ГОСТы сталей. ГОСТ 12360-82
ГОСТ 12360-82
Группа В39
ГОСУДАРСТВЕННЫЙ СТАНДАРТ СОЮЗА ССР
СТАЛИ ЛЕГИРОВАННЫЕ И ВЫСОКОЛЕГИРОВАННЫЕ
Методы определения бора
Steels alloyed and highalloyed.
Methods for the determination of boron
ОКСТУ 0809
Дата введения 1983-01-01
ИНФОРМАЦИОННЫЕ ДАННЫЕ
1. РАЗРАБОТАН И ВНЕСЕН Министерством черной металлургии СССР
ИСПОЛНИТЕЛИ:
Н.П.Лякишев, проф. член-корр.; Г.В.Козина, канд. хим. наук; Р.Д.Малинина, канд. хим. наук; Н.И.Елина; В.А.Балусов; З.Т.Кобозева
2. УТВЕРЖДЕН И ВВЕДЕН В ДЕЙСТВИЕ Постановлением Государственного комитета СССР по стандартам от 29.01.82 N 381
3. ВЗАМЕН ГОСТ 12360-66
4. ССЫЛОЧНЫЕ НОРМАТИВНО-ТЕХНИЧЕСКИЕ ДОКУМЕНТЫ
Обозначение НТД, на который дана ссылка | Номер пункта, подпункта, перечисления, приложения |
ГОСТ 83-79 | 3а.2 |
ГОСТ 1942-86 | 3.2 |
ГОСТ 3118-77 | 2.2, 3.2, 3а.2, 4.2 |
ГОСТ 4107-78 | 4.2 |
ГОСТ 4108-72 | 4.2 |
ГОСТ 4204-77 | 2.2, 3.2, 4.2 |
ГОСТ 4328-77 | 2.2, 3а.2, 4.2 |
ГОСТ 4332-76 | 2.2, 3.2, 4.2 |
ГОСТ 4461-77 | 3.2, 3а.2 |
ГОСТ 5833-75 | 4.2 |
ГОСТ 5962-67 | 3а.2 |
ГОСТ 6552-80 | 2.2, 3.2, 3а.2 |
ГОСТ 6563-75 | 3.2 |
ГОСТ 6709-72 | 2.2, 3а.2 |
ГОСТ 6995-77 | 2.2 |
ГОСТ 8321-74 | 4.2 |
ГОСТ 9656-75 | 2.2, 3,2, 4.2 |
ГОСТ 10067-80 | 3.2 |
ГОСТ 10484-78 | 3.2 |
ГОСТ 10652-73 | 3а.2, 4.2 |
ГОСТ 10929-76 | 2.2, 3.2, 4.2 |
ГОСТ 11125-84 | 3.2, 3а.2 |
ГОСТ 13610-79 | 2.2, 3.2, 3а.2 |
ГОСТ 14261-77 | 3.2, 3а.2 |
ГОСТ 24147-80 | 3а.2 |
5. Срок действия продлен до 01.01.98* Постановлением Госстандарта СССР от 09.06.87 N 1941
____________
* Ограничение срока действия снято по протоколу № 7-95 Межгосударственного Совета по стандартизации, метрологии и сертификации. (ИУС № 11, 1995 г. ). - Примечание "КОДЕКС".
6. ПЕРЕИЗДАНИЕ (июнь 1988 г.) с Изменением N 1, утвержденным в июне 1987 г. (ИУС 9-87)
Настоящий стандарт устанавливает фотометрический, экстракционно-фотометрический методы определения общей массовой доли бора (при массовой доле бора от 0,0005 до 0,1%) и метод потенциометрического титрования для определения общей массовой доли бора (при массовой доле бора от 0,05 до 2,0%) в легированных и высоколегированных сталях.
1. ОБЩИЕ ТРЕБОВАНИЯ
1. ОБЩИЕ ТРЕБОВАНИЯ
Общие требования к методам анализа - по ГОСТ 20560-81.
2. ФОТОМЕТРИЧЕСКИЙ МЕТОД ОПРЕДЕЛЕНИЯ БОРА
2.1. Сущность метода
Метод основан на отделении бора в виде борнометилового эфира дистилляцией с метиловым спиртом с последующим образованием окрашенного в синий цвет соединения борной кислоты с хинализарином в сернокислом растворе. Светопоглощение раствора измеряют при = 620 нм.
2.2. Аппаратура, реактивы и растворы
Дистилляционный аппарат (см. чертеж), изготовленный из кварца или стекла, не содержащего бор. Допускается применение аппаратов другой конструкции.
Спектрофотометр.

Кислота серная по ГОСТ 4204-77 и разбавленная 1:3. Перед применением кислоту очищают 2-3 pаза дистилляцией, прибавляя по 10 см метанола на каждые 250 см
кислоты. Дистилляцию ведут до начала выделения паров серной кислоты.
Кислота ортофосфорная по ГОСТ 6552-80. Перед применением кислоту очищают 2-3 раза дистилляцией, прибавляя по 10 см метанола на каждые 250 см
кислоты. Дистилляцию ведут до начала выделения паров ортофосфорной кислоты.
Кислота соляная по ГОСТ 3118-77.
Олово двухлористое, раствор 1 г двухлористого олова растворяют в 100 см соляной кислоты.
Натрия гидроокись по ГОСТ 4328-77.
Водорода перекись по ГОСТ 10929-76.
Калий-натрий углекислый безводный по ГОСТ 4332-76.
Метанол по ГОСТ 6995-77.
Эталон абсолютный.
Хинализарин, раствор: к 0,12 г хинализарина добавляют 114 см воды и серную кислоту до 2 дм
, раствор перемешивают.
Кислота борная по ГОСТ 18704-78 или ГОСТ 9656-75.
Стандартные растворы бора.
Раствор А: 0,5720 г борной кислоты растворяют в небольшом количество воды в мерной колбе вместимостью 1 дм, доливают водой до метки и перемешивают.
1 см раствора А содержит 0,0001 г бора.
Раствор Б: 50 см раствора А переносят в мерную колбу вместимостью 1 дм
, доливают водой до метки и перемешивают.
1 см раствора Б содержит 0,000005 г бора.
Железо карбонильное по ГОСТ 13610-79.
Бусины из стекла или кварца, не содержащие бора.
Вода бидистиллированная по ГОСТ 6709-72.
(Измененная редакция, Изм.
N 1).
2.3. Проведение анализа
2.3.1. Навеску стали массой, указанной в табл. 1, помещают в колбу дистилляционного аппарата, прибавляют 15-20 см
раствора серной кислоты (1:3) или 10-15 см
ортофосфорной кислоты. Колбу соединяют с притертой частью прибора, включают холодильник
и постепенно содержимое нагревают до полного растворения навески.
После растворения колбу снимают и раствор окисляют, прибавляя по каплям 3-4 см раствора перекиси водорода.
Колбу вновь соединяют с прибором для дистилляции и кипятят раствор в течение 10-15 мин, затем охлаждают.
При массовой доле бора от 0,0005 до 0,04% для дальнейшего анализа используют весь раствор; при массовой доле свыше 0,04 до 0,10% раствор из колбы переносят в мерную колбу вместимостью 50 см
, доливают водой до метки, перемешивают и аликвотную часть этого раствора, равную 20 см
, переносят в колбу
.
Таблица 1
Массовая доля бора, % | Масса навески, г |
От 0,0005 до 0,005 | 1,0 |
Св. 0,005 до 0,01 | 0,5 |
" 0,01 " 0,02 | 0,2 |
" 0,02 " 0,04 | 0,1 |
" 0,04 " 0,10 | 0,1 |
Затем прибавляют в колбу 15 см
ортофосфорной кислоты, несколько кварцевых или стеклянных бусин и соединяют колбу с прибором с помощью притертого шлифа.
Прекращают подачу воды в холодильник , включают холодильник
, используя в качестве приемника к холодильнику
мерный цилиндр. Содержимое колбы
нагревают до тех пор, пока не перегонится вся вода (до постоянства объема раствора в мерном цилиндре).
После окончания дистилляции воды из колбы прекращают подогрев и включают холодильник
; холодильник
остается включенным. Перегнанную воду переливают количественно из мерного цилиндра в кварцевый стакан или платиновую чашку и сохраняют.
В колбу отмеряют 50 см
метанола (допускается применение эталона), 7-8 см
раствора гидроокиси натрия и прибавляют несколько стеклянных или кварцевых бусин. В затвор
вливают 3 см
раствора гидроокиси натрия. Колбу
соединяют с притертой частью прибора и содержимое нагревают постепенно до тех пор, пока половина содержимого колбы не будет перегнана в колбу
. Отключают холодильник
, обе колбы постепенно нагревают в течение 50 мин. Весь бор должен находиться в колбе
. Нагрев колбы
прекращают, из колбы
перегоняют в колбу
весь метанол, потом прекращают подогрев колбы
, включают холодильник
, в колбу
прибавляют 0,5 г углекислого калия-натрия и раствор гидроокиси натрия из затвора
.
Колбу соединяют с притертой частью прибора и, медленно подогревая, перегоняют весь метанол в колбу
.
Остаток из колбы переносят количественно дистиллированной или деионизированной водой в кварцевый стакан или платиновую чашку.
Остаток в колбе обрабатывают следующим образом: содержимое колбы разбавляют водой до 250 см
, фильтруют через плотный фильтр с бумажной массой, фильтр с возможным остатком промывают, переносят в платиновый тигель, осторожно высушивают и озоляют, прибавляют 0,5 г безводного углекислого калия-натрия и сплавляют в течение 20 мин. Плав выщелачивают 20 см
ортофосфорной кислоты. Раствор переносят в колбу
прибора и повторяют процесс дистилляции. Полученный дистиллят присоединяют к раствору в кварцевом стакане или платиновой чашке и выпаривают досуха.
Cухой остаток в кварцевом стакане или платиновой чашке выщелачивают 5 см воды и 1,5 см
добавляемой по каплям серной кислоты. Полученный раствор переносят количественно в мерную колбу или градуированный цилиндр вместимостью 10 см
, после охлаждения доливают водой до метки и перемешивают.
Содержимое мерной колбы или градуированного цилиндра фильтруют через сухой фильтр в сухой стакан. В колбу вместимостью 50 см переносят пипеткой 4 см
фильтрата, прибавляют 0,2 см
раствора двухлористого олова и при помощи бюретки 40 см
раствора хинализарина. Содержимое колбы перемешивают, охлаждают, выдерживают 30 мин и измеряют светопоглощение раствора при длине волны 620 нм.
Раствором сравнения служит раствор контрольного опыта.
Массу бора находят по градуировочному графику.
(Измененная редакция, Изм. N 1).
2.3.2. Для построения градуировочного графика к шести навескам железа массой по 1 г, помещенным последовательно в колбу , отмеряют 1,0; 2,0; 4,0; 6,0; 8,0 и 10,0 см
стандартного раствора Б; к седьмой навеске не добавляют стандартный раствор и проводят контрольный опыт. Колбу каждый раз соединяют с притертой частью дистилляционного прибора и поступают далее по п.2.3.1, за исключением обработки нерастворимого остатка.
По найденным величинам оптической плотности и соответствующим им значениям масс бора строят градуировочный график.
(Измененная редакция, Изм. N 1).
2.4. Обработка результатов
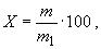
2.4.1. Массовую долю бора () в процентах вычисляют по формуле
где - масса бора, найденная по градуировочному графику, г;
- масса навески пробы или части навески, соответствующей аликвотной части раствора, г.
2.4.2. Абсолютные допускаемые расхождения результатов параллельных определений при доверительной вероятности = 0,95 не должны превышать значений, указанных в табл. 2.
Таблица 2
Массовая доля бора, % | Абсолютные допускаемые расхождения, % | |
От 0,0005 | до 0,001 | 0,0005 |
Св. 0,001 | " 0,002 | 0,001 |
" 0,002 | " 0,005 | 0,002 |
" 0,005 | " 0,01 | 0,003 |
" 0,01 | " 0,02 | 0,005 |
" 0,02 | " 0,05 | 0,007 |
" 0,05 | " 0,10 | 0,01 |
" 0,1 | " 0,2 | 0,02 |
" 0,2 | " 0,5 | 0,03 |
" 0,5 | " 1,0 | 0,04 |
" 1,0 | " 2,0 | 0,05 |
3. ЭКСТРАКЦИОННО-ФОТОМЕТРИЧЕСКИЙ МЕТОД ОПРЕДЕЛЕНИЯ БОРА
3.1. Сущность метода
Метод основан на превращении борной кислоты в тетрафторборную и экстракции 1,2-дихлорэтаном окрашенного в голубой цвет соединения тетрафтороборат-ионов с реагентом метиленовым голубым с последующим измерением светопоглощения экстракта при = 657 нм.
3.2. Аппаратура, реактивы и растворы
Спектрофотометр, фотоэлектроколориметр.
Кислота соляная по ГОСТ 3118-77 или ГОСТ 14261-77.
Кислота азотная по ГОСТ 4461-77 или ГОСТ 11125-84.
Кислота серная по ГОСТ 4204-77 и раствор с молярной концентрацией эквивалента 2,5 моль/дм.
Кислота фтористоводородная по ГОСТ 10484-78 и раствор с массовой концентрацией 50 г/дм. К 20 см
фтористоводородной кислоты приливают 150 см
воды и перемешивают. Хранят в сосуде из полиэтилена.
Кислота ортофосфорная по ГОСТ 6552-80 и разбавленная 1:1.
Смесь соляной и азотной кислот, свежеприготовленная: к 150 см соляной кислоты приливают 50 см
азотной кислоты и перемешивают.
Смесь серной и ортофосфорной кислот: к 180 см ортофосфорной кислоты приливают 20 см
серной кислоты и перемешивают.
Водорода перекись по ГОСТ 10929-76 и разбавленная 1:1.
Калий углекислый - натрий углекислый по ГОСТ 4332-76.
Калий фтористый по ГОСТ 10067-80, раствор: 150 г фтористого калия растворяют в воде и разбавляют водой до 1 дм.
Хранят в сосуде из полиэтилена.
Метиленовый голубой, раствор: 3,739 г метиленового голубого растворяют в воде и разбавляют до 1 дм. 100 см
полученного раствора разбавляют водой до 1 дм
.
1,2-дихлорэтан по ГОСТ 1942-86. 1,2 - дихлорэтан выдерживают с активированным углем в течение двух недель.
Кислота борная по ГОСТ 9656-75.
Стандартные растворы бора.
Раствор А: 0,5720 г борной кислоты растворяют в небольшом количестве воды в мерной колбе вместимостью 1 дм, доливают водой до метки и перемешивают.
1 см раствора А содержит 0,0001 г бора.
Раствор Б: 50 см раствора А переносят в мерную колбу вместимостью 1 дм
, доливают водой до метки и перемешивают.
1 см раствора Б содержит 0,000005 г бора.
Железо карбонильное по ГОСТ 13610-79 и раствор в ортофосфорной кислоте: 25 г карбонильного железа помещают в кварцевую коническую колбу вместимостью 500 см, приливают 300 см
ортофосфорной кислоты, разбавленной 1:1, и растворяют при умеренном нагревании. Раствор охлаждают, приливают по каплям перекись водорода до полного окисления железа (около 60 см
), нагревают раствор до кипения и кипятят до полного разложения перекиси водорода.
Раствор охлаждают, переносят в мерную колбу вместимостью 500 см, доводят до метки водой и перемешивают. (Во избежание выпадения солей воду следует добавлять малыми порциями и тщательно перемешивать раствор после каждого добавления).
(Измененная редак
ция, Изм. N 1).
3.3. Проведение анализа
3.3.1. Определение бора в стали, растворимой в растворе серной кислоты
3.3.1.1. Навеску стали массой 0,25 г помещают в кварцевую колбу, приливают 15 см раствора серной кислоты и закрывают кварцевой пришлифованной насадкой с обратным воздушным холодильником (кварцевая трубка длиной около 35 см, с внутренним диаметром около 4 мм).
Содержимое сосуда нагревают при температуре до 150 °С с воздушным холодильником до растворения пробы. Потом раствор окисляют, прибавляя по каплям через холодильник 0,5-1,0 см раствора перекиси водорода, стенки холодильника ополаскивают небольшими порциями воды и продолжают нагревание в течение 5 мин.
После охлаждения снимают насадку, холодильник ополаскивают небольшими порциями воды и раствор пробы фильтруют через плотный фильтр с бумажной массой в полиэтиленовый сосуд вместимостью 250 см, на котором меткой обозначены объемы 50 и 100 см
; при фильтровании применяют воронку из пластмассы. Допускается применение платиновых или кварцевых воронок. Фильтр с осадком промывают несколько раз водой, присоединяя промывную жидкость к фильтрату. Фильтр переносят в платиновый тигель, осторожно высушивают и озоляют. Остаток в тигле сплавляют с 0,5 г калия углекислого-натрия углекислого при 700-800 °С, плав выщелачивают водой и после охлаждения присоединяют к основному фильтрату.
3.3.1.2. При массовой доле в стали от 0,0005 до 0,005% бора, полученный по п.3.3.1.1 раствор разбавляют водой до 50 см, приливают 10 см
раствора фтористого калия или 10 см
раствора фтористоводородной кислоты, перемешивают и оставляют на 2 ч. Допускается оставлять раствор на более длительное время, но не более 1 сут.
Затем прибавляют пипеткой 10 см раствора метиленового голубого и доливают до 100 см
. К раствору пипеткой прибавляют 25 см
1,2-дихлорэтана, сосуд закрывают полиэтиленовой крышкой, встряхивают в течение 60 с. Потом переносят в делительную воронку вместимостью 150-200 см
, органический слой (нижний) переводят во вторую воронку и промывают встряхиванием с точно отмеренными 10 см
воды в течение 30 с. Органический слой фильтруют через сухой фильтр в сухой полиэтиленовый стакан пипеткой отбирают 5 см
фильтрата в мерную колбу вместимостью 25 см
, разбавляют до метки 1,2-дихлорэтаном, перемешивают и измеряют оптическую плотность раствора на спектрофотометре при длине волны 657 нм или на фотоэлектроколориметре со светофильтром, имеющим максимум светопропускания в интервале длин волн 620-680 нм.
Раствором сравнения служит дихлорэтан. Массу бора в граммах находят по градуировочному графику с учетом поправки контрольного опыта.
3.3.1.3. При массовой доле бора в стали свыше 0,005 до 0,1%, полученный по п.3.3.1.1 раствор переносят в мерную колбу вместимостью 100 см, разбавляют водой до метки и перемешивают.
В полиэтиленовый сосуд приливают аликвотные части этого раствора и раствор серной кислоты согласно табл. 3.
Таблица 3
Массовая доля бора, % | Объем аликвотной части, см | Объем 5 н. pacтвора серной кислоты, см | |
Св, 0,005 | до 0,025 | 20 | 12,0 |
" 0,025 | " 0,05 | 10 | 13,5 |
" 0,05 | " 0,10 | 5 | 14,0 |
Раствор в полиэтиленовом сосуде разбавляют водой до объема 50 см и далее поступают согласно п.3.3.1.2.
3.3.1.1-3.3.1.3. (Измененная редакция, Изм. N 1).
3.3.1.4. Для построения градуировочного графика в семь кварцевых сосудов помещают по 0,25 г стали близкой по составу к анализируемой, но не содержащей бор, приливают по 15 см раствора серной кислоты и нагревают на водяной бане до растворения. Полученные растворы окисляют прибавлением по 0,5 см
раствора перекиси водорода, продолжают нагревание в течение 5 мин и после охлаждения переносят в полиэтиленовые сосуды вместимостью 250 см
, на которых меткой обозначены объемы 50 и 100 см
, прибавляют по 0,5 г безводного углекислого калия-натрия и в шесть сосудов последовательно отмеряют 0,25; 0,5; 1,0; 1,5; 2,0; 3,0 см
стандартного раствора Б. Объемы всех растворов доливают водой до 50 см
, прибавляют по 10 см
раствора фтористого калия или 10 см
раствора фтористоводородной кислоты и далее проводят анализ, как указано в п.3.3.1.2.
Раствор, не содержащий бор, служит для проведения контрольного опыта.
(Введен дополнительно, Изм. № 1
).
3.3.2. Определение бора в стали, нерастворимой в серной кислоте.
Таблица 3а
Массовая доля бора, % | Масса, г | |
От 0,0010 | до 0,0030 включ. | 0,50 |
Св. 0,0030 | " 0,0060 " | 0,25 |
" 0,0060 | " 0,015 " | 0,10 |
Навеску стали массой в соответствии с табл. 3а помещают в кварцевый стакан вместимостью 200 см, приливают 30 см
смеси соляной и азотной кислот, стакан накрывают пластмассовой крышкой и растворяют навеску при умеренном нагревании. Затем приливают 10 см
смеси серной и ортофосфорной кислот и нагревают раствор до появления паров серной кислоты. Раствор охлаждают, смывают крышку и стенки стакана водой и вновь выпаривают до появления паров серной кислоты. Раствор охлаждают, приливают 40 см
воды, перемешивают и нагревают до растворения солей. Охлажденный раствор переносят в мерную колбу вместимостью 100 см
, доводять до метки водой и перемешивают. (Во избежание выпадения солей воду следует добавлять малыми порциями и тщательно перемешивать раствор после каждого добавления).
Аликвотную часть раствора 20 см помещают в полиэтиленовый сосуд вместимостью 250 см
, приливают полиэтиленовой мензуркой 5 см
раствора фтористоводородной кислоты, перемешивают и оставляют не менее чем на 30 мин. Допускается оставлять раствор на более длительное время, но не более 1 сут. Затем приливают 10 см
раствора карбонильного железа, 20 см
воды, 5 см
раствора метиленового голубого, 25 см
1,2-дихлорэтана, перемешивая раствор после добавления каждого реактива. Сосуд закрывают полиэтиленовой крышкой, встряхивают в течение 60 с. Потом переносят в делительную воронку вместимостью 150-200 см
, органический слой (нижний) фильтруют через сухой фильтр или вату в сухой стакан вместимостью 50 см
. Оптическую плотность раствора измеряют на спектрофотометре при длине волны 657 нм или на фотоэлектроколометре со светофильтром, имеющим максимум светопропускания в интервале длин волн 620-680 нм в кювете с толщиной слоя 10 мм.
Раствором сравнения служит дихлорэтан.
Одновременно проводят контрольный опыт на загрязнение реактивов.
Массу бора находят по градуировочному графику с учетом поправки контрольного опыта.
(Измененная редакция, Изм. N 1).
3.3.2.1. Для построения градуировочного графика в семь кварцевых стаканов вместимостью 200 см помещают навески карбонильного железа в соответствии с табл. 4. В шесть стаканов приливают последовательно 0,5; 1,0; 1,5; 2,0; 2,5; 3,0 см
стандартного раствора бора Б. Седьмой стакан служит для проведения контрольного опыта.
Во все стаканы приливают 30 см смеси соляной и азотной кислот, стаканы накрывают пластмассовыми крышками и растворяют навески при умеренном нагревании.
Далее поступают, как указано в п.3.3.2. Из значения оптической плотности анализируемых растворов вычитают значение оптической плотности контрольного опыта.
По найденным величинам оптической плотности растворов и соответствующим им значениям массы бора в аликвотной части раствора строят градуировочный график.
(Введен дополнительно, Изм. N 1).
3.3.3. (Исключен, Изм. N 1).
3а. ФОТОМЕТРИЧЕСКИЙ МЕТОД ОПРЕДЕЛЕНИЯ БОРА В СТАЛЯХ С МАССОВОЙ ДОЛЕЙ ВАНАДИЯ до 1%
3а.1. Сущность метода
Метод основан на образовании окрашенного комплексного соединения бора с Аш-резорционом и тионином при рН 5,0-5,2 после отделения бора гидроокисью натрия в сильнощелочной среде при рН 12-13. Светопоглощение раствора измеряют при = 500-520 нм.
Вольфрам и молибден не мешают определению, влияние алюминия устраняют добавлением трилона Б.
3а.2. Аппаратура, реактивы и растворы
Спектрофотометр, фотоэлектроколориметр, рН-метр.
Тигли платиновые по ГОСТ 6563-75.
Кислота серная по ГОСТ 4204-77 или ГОСТ 14262-78 и разбавленная 1:1.
Кислота соляная по ГОСТ 3118-77 или ГОСТ 14261-77, раствор с молярной концентрацией 6,0 моль/дм, 1 моль/дм
.
Кислота азотная по ГОСТ 4461-77 или ГОСТ 11125-78.
Кислота ортофосфорная по ГОСТ 6552-80.
Кислота уксусная по ГОСТ 18270-72, раствор с молярной концентрацией 0,5 моль/дм.
Натрия гидроокись по ГОСТ 4328-77, раствор с молярной концентрацией 5,0 моль/дм, 1,0 моль/дм
.
Спирт этиловый ректификованный по ГОСТ 5962-67.
Соль динатриевая этилендиаминтетрауксусной кислоты, 2-водная (трилон Б) по ГОСТ 10652-73, раствор с молярной концентрацией 0,05 моль/дм: 1,86 г трилона Б растворяют в 100 см
воды.
Аммиак водный по ГОСТ 24147-80, раствор с молярной концентрацией 0,5 моль/дм.
Натрий углекислый по ГОСТ 83-79.
Железо карбонильное по ГОСТ 13610-79.
Аш-резорцин, динатриевая соль, раствор с молярной концентрацией 0,001 моль/дм: 0,0494 г Аш-резорцина растворяют в 100 см
воды.
Тионин 2-водный, краситель для микроскопии, спиртовый, раствор с молярной концентрацией 0,001 моль/дм: 0,029 г тионина растворяют в 100 см
этилового спирта.
Буферный раствор: готовят смешиванием равных объемов раствора уксусной кислоты (0,5 моль/дм) и раствора аммиака (0,5 моль/дм
), затем устанавливают рН 5,0-5,2 по рН-метру добавлением растворов уксусной кислоты или аммиака.
Кислота борная по ГОСТ 9656-75.
Стандартные растворы бора.
Раствор А: 5,7154 г борной кислоты растворяют в 300 см воды в мерной колбе вместимостью 1 дм
, доливают водой до метки и перемешивают.
1 см раствора А содержит 0,001 г бора.
Раствор Б: 10 см раствора А переносят в мерную колбу вместимостью 1 дм
, доливают водой до метки и перемешивают.
1 см раствора Б содержит 0,00001 г бора. Раствор Б готовят перед употреблением.
Вода бидистиллированная по ГОСТ 6709-72, дополнительно очищенная пропусканием через анионит АВ-17 и катионит КУ-2.
3а.3. Проведение анализа
3а.3.1. Навеску стали массой, указанной в табл. 3б помещают в кварцевый стакан вместимостью 100 см, приливают 20 см
смеси воды, соляной и азотной кислот в соотношении 1:1:1, 2 см
ортофосфорной кислоты, стакан накрывают пластмассовой крышкой и растворяют навеску при умеренном нагревании.
Таблица 3б
Массовая доля бора, % | Масса навески, г | Объем аликвотной части, см | |
От 0,002 | до 0,005 включ. | 0,5 | 25 |
Св. 0,005 | " 0,01 " | 0,5 | 20 |
" 0,01 | " 0,02 " | 0,25 | 20 |
" 0,02 | " 0,03 " | 0,25 | 10 |
Если проба не растворяется в указанной смеси, для растворения используют смесь соляной и азотной кислот в соотношении 3:1 или 8:1 с добавлением 2 смортофосфорной кислоты.
После растворения приливают 8 смразбавленной 1:1 серной кислоты и выпаривают до выделения слабых паров серной кислоты.
Соли растворяют в 5 см соляной кислоты, затем приливают 30-40 см
воды и кипятят до полного растворения солей.
Нерастворимый остаток отфильтровывают через плотный фильтр, в кварцевый стакан вместимостью 200 см, стакан и фильтр промывают несколько раз горячей водой. Фильтр помещают в платиновый тигель, сжигают и прокаливают при 600-700 °С. Остаток в тигле сплавляют с 1 г углекислого натрия при 950-1000 °С в течение 15-20 мин. Плав растворяют в горячей воде с добавлением 1-2 см
соляной кислоты и присоединяют к основному фильтрату.
Объединенный раствор выпаривают до 40-60 см.
К раствору приливают порциями 60 см раствора гидроокиси натрия с молярной концентрацией 5 моль/дм
.
Для коагуляции осадка стакан ставят на водяную баню на 30 мин. Раствор с осадком охлаждают, переводят в мерную колбу вместимостью 200 см, доливают водой до метки, перемешивают и фильтруют в сухую кварцевую колбу через фильтр средней плотности.
Из фильтрата отбирают пипеткой аликвотную часть раствора для определения бора и помещают в стакан вместимостью 50 см, добавляют 0,5 см
раствора трилона Б (если масса алюминия в аликвотной части раствора превышает 0,25 мг, объем трилона Б увеличивают до 2,5 см
), воды до 20 см
и с помощью рН-метра устанавливают рН 5,0 раствором соляной кислоты вначале с молярной концентрацией 6 моль/дм
, а затем 1 моль/дм
или раствором гидроокиси натрия с молярной концентрацией 1 моль/дм
.
Затем добавляют точно 5 см раствора Аш-резорцина и 1 см
раствора тионина при перемешивании, содержимое стакана переносят в мерную колбу вместимостью 50 см
, ополаскивают стакан буферным раствором, доливают до метки буферным раствором, перемешивают и через 18-24 ч измеряют оптическую плотность раствора при
= 500-520 нм относительно контрольного опыта, проведенного через весь ход анализа.
При массовой доле бора свыше 0,005% проводят измерение через 2 ч.
Массу бора находят по градуировочному графику.
3а.3.1.1. Для построения градуировочного графика в семь кварцевых стаканов вместимостью 100 см помещают навески карбонильного железа в соответствии с массой навески, указанной в табл. 3б. В шесть стаканов приливают последовательно 1,0; 4,0; 7,0; 10,0; 12,0; 15,0 см
стандартного раствора бора Б. Седьмой стакан служит для проведения контрольного опыта.
Во все стаканы приливают 20 см смеси воды, соляной и азотной кислот в соотношении 1:1:1, 2 см
ортофосфорной кислоты, стаканы накрывают пластмассовыми крышками и растворяют навески при умеренном нагревании.
Далее поступают, как указано в п.3а.3.1.
По найденным величинам оптической плотности растворов и соответствующим им значениям массы бора в аликвотной части раствора строят градуировочный график.
3а.4. Обработка результатов
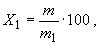
3а.4.1. Массовую долю бора () в процентах вычисляют по формуле
где - масса бора, найденная по градуировочному графику, г;
- масса навески стали, соответствующая аликвотной части раствора, г.
3а.4.2. Абсолютные допускаемые расхождения результатов параллельных определений при доверительной вероятности = 0,95 не должны превышать значений, указанных в табл. 2.
Разд. 3а. (Введен дополнительно, Изм. № 1).
3.4. Обработка результатов
3.4.1. Массовую долю бора () в процентах вычисляют по формуле
![]()
где - масса бора, найденная по градуировочному графику, г;
- масса навески стали, соответствующая аликвотной части раствора, г.
3.4.2. Абсолютные допускаемые расхождения результатов параллельных определений при доверительной вероятности =0,95 не должны превышать значений, указанных в табл. 2.
4. МЕТОД ПОТЕНЦИОМЕТРИЧЕСКОГО ТИТРОВАНИЯ
4.1. Сущность метода
Метод основан на отделении бора от железа, никеля, хрома, молибдена и других элементов щелочью и хлористым барием с последующим определением бора в фильтрате методом потенциометрического титрования. Перед титрованием рН раствора устанавливают равным 6,9, добавляют маннит или инвертный сахар и титруют образовавшуюся комплексную кислоту раствором гидроокиси натрия до первоначального значения рН, равного 6,9.
4.2. Аппаратура, реактивы и растворы
Потенциометр (рН-метр).
Электроды: стеклянный и каломельный или хлорсеребряный, прилагаемые к потенциометру (рН-метру).
Мешалка.
Сосуды из кварца или стекла, не содержащего бор.
Кислота соляная по ГОСТ 3118-77 и разбавленная 1:1, 1:10.
Водорода перекись по ГОСТ 10929-76, раствор с массовой концентрацией 30 г/дм свежеприготовленный.
Бария гидроокись по ГОСТ 4107-78, раствор: 50 г гидроксида бария растворяют в воде и раствор разбавляют водой до 1000 см.
Натрия гидроокись по ГОСТ 4328-77, 5; 0,1 и раствор с молярной концентрацией эквивалента 0,02 моль/дм.
Раствор с молярной концентрацией эквивалента 0,1 моль/дм, гидроокиси натрия: к 5000 см
раствора, содержащего 0,004 г/см
гидроокиси натрия, приливают 10-15 см
раствора гидроксида бария, перемешивают и дают отстояться осадку в течение суток.
Раствор с молярной концентрацией эквивалента 0,02 моль/дм гидроокиси натрия: раствор с молярной концентрацией эквивалента 0,1 моль/дм
гидроокиси натрия разбавляют прокипяченной в течение 1 ч и охлажденной водой в отношении 1:4 и перемешивают.
Устанавливают массовую концентрацию раствора: в стакан вместимостью 400 см помещают от 5 до 10 см
стандартного раствора бора, приливают 250 см
воды, опускают мешалку и электроды, присоединенные к потенциометру. Приводят во вращение мешалку, приливают раствор с молярной концентрацией эквивалента 0,1 моль/дм
гидроокиси натрия почти до рН 6,9 и затем устанавливают точное значение рН = 6,9, приливая из бюретки раствор с молярной концентрацией эквивалента 0,02 моль/дм
гидроокиси натрия. К раствору, имеющему рН = 6,9, приливают 30 см
раствора маннита или инвертного сахара (при этом рН раствора понижается) и титруют раствором с молярной концентрацией эквивалента 0,02 моль/дм
гидроокиси натрия до исходного значения рН = 6,9.
Массовую концентрацию раствора с молярной концентрацией эквивалента 0,02 моль/дм гидроокиси натрия (
), выраженную в граммах бора на кубический сантиметр, вычисляют по формуле
![]()
где 0,0004 - концентрация бора в стандартном растворе, г/см;
- объем стандартного раствора бора, взятый для титрования, см
;
- объем раствора с молярной концентрацией эквивалента 0,02 моль/дм
гидроокиси натрия, израсходованный на титрование, см
;
- объем раствора с молярной концентрацией эквивалента 0,02 моль/дм
гидроокиси натрия, израсходованный на титрование в контрольном опыте, см
.
Кислота борная по ГОСТ 9656-75.
Стандартный раствор бора: 2,288 г борной кислоты растворяют в воде в мерной колбе вместимостью 1000 см, доливают водой до метки и перемешивают.
1 см раствора содержит 0,0004 г бора.
D (-) Маннит по ГОСТ 8321-74, насыщенный раствор.
Сахароза по ГОСТ 5833-75.
Раствор инвертного сахара: 1 кг сахарозы растворяют в 650 см воды, приливают 10 см
соляной кислоты (1:10) и нагревают в течение 2-3 ч при 80-90 °С, затем охлаждают и приливают раствор с массовой концентрацией 100 г/дм
гидроокиси натрия. Объем раствора щелочи, необходимый для нейтрализации соляной кислоты, устанавливают предварительным титрованием 10 см
соляной кислоты (1:10) раствором с массовой концентрацией 100 г/дм
гидроокиси натрия в присутствии индикатора фенолфталеина.
Калий-натрий углекислый безводный по ГОСТ 4332-76.
Метиловый оранжевый, раствор с массовой концентрацией 1 г/дм.
Соль динатриевая этилендиамин-N, N, N', N' -тетрауксусной кислоты (трилон Б) по ГОСТ 10652-73, 0,01 М раствор.
Барий хлористый по ГОСТ 4108-72, раствор с массовой концентрацией 250 г/дм.
Фенолфталеин по ГОСТ 5850-72, раствор в этиловом спирте с массовой концентрац
ией 20 г/дм.
4.3. Проведение анализа
Масса навески стали в зависимости от массовой доли бора приведена в табл. 4.
Таблица 4
Массовая доля бора, % | Масса навески, г |
От 0,05 до 0,25 | 2 |
Св. 0,25 " 1,0 | 1 |
" 1,0 " 2,0 | 0,5 |
Навеску помещают в коническую колбу вместимостью 250 см и приливают 40 см
соляной кислоты (1:1).
Колбу закрывают резиновой пробкой со вставленным в нее обратным водяным холодильником, содержимое колбы нагревают до растворения навески, затем приливают 10-20 см раствора перекиси водорода и кипятят в течение 10 мин. Допускается растворение навески при 100 °С без холодильника в колбе, закрытой часовым стеклом.
В случае неполного растворения пробы раствор фильтруют через плотный фильтр с бумажной массой. Фильтр с осадком промывают раствором соляной кислоты (1:10) и горячей водой, присоединяя промывные воды к фильтрату. Фильтр с осадком помещают в платиновый тигель, высушивают, озоляют и остаток сплавляют с 0,5 г безводного углекислого калия-натрия при 900-950 °C. После охлаждения плав выщелачивают 20-30 см раствора соляной кислоты (1:1) и присоединяют раствор к основному фильтрату.
Раствор переносят в мерную колбу вместимостью 500 см, разбавляют водой до 200-300 см
и приливают раствор гидроокиси натрия с молярной концентрацией 5 моль/дм
, до начала выпадения гидроксидов. Выпавшие гидроксиды растворяют, прибавляя по каплям соляную кислоту (1:1), прибавляют 30-35см
хлористого бария, и после перемешивания 10-15 см
раствора гидроокиси натрия с молярной концентрацией 5 моль/дм
. Затем раствор охлаждают, доливают водой до метки и перемешивают. Часть раствора отфильтровывают через сухой фильтр в сухую мерную колбу вместимостью 250 см
. В стакан вместимостью 400 см
переносят 250 см
фильтра, осторожно приливают раствор соляной кислоты (1:1) до изменения окраски индикатора метилового оранжевого и прибавляют 5 см
раствора трилона Б. Содержимое стакана кипятят в течение 3-5 мин и охлаждают.
В стакан с испытуемым раствором опускают мешалку и электроды, присоединенные к потенциометру. Приводят во вращение мешалку, приливают раствор с молярной концентрацией эквивалента 0,1 моль/дм гидроокиси натрия почти до рН 6,9 и затем устанавливают точное значение рН = 6,9, приливая из бюретки раствор с молярной концентрацией эквивалента 0,02 моль/дм
гидроокиси натрия.
К раствору, имеющему рН = 6,9, приливают 30 см раствора маннита или инвертного сахара (при этом рН раствора понижается) и титруют раствором с молярной концентрацией эквивалента 0,1 моль/дм
гидроокиси натрия до исходного значен
ия рН = 6,9.
4.1-4.3. (Измененная редакция, Изм. № 1).
4.4. Обработка результатов
4.4.1. Массовую долю бора () в процентах вычисляют по формуле
где - объем раствора гидроокиси натрия, израсходованный на титрование, см
;
- объем раствора гидроокиси натрия, израсходованный на титрование раствора контрольного опыта, см
;
- массовая концентрация раствора гидроокиси натрия, г/см
;
- масса навески стали, соответствующая аликвотной части раствора, г
.
4.4.2. Абсолютные допускаемые расхождения результатов параллельных определений при доверительной вероятности =0,95 не должны превышать значений, указанных в табл. 2.
Текст документа сверен по:
официальное издание
М.: Издательство стандартов, 1988
Разместите заказ
сами сделают вам предложение
