медь марки МО по ГОСТ 859-78 (СТ СЭВ 206-75), раствор 10 г/дм: 1 г металлической меди растворяют при нагревании в 15-20 см
азотной кислоты (1:1). Раствор охлаждают, переносят в мерную колбу вместимостью 100 см
, доливают до метки водой и перемешивают.
1 см раствора содержит 0,01 г меди.
Железо карбонильное радиотехническое по ГОСТ 13610-79 или нормативно-технической документации.
Свинец марки СО по ГОСТ 3778-77 (СТ СЭВ 142-75).
Стандартные растворы свинца.
Раствор А: 0,1 г свинца растворяют в 30 см азотной кислоты, переносят в мерную колбу вместимостью 1 дм
, доливают до метки водой и перемешивают.
1 см раствора А содержит 0,0001 г свинца.
Раствор Б: 10 см раствора А помещают в мерную колбу вместимостью 100 см
, добавляют 10 см
азотной кислоты, доливают до метки водой и перемешивают.
1 см раствора Б содержит 0,00001 г свинца.
Раствор В: 10 см раствора Б помещают в мерную колбу вместимостью 100 мл, добавляют 10 см
азотной кислоты, доливают до метки водой и перемешивают.
1 см стандартного раствора В содержит 0,000001 г свинца.
Раствор готовят в день употребления.
(Измененная редакция, Изм. № 1).
7.3. Проведение анализа
7.3.1. Массу навески стали в зависимости от массовой доли свинца определяют по табл. 10.
Таблица 10
Массовая доля свинца, % | Масса навески, г | Объем раствора после разбавления, см |
От 0,0002 до 0,0005 | 1 | 25 |
Св. 0,0005 " 0,001 | 0,5 | 25 |
" 0,001 " 0,003 | 0,5 | 50 |
" 0,003 " 0,005 | 0,5 | 100 |
" 0,005 " 0,01 | 0,25 | 100 |
Навеску помещают в стакан вместимостью 250-300 см или колбу вместимостью 250 см
, приливают 30 см
смеси соляной и азотной кислот, закрывают часовым стеклом и растворяют навеску при нагревании. Раствор выпаривают до объема 7-10 см
, добавляют 30 см
воды, 20 см
раствора винной кислоты и нагревают в течение 5 мин.
К раствору добавляют 1 см раствора меди, приливают 20-25 см
раствора аммиака до рН 8-10, снова нагревают в течение 5-10 мин, охлаждают и устанавливают на рН-метре рН 7,5 раствором соляной кислоты (1:1). Раствор разбавляют водой до 150 см
, нагревают до 85-90°С, приливают 10 см
раствора тиоацетамида и выдерживают 10 мин при этой же температуре. Вновь приливают 10 см
раствора тиоацетамида и оставляют раствор с осадком на 2 ч при 40-50°С. Осадок сульфидов отфильтровывают на два фильтра средней плотности ("белая лента"), промывают 7-8 раз холодной водой. Фильтрат отбрасывают. Осадок на фильтре растворяют в 40-50 см
(порциями по 10 мл) горячей смеси соляной и азотной кислот (1:1) и промывают фильтр 2-3 раза горячей водой, собирая фильтрат и промывные воды в стакан, в котором проводилось осаждение. Фильтр отбрасывают, раствор дважды выпаривают до влажных солей, прибавляя каждый раз по 5 см
азотной кислоты. Соли растворяют в 4 см
азотной кислоты при нагревании, добавляют 5-10 см
воды, раствор переносят в мерную колбу (табл. 10), доливают водой до метки и перемешивают. Отбирают пипеткой 20 мкл полученного раствора, вводят его в графитовую кювету измеряют поглощение излучения свободными атомами свинца при
= 283,3 нм.
Содержание свинца находят по градуировочному графику с учетом поправки контрольн
ого опыта.
7.3.2. Подготовка прибора к измерению.
Включение прибора, настройку спектрофотометра на резонансное излучение при = 283,3 нм, регулировку блока управления, блока атомизации проводят согласно инструкции, прилагаемой к прибору.
Условия определения свинца:
Аналитическая линия - 283,3 нм
Спектральная ширина щели - 0,7 нм
Рабочий ток лампы - 25 А
Время высушивания при 100°С - 10 с
Время разложения при 700°С - 10 с
Время атомизации при 2100°С - 10 с.
7.3.3. Построение градуировочного графика
В шесть стаканов вместимостью 250-300 см или колб вместимостью 250 см
помещают по 0,5 г карбонильного железа. В пять стаканов приливают последовательно 1; 3; 5; 7; 10 см
стандартного раствора В, что соответствует 0,000001; 0,000003; 0,000005; 0,000007; 0,00001 г свинца. Шестой стакан или колба служит для проведения контрольного опыта. Во все стаканы или колбы приливают по 30 см
смеси соляной и азотной кислот, накрывают часовыми стеклами и растворяют навески при нагревании. Растворы выпаривают до объема 7-10 см
, приливают по 30 см
воды, по 20 см
раствора винной кислоты и нагревают в течение 5 мин. Далее анализ проводят, как указано в п. 7.3.1 за исключением того, что полученные растворы после растворения солей в 4 мл азотной кислоты, переносят в мерные колбы вместимостью по 25 см
. Растворы доливают до меток водой, перемешивают, отбирают микропипеткой 20 мкл каждого раствора вводят его в графитовую кювету и измеряют поглощение излучения свободными атомами при
= 283,3 нм. Из значения оптической плотности анализируемых растворов вычитают значение оптической плотности контрольного опыта. По найденным величинам оптической плотности и соответствующим им значениям концентраций свинца строят градуировочный граф
ик.
7.3.1, 7.3.2. (Измененная редакция, Изм. № 1).
7.4. Обработка результатов
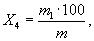
7.4.1. Массовую долю свинца () в процентах вычисляют по формуле
![]()
где - масса свинца, найденная по градуировочному графику, г;
- масса навески стали, г;
25 - объем стандартного раствора свинца, используемый для построения градуировочного графика, см;
- объем испытуемого раствора стали, после разбавления, см
.
7.4.2. Абсолютные допускаемые расхождения результатов параллельных определений при доверительной вероятности = 0,95 не должны превышать значений, указанных в табл. 11
Таблица 11
Массовая доля свинца, % | Абсолютные допускаемые расхождения, % |
|
|
Св. 0,0005 " 0,001 | 0,0007 |
" 0,001 " 0,002 | 0,0015 |
" 0,002 " 0,004 | 0,0020 |
" 0,004 " 0,01 | 0,0035 |
(Измененная редакция, Изм. М 1).
8. ПОЛЯРОГРАФИЧЕСКИЙ МЕТОД ОПРЕДЕЛЕНИЯ ОЛОВА (0,001-0,01%) В СТАЛЯХ, НЕ СОДЕРЖАЩИХ НИОБИЙ И ТИТАН
8.1. Сущность метода
Метод основан на способности олова восстанавливаться на ртутном капающем электроде при потенциале пика минус 0,48 В относительно ртутного анода на фоне 1 М соляной кислоты и 4 М хлористого аммония. Режим полярографирования переменнотоковый или осциллографический. Олово предварительно отделяют от основных компонентов стали на гидроокиси бириллия в присутствии трилона Б.
8.2. Aппapатура, реактивы и растворы
Полярограф переменного тока или полярограф осциллографический.
Ячейка полярографическая, выполненная из стекла с анодом (донная ртуть) и ртутным капающим катодом, прилагаемая к полярографу.
Ртуть марки РО или Р1 по ГОСТ 4658-73, не содержащая влаги.
Азот газообразный по ГОСТ 9293-74 или аргон по ГОСТ 10157-79.
Кислота соляная по ГОСТ 3118-77 или ГОСТ 14261-77.
Кислота азотная по ГОСТ 4461-77 или ГОСТ 11125-78.
Кислота серная по ГОСТ 4204-77 или ГОСТ 14262-78 и 3,5 М и разбавленная 1:4.
Аммиак водный по ГОСТ 3760-79 и разбавленный раствор 1:50.
Аммоний хлористый по ГОСТ 3773-72.
Бериллий азотнокислый, водный раствор 8 г на 100 см.
Соль динатриевая этилендиамин-
-тетрауксусной кислоты, 2-водная (трилон Б), по ГОСТ 10652-73, раствор 100 г/дм.
Олово по ГОСТ 860-75 марки О1.
Стандартные растворы олова.
Раствор А: 0,1 г олова растворяют в 20 см серной кислоты при нагревании. Раствор переводят в мерную колбу вместимостью 1 л, обмывая стенки колбы 3,5 М раствором серной кислоты, охлаждают, доливают до метки этим же раствором и перемешивают.
1 см стандартного раствора А содержит 0,0001 г олова.
Раствор Б: 10 см стандартного раствора А переносят в мерную колбу вместимостью 100 см
и доливают до метки 3,5 М раствором серной кислоты и перемешивают.
1 см стандартного раствора Б содержит 0,00001 г олова.
Раствор Б готовят в день употребления.
(Измененная редакция, Изм. № 1).
8.3. Проведение анализа
8.3.1. Навеску стали массой 0,5 г помещают в стакан вместимостью 250-300 см или колбу вместимостью 250 см
, приливают 15 см
соляной кислоты, 5 см
азотной кислоты, 2 см
серной кислоты и растворяют навеску при нагревании. После растворения навески раствор выпаривают приблизительно до 10 см
, приливают 50 см
раствора трилона Б, 5 см
раствора бериллия азотнокислого и нагревают в течение 5 мин. Затем приливают раствор аммиака до выделения осадка гидроокисей металлов и избыток 1-2 см
раствора аммиака. Растворы с осадком кипятят в течение 1-2 мин, снимают стакан с плиты и дают осадку осесть в течение 1 ч.
Осадок отфильтровывают на фильтр средней плотности ("белая лента") и промывают 5-7 раз разбавленным раствором аммиака, фильтрат отбрасывают. Осадок с фильтра смывают горячей водой в стакан, в котором проводилось осаждение гидроокисей металлов.
Фильтр промывают 20 см серной кислоты 1:4 и два раза горячей водой. В стакан добавляют 3 см
азотной кислоты и выпаривают раствор до влажных солей.
Соли растворяют при нагревании в 10 см воды, добавляют 4 см
соляной кислоты и 10,4 г аммония хлористого. Раствор переносят в мерную колбу вместимостью 50 см
, доливают водой до метки и перемешивают.
Из раствора удаляют растворенный кислород продуванием азотом или аргоном в течение 5 мин и снимают полярограмму от минус 0,2 до минус 0,8 В, регистрируя пик восстановления олова при минус 0,48 В. Чувствительность прибора выбирают таким образом, чтобы высота пика восстановления олова была не менее 10 мм.
Содержание олова в испытуемом растворе определяют по градуировочному графику.
(Измененная редакция, Изм. № 1).
8.3.2. Построение градуировочного графика.
В стаканы или колбы вместимостью 250 см помещают 0,5; 1; 2; 4; 5 см
стандартного раствора Б, соответствующие 0,000005; 0,00001; 0,00002; 0,00004; 0,00005 г олова, приливают по 15 см
соляной кислоты, 5 см
азотной кислоты, 5 см
серной кислоты и далее растворы проводят через все стадии анализа, как указано в п. 8.3.1. Одновременно проводят контрольный опыт.
Значение высоты пика контрольного опыта вычитают из значения высоты пика исследуемого раствора.
(Измененная редакция, Изм. № 1).
8.4. Обработка результатов
8.4.1. Массовую долю олова () в процентах вычисляют по формуле
![]()
где - масса олова, найденная по градуировочному графику, г;
- масса навески стали, г.
8.4.2. Абсолютные допускаемые расхождения результатов параллельных определений при доверительной вероятности = 0,95 не должны превышать значений, указанных в табл. 12.
Таблица 12
Массовая доля олова, % | Абсолютные допускаемые расхождения, % |
|
|
Св. 0,002 " 0,004 | 0,0020 |
" 0,004 " 0,01 | 0,0035 |
9. ИНВЕРСИОННО-ВОЛЬТАМПЕРОМЕТРИЧЕСКИЙ МЕТОД ОПРЕДЕЛЕНИЯ ОЛОВА (0,0001-0,01%) В СТАЛЯХ, СОДЕРЖАЩИХ ТИТАН И НИОБИЙ
9.1. Сущность метода
Метод основан на предварительном концентрировании олова на стационарном ртутном капельном электроде при потенциале минус 0,75 В по отношению к хлорсеребряному электроду или минус 0,9 В по отношению к ртутному аноду в растворе 0,5 М щавелевой кислоты и 1.10 М метиленового голубого с последующей регистрацией тока анодного растворения олова при потенциале минус 0,54 В по отношению к хлорсеребряному электроду или минус 0,73 В по отношению к ртутному электроду после отделения от основных компонентов соосаждением с гидроокисью бериллия в присутствии трилона Б.
(Измененная редакция, Изм. № 1).
9.2. Aппаратура, реактивы и растворы
Полярограф переменного тока или полярограф осциллографический.
Ячейка полярографическая с анодом (донная ртуть) или с выносным анодом (ртуть в насыщенном растворе хлористого калия), хлорсеребряным электродом сравнения и стационарным ртутным капельным электродом, типа прилагаемой к полярографу.
Ртуть марки РО по ГОСТ 4658-73, не содержащая влаги.
Азот газообразный по ГОСТ 9293-74 или аргон по ГОСТ 10157-73.
Кислота щавелевая по ГОСТ 22180-76, растворы 90 г/дм и 45 г/дм
.
Метиленовый голубой, водный раствор 15 г/дм.
Олово марки О1 по ГОСТ 860-75.
Стандартные растворы олова.
Растворы А и Б (п. 8.2).
Раствор В: 5 см стандартного раствора Б переносят в мерную колбу вместимостью 50 см
и доливают до метки водой и перемешивают.
1 см стандартного раствора В содержит 0,000001 г олова.
Раствор В готовят непосредственно перед употреблением.
(Измененная редакция, Изм. № 1).
9.3. Проведение анализа
9.3.1. Отделение олова от основных компонентов, растворение осадка гидроокисей бериллия и олова и упаривание раствора с серной кислоты до влажных солей производят, как указано в п. 8.3.1.
Соли растворяют при нагревании в 10 см воды и добавляют 25 см
9%-ного раствора щавелевой кислоты. Раствор переносят в мерную колбу вместимостью 50 см
, доливают водой до метки и перемешивают.
Для определения массовой доли олова в полярографическую ячейку приливают 20 см 4,5%-ного раствора щавелевой кислоты, предварительно продутые азотом или аргоном в течение 5 мин, 0,5 см
метиленового голубого, аликвотную часть исследуемого раствора (табл. 13) в зависимости от предполагаемой массовой доли олова в стали.
Таблица 13
Массовая доля олова, % | Объем аликвотной части раствора, см | Масса стали, соответствующая аликвотной части раствора, г |
От 0,0001 до 0,0005 | 4 | 0,04 |
Св. 0,0005 " 0,0010 | 2 | 0,02 |
От 0,001 " 0,0025 | 1 | 0,01 |
Св. 0,0025 " 0,005 | 0,5 | 0,005 |
" 0,005 " 0,01 | 0,25 | 0,0025 |
Устанавливают на полярографе потенциал минус 0,75 В или минус 0,9 В по отношению к хлорсеребряному электроду или донной ртути соответственно, и проводят концентрирование олова на стационарном ртутном капельном электроде в непрерывно перемешиваемом растворе в течение 1 мин. По окончании времени накопления прекращают перемешивание и дают раствору успокоиться 15 с, после чего снимают анодную поляризационную кривую при линейно изменяющемся потенциале электрода до минус 0,2 В, регистрируя пик растворения олова при минус 0,54 В или минус 0,73 В по отношению к хлорсеребряному электроду или донной ртути. Чувствительность прибора выбирается таким образом, чтобы высота регистрируемого пика была не менее 10 мм. Для каждого измерения получают новую каплю ртути.
(Измененная редакция, Изм. № 1).
9.3.2. Содержание олова находят методом стандартных добавок. Аликвотную часть стандартного раствора В добавляют в испытуемый раствор, перемешивают 1 мин и далее анализ ведут, как при определении содержания олова в испытуемом растворе.
Величину стандартной добавки выбирают таким образом, чтобы высота пика олова после введения добавки увеличивалась в 1,5-2 раза.
9.4. Обработка результатов
9.4.1. Массовую долю олова () в процентах вычисляют по формуле
![]()
где - высота пика олова при полярографировании испытуемого раствора, мм;
- высота пика олова при полярографировании раствора контрольного опыта, мм;
- высота пика олова после введения в ячейку стандартной добавки, мм;
- объем стандартной добавки, см
;
- концентрация стандартного раствора, г/см
;
- масса навески стали соответствующая аликвотной части раствора,
г.
9.4.2. Абсолютные допускаемые расхождения результатов параллельных определений при доверительной вероятности = 0,95 не должны превышать значений, указанных в табл. 14.
Таблица 14
Массовая доля олова, % | Абсолютные допускаемые расхождения, % |
От 0,0001 до 0,0002 | 0,0001 |
Св. 0,0002 " 0,0005 | 0,0002 |
" 0,0005 " 0,0010 | 0,0005 |
От 0,0010 " 0,002 | 0,0015 |
Св. 0,002 " 0,004 | 0,0020 |
" 0,004 " 0,01 | 0,0035 |
9.4.1, 9.4.2. (Измененная редакция, Изм. № 1).
10. ФОТОМЕТРИЧЕСКИЙ МЕТОД ОПРЕДЕЛЕНИЯ ОЛОВА (0,001-0,01%) В СТАЛЯХ, НЕ СОДЕРЖАЩИХ ТИТАН И НИОБИЙ
10.1. Сущность метода
Метод основан на образовании окрашенного в синий цвет комплексного соединения олова (IV) с пирокатехиновым фиолетовым, стабилизируемого желатином. Светопоглощение раствора измеряют при = 640 нм. Олово предварительно отделяют от основных компонентов стали осаждением в виде гидроокиси аммиаком в присутствии трилона Б в качестве комплексообразующего вещества и с использованием в качестве коллектора гидроокиси бериллия.
10.2. Aппаpатура, реактивы и растворы
Спектрофотометр, спектрофотоколориметр или фотоэлектроколориметр.
рН-метр.
Кислота соляная по ГОСТ 3118-77 или ГОСТ 14261-77.
Кислота азотная по ГОСТ 4461-77 или ГОСТ 11125-78.
Кислота серная по ГОСТ 4204-77 или ГОСТ 14262-78 и 3,5 М и разбавленная 1:4.
Аммиак, водный раствор по ГОСТ 3760-79 и разбавленный 1:100.
Бериллий азотнокислый, водный раствор 8 г на 100 см.
Соль динатриевая этилендиамин-
-тетрауксусной кислоты, 2-водная (трилон Б), по ГОСТ 10652-73, раствор 100 г/дм.
Кислота аскорбиновая пищевая по ГОСТ 4815-76 раствор 10 г/дм.
Пирокатехиновый фиолетовый, 0,001 М раствор: 0,4324 г пирокатехинового фиолетового, перекристаллизованного в этиловом спирте, растворяют в воде, переносят в мерную колбу вместимостью 1 дм, доливают до метки водой, перемешивают.
Желатин пищевой по ГОСТ 11293-78 или ГОСТ 10.53-71, раствор 5 г/дм.
Олово по ГОСТ 860-75 марки О1.
Стандартные растворы олова.
Раствор А: 0,1 г олова растворяют в 20 см серной кислоты при нагревании. Раствор переносят в мерную колбу вместимостью 1 дм
, обмывая стенки колбы 3,5 М раствором серной кислоты, охлаждают, доливают до метки этим же раствором и перемешивают. 1 см
стандартного раствора А содержит 0,0001 г олова.
Раствор Б: 10 см стандартного раствора А переносят в мерную колбу вместимостью 100 см
, доливают до метки 3,5 М раствором серной кислоты и перемешивают.
1 см стандартного раствора Б содержит 0,00001 г олова.
Раствор Б готовят в день употребления.
(Измененная редакция, Изм. № 1).
10.3. Проведение анализа
10.3.1. Навеску стали массой 0,5 г помещают в стакан вместимостью 250-300 см или колбу вместимостью 250 см
, приливают 15 см
соляной кислоты, 5 см
азотной кислоты, 7 см
серной кислоты, закрывают стакан или колбу часовым стеклом и растворяют навеску при нагревании. После растворения навески раствор выпаривают до выделения паров серной кислоты. Соли растворяют в 40 см
воды при нагревании, отфильтровывают осадок кремневой кислоты на два фильтра средней плотности (белая лента), фильтр с осадком промывают 3-4 раза горячей водой, фильтр отбрасывают. Фильтрат с промывными водами выпаривают до объема 50 см
.
К раствору добавляют 7-10 см раствора аммиака при перемешивании, приливают 50 см
раствора трилона Б и кипятят раствор 10-15 мин. Добавляют 5 см
раствора азотнокислого бериллия, раствор аммиака до выделения осадка гидрооксидов металлов и избыток 1-2 см
. Раствор с осадком нагревают при 70-80°С в течение 10 мин, не доводя его до кипения. Стакан с содержимым охлаждают в проточной воде в течение 45-60 мин. Осадок отфильтровывают на фильтр средней плотности (белая лента) и промывают 5-7 раз разбавленным раствором аммиака (1:100). Фильтрат отбрасывают. Осадок с фильтра смывают горячей водой в стакан или колбу, где производилось осаждение гидрооксидов металлов.
Фильтр промывают 20 см серной кислоты (1:4) и 2 раза горячей водой. Раствор выпаривают приблизительно до 10 см
, приливают 50 см
раствора трилона Б и нагревают в течение 5 мин. Затем приливают раствор аммиака до выделения осадка гидрооксидов металлов и избыток 1-2 см
. Раствор с осадком кипятят в течение 1-2 мин. Осадок отфильтровывают на фильтр средней плотности (белая лента) и промывают 5-7 раз горячей водой. Фильтрат отбрасывают. Осадок с фильтра смывают горячей водой в стакан или колбу, где проводилось осаждение гидрооксидов металлов. Фильтр промывают 20 см
серной кислоты 1:4, 2 раза горячей водой и отбрасывают. К фильтрату добавляют 5-7 см
азотной кислоты и раствор выпаривают до влажных солей. Стенки стакана или колбы обмывают водой и вновь выпаривают до влажных солей. Соли растворяют в 10 см
воды при нагревании, охлаждают. Раствор переносят в стакан вместимостью 100 см
, приливают 1 см
раствора аскорбиновой кислоты, перемешивают и устанавливают рН 2,2 раствором аммиака, используя рН-метр. К раствору приливают 1 см
раствора желатина, 1,5 см
раствора пирокатехинового фиолетового и перемешивают раствор. Через 20 мин раствор переносят в мерную колбу вместимостью 50 см
, доливают водой до метки, перемешивают и измеряют оптическую плотность раствора на спектрофотометре при
= 640 нм или на фотоэлектроколориметре со светофильтром, имеющим область пропускания в интервале длин волн от 610 до 700 нм. В качестве раствора сравнения используют воду. Одновременно проводят контрольный опыт на загрязнение реактивов.
Содержание олова находят по градуировочному графику с учетом поправки контрольного опыта.
(Измененная редакция, Изм. № 1).
10.3.2. Построение градуировочяого графика.
В семь стаканов вместимостью 250-300 см или колб вместимостью 250 см
помещают по 0,5 г карбонильного железа. В шесть стаканов или колб приливают последовательно 0,5; 1; 2; 3; 4; 5 см
стандартного раствора Б, что соответствует 0,000005; 0,00001; 0,00002; 0,00003; 0,00004; 0,00005 г олова. Седьмой стакан или колба служит для проведения контрольного опыта. Во все стаканы или колбы приливают по 15 см
соляной кислоты, 5 см
азотной кислоты, 5 см
серной кислоты, накрывают стаканы или колбы часовыми стеклами или растворяют навески при нагревании. Далее анализ проводят, как указано в п. 10.3.1.
Из значений оптической плотности анализируемых растворов вычитают значение оптической плотности контрольного опыта. По найденным величинам оптической плотности и соответствующим им значениям концентраций олова строят градуировочный график.
(Измененная редакция, Изм. № 1).
10.4. Обработка результатов
10.4.1. Массовую долю олова () в процентах вычисляют по формуле
![]()
где - масса олова, найденная по градуировочному графику, г;
- масса навески стали, г.
10.4.2. Абсолютные допускаемые расхождения результатов параллельных определений при доверительной вероятности = 0,95 не должны превышать значений, указанных в табл. 15.
Таблица 15
Массовая доля олова, % | Абсолютные допускаемые расхождения, % |
От 0,001 до 0,002 | 0,0015 |
Св. 0,002 " 0,004 | 0,0020 |
" 0,004 " 0,01 | 0,0035 |
11. АТОМНО-АБСОРБЦИОННЫЙ МЕТОД ОПРЕДЕЛЕНИЯ ЦИНКА (0,0005-0,01%) И КАДМИЯ (0,0005-0,01%)
11.1. Сущность метода
Метод основан на измерении поглощения излучения свободными атомами цинка или кадмия, образующимися в результате распыления солянокислого раствора цинка и кадмия в пламени воздух-ацетилен.
Вольфрам, ниобий, кремний и титан отделяют кислотным гидролизом.
11.2. Аппаратура, реактивы, растворы
Атомно-абсорбционный спектрофотометр, снабженный горелкой для работы в пламени воздух-ацетилен.
Лампа для определения цинка.
Лампа для определения кадмия.
Баллон с ацетиленом.
Компрессор, обеспечивающий подачу сжатого воздуха, или баллон со сжатым воздухом.
Кислота соляная по ГОСТ 3118-77 или ГОСТ 14261-77 и разбавленная 1:1.
Кислота азотная по ГОСТ 4461-77 или ГОСТ 11125-78 и разбавленная 1:1,1:2.
Железо карбонильное радиотехническое по ГОСТ 13610-79 или нормативно-технической документации.
Цинк марки ЦО по ГОСТ 3640-79.
Стандартные растворы цинка.
Раствор А: 0,1 г металлического цинка помещают в стакан или колбу вместимостью 250-300 см и растворяют при нагревании в 100 см
соляной кислоты (1:1). Раствор охлаждают, переносят в мерную колбу вместимостью 1 дм
, доливают до метки водой и перемешивают.
1 см стандартного раствора А содержит 0,0001 г цинка.
Раствор Б: 10 см раствора А помещают в мерную колбу вместимостью 100 см
, доливают до метки водой и перемешивают.
1 см стандартного раствора Б содержит 0,00001 г цинка.
Раствор Б готовят в день употребления.
Кадмий марки КдО по ГОСТ 1467-77.
Стандартные растворы кадмия.
Раствор А: 0,1 г кадмия помещают в стакан или в колбу вместимостью 250-300 см и растворяют при нагревании в 30 см
азотной кислоты (1:1). Раствор охлаждают, переносят в мерную колбу вместимостью 1 дм
, доливают до метки водой и перемешивают.
1 см стандартного раствора А содержит 0,0001 г кадмия.
Раствор Б: 10 см раствора А помещают в колбу вместимостью 100 см
, доливают до метки водой и перемешивают.
1 см стандартного раствора Б содержит 0,00001 г кадмия.
Раствор Б готовят в день употребления.
Марганец по ГОСТ 6008-82, раствор 5 г/дм: 0,5 г марганца помещают в стакан или колбу вместимостью 250-300 см
, растворяют при нагревании в 30 см
азотной кислоты (1:1) и охлаждают. Раствор переносят в мерную колбу вместимостью 100 см
, доливают до метки водой и перемешивают.
1 см раствора содержит 0,005 г марганца.
Кобальт по ГОСТ 123-78, раствор 10 г/дм: 1 г металлического кобальта помещают в стакан или колбу вместимостью 250-300 см
, растворяют при нагревании в 80 см
соляной кислоты (1:1) и охлаждают. Раствор переносят в мерную колбу вместимостью 100 см
, доливают до метки водой и перемешивают.
1 см раствора содержит 0,01 г кобальта.
Молибден, раствор 5 г/дм: 0,5 г молибдена помещают в стакан или колбу вместимостью 250-300 см
, растворяют при нагревании в смеси 20 см
соляной кислоты и 5 см
азотной кислоты.
Раствор выпаривают до влажных солей. Соли растворяют в 5 см соляной кислоты при нагревании. Раствор переносят в мерную колбу вместимостью 100 см
, доливают до метки водой и перемешивают.
1 см раствора содержит 0,005 г молибдена.
Хром по ГОСТ 5905-79, раствор 10 г/дм: 1 г хрома помещают в стакан или колбу вместимостью 250-300 см
, растворяют при нагревании в 30 см
соляной кислоты и охлаждают. Раствор переносят в мерную колбу вместимостью 100 см
, доливают до метки водой и перемешивают.
1 см раствора содержит 0,01 г хрома.
Никель по ГОСТ 9722-79, раствор 10 г/дм: 1 г металлического никеля помещают в стакан или колбу вместимостью 250-300 см
, растворяют при нагревании в 30 см
азотной кислоты и охлаждают. Раствор переносят в мерную колбу вместимостью 100 см
, доливают до метки водой и перемешивают.
1 см раствора содержит 0,01 г никеля.
Алюминий первичный по ГОСТ 11069-74, раствор 10 г/дм: 1 г алюминия растворяют в 30 см
соляной кислоты разбавленной 1:1.
Раствор переносят в мерную колбу вместимостью 100 см, доливают до метки водой и перемешивают.
1
см раствора содержит 0,01 г алюминия.
11.3. Подготовка спектрофотометра
Подготовку спектрофотометра проводят в соответствии с инструкцией к прибору. Настраивают спектрофотометр на резонансную линию 213,9 нм для определения цинка и 228 нм для определения кадмия. После включения подачи газа и зажигания горелки распыляют воду и устанавливают нуль прибора.
11.4. Проведение анализа
11.4.1. Навеску стали 1 г при массовой доле цинка или кадмия от 0,0005 до 0,001 %; 0,5 г при массовой доле цинка или кадмия св. 0,001 до 0,005%; 0,25 г при массовой доле цинка или кадмия св. 0,005 до 0,01 % помещают в стакан вместимостью 200-300 см или колбу вместимостью 250 см
, приливают 30 см
соляной и 10 см
азотной кислоты, накрывают стакан или колбу часовым стеклом и нагревают до растворения навески. Раствор выпаривают до влажных солей, остаток растворяют в 5 см
соляной кислоты. Приливают 20-30 см
воды, переносят раствор в мерную колбу вместимостью 50 см
, доливают до метки водой и перемешивают.
Полученный раствор фильтруют через два сухих фильтра средней плотности ("белая лента") в коническую сухую колбу вместимостью 50 см. Первые порции фильтрата отбрасывают. Распыляют раствор и измеряют величину степени поглощения излучения лампы атомами цинка при длине волны
= 213,9 нм или кадмия при длине волны
= 228 нм.
Перед распылением анализируемого раствора распыляют воду для промывания системы и проверки нулевой точки.
Содержание цинка или кадмия находят по градуировочному графику с учетом поправки контрольного оп
ыта.
11.4.2. Построение градуировочного графика.
В пять стаканов или колб вместимостью 250-300 см помещают навески карбонильного железа, растворы никеля, хрома, марганца, кобальта, молибдена, алюминия в количествах, соответствующих их содержанию в анализируемой стали.
В четыре стакана приливают последовательно 0,5; 1; 3; 5 см стандартного раствора Б цинка, что соответствует 0,000005; 0,00001; 0,00003; 0,00005 г цинка и 0,5; 1; 3; 5 см
стандартного раствора Б азотнокислого кадмия, что соответствует 0,000005; 0,00001; 0,00003; 0,00005 г кадмия.
Пятый стакан или колба служит для проведения контрольного опыта. Приливают по 30 см соляной и по 10 см
азотной кислоты, накрывают стаканы часовыми стеклами и растворяют навески при нагревании.
Далее анализ проводят, как указано в п. 11.4.1.
Из значений оптической плотности анализируемых растворов вычитают значение оптической плотности раствора контрольного опыта.
По найденным величинам оптической плотности и соответствующим им значениям концентраций цинка и кадмия строят градуировочные графики.
11.5. Обработка результатов
11.5.1. Массовую долю цинка или кадмия () в процентах вычисляют по формуле
![]()
где - масса цинка или кадмия, найденная по градуировочному графику, г;
- масса навески стали, г.
(Измененная редакция, Изм. № 1).
11.5.2. Абсолютные допускаемые расхождения результатов параллельных определений при доверительной вероятности = 0,95 не должны превышать значений, указанных в табл. 16.
Таблица 16
Массовая доля, % | Абсолютные допускаемые расхождения, % | ||
цинка | кадмия | для цинка | для кадмия |
От 0,0005 до 0,001 | От 0,0005 до 0,001 | 0,0007 | 0,0007 |
Св. 0,001 " 0,002 | Св. 0,001 " 0,002 | 0,0015 | 0,0015 |
" 0,002 " 0,004 | " 0,002 " 0,004 | 0,0020 | 0,0020 |
" 0,004 " 0,01 | " 0,004 " 0,01 | 0,0035 | 0,0035 |
12. ПОЛЯРОГРАФИЧЕСКИЙ МЕТОД ОПРЕДЕЛЕНИЯ ЦИНКА (0,0015-0,01%) И КАДМИЯ (0,001-0,01 %) В СТАЛЯХ, СОДЕРЖАЩИХ ВОЛЬФРАМ, МОЛИБДЕН, ТИТАН И НИОБИЙ
12.1. Сущность метода
Метод основан на способности цинка и кадмия восстанавливаться на ртутном капающем электроде при потенциале пика для цинка минус 1,17 В, для кадмия - минус 0,70 В относительно ртутного анода на фоне 1 М ортофосфорной кислоты.
Цинк и кадмий предварительно отделяют от основных компонентов стали осаждением в виде сульфидов тиоацетамидом в аммиачном растворе (рН 7,5) в присутствии винной кислоты в качестве комплексообразующего вещества.
(Измененная редакция, Изм. № 1).
12.2. Aппаратура, реактивы и растворы
Полярограф переменного тока.
Ячейка полярографическая, выполненная из стекла с анодом (донная ртуть) и ртутным капающим катодом, прилагаемая к полярографу.
Термометр рН-метр.
Ртуть марки РО или Р1 по ГОСТ 4658-73, не содержащая влаги.
Азот газообразный по ГОСТ 9293-74 или аргон по ГОСТ 10157-79.
Кислота соляная по ГОСТ 3118-77 или ГОСТ 14261-77, разбавленная 1:1.
Кислота азотная по ГОСТ 4461-77 или ГОСТ 11125-78, разбавленная 1:1.
Кислота винная по ГОСТ 5817-77, раствор 500 г/дм.
Кислота серная по ГОСТ 4204-77 или ГОСТ 14262-78.
Аммиак, водный раствор по ГОСТ 3760-79.
Тиоацетамид, водный раствор 20 г/дм.
Смесь соляной и азотной кислот свежеприготовленная (к 150 см соляной кислоты приливают 50 см
азотной кислоты и перемешивают) и разбавленная 1:1.
Кислота ортофосфорная по ГОСТ 6552-80 и разбавленная 1:3.
Железо карбонильное радиотехническое по ГОСТ 13610-79.
Медь марки МО по ГОСТ 859-78, раствор: 1 г/дм: 1 г меди растворяют при нагревании в 7-10 см
азотной кислоты (1:1).
Раствор охлаждают, переносят в мерную колбу вместимостью 100 см, доливают до метки водой и перемешивают.
1 см раствора содержит 0,01 г меди.
Цинк марки ЦО по ГОСТ 3640-79.
Стандартные растворы цинка.
Раствор А: 0,1 г цинка помещают в стакан вместимостью 250-300 см и растворяют при нагревании в 100 см
соляной кислоты (1:1). Раствор охлаждают, переносят в мерную колбу вместимостью 1 дм
, доливают до метки водой и перемешивают.
1 см стандартного раствора А содержит 0,0001 г цинка.
Раствор Б: 10 см раствора А помещают в мерную колбу вместимостью 100 см
, доливают до метки водой и перемешивают.
1 см стандартного раствора Б содержит 0,00001 г цинка.
Кадмий марки КдО по ГОСТ 1467-77.
Стандартные растворы кадмия.
Раствор А: 0,1 г кадмия помещают в стакан вместимостью 250-300 см и растворяют при нагревании в 30 см
азотной кислоты (1:1). Раствор охлаждают, переносят в мерную колбу вместимостью 1 дм
, доливают до метки водой и перемешивают.
1 см стандартного раствора А содержит 0,0001 г кадмия.
Pacтвор Б: 10 см раствора А помещают в мерную колбу вместимостью 100 см
, доливают до метки водой и перемешивают.
1 см стандартного расвора Б содержит 0,00001 г кадмия.
Индикатор универсальный, бумага.
(Измененная редакция, Изм. № 4).
12.3. Проведение анализа
12.3.1. Навеску стали 0,5 г помещают в стакан вместимостью 250-300 см или колбу вместимостью 250 см
, приливают 30 см
соляной и 10 см
азотной кислоты, накрывают стакан или колбу часовым стеклом и нагревают до растворения навески. Раствор выпаривают до объема приблизительно 10 см
, приливают 30 см
воды, 25 см
винной кислоты и нагревают в течение 5-10 мин.
Затем добавляют 30 см раствора аммиака до рН 8-9 и вновь нагревают в течение 5-10 мин до растворения выделившейся вольфрамовой кислоты. Приливают 1 см
pacтвоpa азотнокислой меди и устанавливают рН 7,5 соляной кислотой (1:1), используя рН-метр. Раствор разбавляют водой до 150 см
, нагревают до кипения и снимают стакан с раствором с плиты. Добавляют две порции по 10 см
раствора тиоацетамида с промежутком времени 5 мин.
Через 4 ч осадок сульфидов отфильтровывают на два фильтра средней плотности ("белая лента"), промывают 7-8 раз холодной водой. Фильтрат отбрасывают. Осадок растворяют на фильтре 30-40 см горячей смеси соляной и азотной кислот (1:1) порциями по 10 см
, собирая раствор в стакан или колбу, где производилось осаждение сульфидов. Фильтр промывают 3-4 раза горячей водой, присоединяя промывную жидкость к основному фильтрату.
В раствор добавляют 2 см серной кислоты и выпаривают до влажных солей. К остатку в стакане приливают 5 см
воды, 14 см
разбавленной ортофосфорной кислоты, переносят раствор в мерную колбу вместимостью 50 см
, доливают до метки водой и перемешивают. Продувают раствор азотом или аргоном в течение 10 мин и снимают полярограмму от минус 0,5 до минус 1,4 В, регистрируя пики восстановления кадмия и цинка соответственно при минус 0,70 В и минус 1,17 В.
Содержание цинка и кадмия находят по градуировочному графику с учетом поправки контрольного опыта.
(Измененная редакция, Изм. № 1).
12.3.2. Построение градуировочных графиков.
В шесть стаканов или колб вместимостью 250-300 см помещают по 0,5 г карбонильного железа. В пять стаканов или колб приливают последовательно 0,5; 1; 2; 3; 4; 5 см
стандартного раствора Б цинка, что соответствует 0,000005; 0,00001; 0,00002; 0,00003; 0,00004; 0,00005 г цинка и 0,5; 1; 2; 3; 4; 5 см
стандартного раствора Б кадмия, что соответствует 0,000005; 0,00002; 0,00003; 0,00004; 0,00005 г кадмия. Шестой стакан или колба служит для проведения контрольного опыта.
Во все стаканы или колбы приливают по 30 см соляной и по 10 см
азотной кислоты, накрывают стаканы часовыми стеклами и нагревают до растворения навесок.
Далее анализ проводят, как указано в п. 12.3.1.
Из значения высоты пика анализируемых растворов вычитают значение высоты пика контрольного опыта.
По найденным величинам высоты пика и соответствующим им значениям концентраций цинка и кадмия строят градуировочные графики.
(Измененная редакция, Изм. № 1).
12.4. Обработка результатов
12.4.1. Массовую долю цинка или кадмия () в процентах вычисляют по формуле
![]()
где - масса цинка или кадмия, найденная по соответствующему градуировочному графику, г;
- масса навески стали, г.
12.4.2. Абсолютные допускаемые расхождения результатов параллельных определений при доверительной вероятности = 0,95 не должны превышать значений, указанных в табл. 17.
Таблица 17
Массовая доля, % | Абсолютные допускаемые расхождения, % | ||
цинка | кадмия | цинка | кадмия |
От 0,0015 до 0,002 | От 0,001 до 0,002 | 0,0015 | 0,0015 |
Св. 0,002 " 0,004 | Св. 0,002 " 0,004 | 0,0020 | 0,0020 |
" 0,004 " 0,01 | " 0,004 " 0,01 | 0,0035 | 0,0035 |
13. ПОЛЯРОГРАФИЧЕСКИЙ МЕТОД ОПРЕДЕЛЕНИЯ СВИНЦА (0,001-0,01%), ЦИНКА (0,0015-0,01%) И КАДМИЯ (0,001-0,01%) В СТАЛЯХ, НЕ СОДЕРЖАЩИХ ВОЛЬФРАМ, МОЛИБДЕН, ТИТАН, НИОБИЙ
13.1. Сущность метода
Метод основан на способности свинца, цинка и кадмия восстанавливаться на ртутном капающем электроде при потенциале пика для свинца - минус 0,5 В, для цинка - минус 1,17 В, для кадмия - минус 0,7 В относительно ртутного анода на фоне 1 М ортофосфорной кислоты.
Свинец, цинк и кадмий предварительно отделяют от основных компонентов стали на сильноосновном анионите из 2 М солянокислого раствора.
13.2. Aппаратура, реактивы и растворы
Полярограф переменного тока.
Ячейка полярографическая, выполненная из стекла с анодом (донная ртуть) и ртутным капающим катодом, прилагаемая к полярографу.
Ртуть марки РО по ГОСТ 4658-73, не содержащая влаги.
Азот газообразный по ГОСТ 9293-74 или аргон по ГОСТ 10157-73.
Хроматографическая колонка диаметром 1,5-2,0 см, заполненная анионитом с высотой слоя 12-15 см.
Анионообменная смола по ГОСТ 20301-74 марки АВ-17-8-ЧС.
13.2.1. Подготовка анионита к анализу.
100-150 см товарного анионита (выпускается в виде взвеси в воде) промывают дважды водой способом декантации. Для отделения фракции смолы с размером зерна менее 0,6 мм взвесь смолы в воде выливают на сито с сеткой № 063 по ГОСТ 6613-73 и промывают струей воды, собирая прошедшую сквозь сито фракцию анионита вместе с водой в сосуд вместимостью 2-3 дм
. Оставшуюся на сите смолу отбрасывают. Фракцию анионита, прошедшую сквозь сито, дважды промывают соляной кислотой (1:30) способом декантации, затем соляной кислотой (1:1) до отсутствия ионов железа (проба роданистым аммонием) и водой 4-5 раз.
Смолу обрабатывают раствором 50 г/дм гидроокиси натрия до отрицательной реакции на хлорид-ионы (проба азотнокислым серебром), а затем водой до нейтральной реакции по универсальному индикатору и переносят в колонку, в нижней части которой предварительно помещают тампон из стеклянной ваты. Слой анионита в колонке должен быть ровным без пузырьков воздуха. После заполнения колонки через нее со скоростью 1 см
/мин пропускают вначале 120-150 см
соляной кислоты (1:30), затем 120-150 см
соляной кислоты (1:2) и 100 см
воды.
Вата стеклянная для заполнения хроматографической колонки.
Кислота соляная по ГОСТ 3118-77 или ГОСТ 14261-77, 2 М, 0,5 М, 0,02 М и разбавленная 1:1, 1:30, 1:100.
Кислота азотная по ГОСТ 4461-77 или ГОСТ 11125-78, 2 М и разбавленная 1:1.
Кислота серная по ГОСТ 4204-77 или ГОСТ 14262-78.
Кислота хлорная, раствор 570 г/дм.
Кислота ортофосфорная по ГОСТ 6552-80 и разбавленная 1:3.
Аммоний роданистый, раствор 50 г/дм.
Железо карбонильное радиотехническое по ГОСТ 13610-79 или нормативно-технической документации.
Натрия гидроокись по ГОСТ 4328-77, раствор 50 г/дм.
Свинец марки СО по ГОСТ 3778-77.
Стандартные растворы свинца.
Раствор А: 0,1 г свинца растворяют при нагревании в 30 см азотной кислоты. Раствор охлаждают, переносят в мерную колбу вместимостью 1 дм
, доливают до метки водой и перемешивают.
1 см раствора А содержит 0,0001 г свинца.
Раствор Б: 10 см раствора А помещают в мерную колбу вместимостью 100 см
, добавляют 2 см
соляной кислоты, доливают до метки водой и перемешивают.
1 см раствора Б содержит 0,00001 г свинца.
Раствор Б готовят в день употребления.
Цинк марки ЦО по ГОСТ 3640-79.
Стандартные растворы цинка.
Раствор А: 0,1 г цинка помещают в стакан вместимостью 250-300 см и растворяют при нагревании в 100 мл соляной кислоты (1:1). Раствор охлаждают, переносят в мерную колбу вместимостью 1 дм
, доливают до метки водой и перемешивают.
1 см стандартного раствора А содержит 0,0001 г цинка.
Раствор Б: 10 см раствора А помещают в мерную колбу вместимостью 100 см
, доливают до метки водой и перемешивают.
1 см стандартного раствора Б содержит 0,00001 г цинка.
Раствор Б готовят в день употребления.
Кадмий марки КдО по ГОСТ 1467-77.
Стандартные растворы кадмия.
Раствор А: 0,1 г кадмия помещают в стакан вместимостью 250-300 см и растворяют при нагревании в 30 см
азотной кислоты (1:1). Раствор охлаждают, переносят в мерную колбу вместимостью 1 дм
, доливают до метки водой и перемешивают.
1 см стандартного раствора А содержит 0,0001 г кадмия.
Раствор Б: 10 см раствора А помещают в мерную колбу вместимостью 100 см
, доливают до метки водой и перемешивают.
1 см стандартного раствора Б содержит 0,00001 г кадмия.
Раствор Б готовят в день употребления.
Индикато
р универсальный, бумага.
13.3. Проведение анализа
13.3.1. Массу навески стали 1 г при массовой доле свинца от 0,001 до 0,005%; цинка от 0,0015 до 0,005% и кадмия от 0,001 до 0,005%; 0,5 г при массовой доле свинца св. 0,005 до 0,01%; цинка св. 0,005 до 0,01%; кадмия св. 0,005 до 0,01% помещают в стакан вместимостью 200-300 см или колбу вместимостью 250 см
, приливают 30 см
соляной и 10 см
азотной кислоты, накрывают стакан или колбу часовым стеклом и нагревают до растворения навески.
Раствор выпаривают до влажных солей. К остатку приливают 5 см соляной кислоты и нагревают до растворения солей. К раствору приливают 50 мл горячей воды, нагревают до 80-90°С, отфильтровывают осадок кремневой кислоты на два фильтра средней плотности ("белая лента") и промывают 6-7 раз горячей соляной кислотой (1:100). Фильтр с осадком отбрасывают, а фильтрат выпаривают до влажных солей. Приливают 5 см
соляной кислоты, накрывают стакан или колбу часовым стеклом, нагревают до растворения солей и охлаждают. К раствору приливают 25 см
воды.
Хроматографическую колонку промывают 50 см 2 М раствора соляной кислоты. Анализируемый раствор пропускают через колонку со скоростью 1-1,5 см
/мин. Когда уровень раствора в колонке будет на 1-2 см выше слоя смолы, ополаскивают стакан 5-6 см
2 М раствора соляной кислоты и переносят промывную жидкость в колонку. Повторяют эту операцию еще 3 раза и смывают верхнюю часть колонки 2-3 раза 5-6 см
2 М раствора соляной кислоты.
Пропускают через колонку еще 100 см 2 М раствора соляной кислоты. Затем ионообменную колонку промывают 50-60 см
0,5 М раствора соляной кислоты для удаления из колонки железа.
Фильтрат отбра
сывают.
13.3.2. Свинец и цинк десорбируют 150 мл 0,02 М раствора соляной кислоты со скоростью 1-1,5 см/мин, собирая элюат в стакан или колбу вместимостью 300-400 см
.
Кадмий десорбируют 80 см 2 М раствора азотной кислоты со скоростью 1-1,5 см
/мин, собирая элюат в тот же стакан. Колонку промывают водой до нейтральной реакции по универсальному индикатору.
Фильтрат отбрасывают.
К элюату, содержащему свинец, цинк и кадмий приливают 3 см хлорной кислоты и выпаривают раствор до начала выделения паров хлорной кислоты. Затем обмывают стенки стакана водой, добавляют 14 см
ортофосфорной кислоты (1:3), раствор переносят в мерную колбу вместимостью 50 см
, доливают до метки водой и перемешивают. Продувают раствор азотом или аргоном в течение 10 мин и снимают полярограмму от минус 0,2 до минус 1,4 В, регистрируя пики восстановления свинца, цинка и кадмия соответственно при минус 0,51, минус 0,7 и минус 1,17 В.
Содержание свинца, цинка и кадмия находят по градуировочному графику с учетом поправки контрольного опыта
.
13.3.3. (Исключен, Изм. № 1).
13.3.4. Построение градуировочных графиков.
В семь стаканов вместимостью 250-300 см или колб вместимостью 250 см
помещают по 0,5 г карбонильного железа. В шесть стаканов приливают последовательно 0,5; 1; 2; 3; 4; 5 см
стандартного раствора Б свинца, что соответствует 0,000005; 0,00001; 0,00002; 0,00003; 0,00004; 0,00005 г свинца; 0,5; 1; 2; 3; 4; 5 см
стандартного раствора Б цинка, что соответствует 0,000005; 0,00001; 0,00002; 0,00003; 0,00004; 0,00005 г цинка и 0,5; 1; 2; 3; 4; 5 см
стандартного раствора Б кадмия, что соответствует 0,000005; 0,00001; 0,00002; 0,00003; 0,00004; 0,00005 г кадмия. Седьмой стакан служит для проведения контрольного опыта.
Во все стаканы или колбы приливают по 30 см соляной и по 10 см
азотной кислоты, накрывают стаканы часовыми стеклами и нагревают до растворения навесок.
Далее поступают, как указано в п. 13.3.1.
Из значения высоты полярографической волны (пика) анализируемых растворов вычитают значение высоты полярографической волны (пика) контрольного опыта.
По найденным величинам высоты полярографической волны (пика) и соответствующим им значениям концентраций свинца, цинка и кадмия строят градуировочные графики
.
13.4. Обработка результатов
13.4.1. Массовую долю свинца, цинка или кадмия () в процентах вычисляют по формуле
![]()
где - масса свинца, цинка или кадмия, найденная по соответствующему градуировочному графику, г;
- масса навески стали, г.
13.4.2. Абсолютные допускаемые расхождения результатов параллельных определений при доверительной вероятности = 0,95 не должны превышать значений, указанных в табл. 18.
Таблица 18
Массовая доля, % | Абсолютные допускаемые расхождения, % |
От 0,001 до 0,002 |
|
Св. 0,002 " 0,004 | 0,0020 |
" 0,004 " 0,01 | 0,0035 |
Цинка
|
|
Св.0,002 " 0,004 | 0,0020 |
" 0,004 " 0,01 | 0,0035 |
Кадмия
|
|
Св.0,002 " 0,004 | 0,0020 |
" 0,004 " 0,01 | 0,0035 |
Текст документа сверен по:
официальное издание
М.: Издательство стандартов, 1987
Разместите заказ
сами сделают вам предложение
