ГОСТы сталей. ГОСТ 12358-2002
ГОСТ 12358-2002
Группа В39
МЕЖГОСУДАРСТВЕННЫЙ СТАНДАРТ
СТАЛИ ЛЕГИРОВАННЫЕ И ВЫСОКОЛЕГИРОВАННЫЕ
Методы определения мышьяка
Alloyed and highalloyed steels. Methods for determination of arsenic
МКС 77.080.20
ОКСТУ 0709
Дата введения 2003-05-01
Предисловие
1 РАЗРАБОТАН Межгосударственным техническим комитетом по стандартизации МТК 145 "Методы контроля металлопродукции"
ВНЕСЕН Госстандартом России
2 ПРИНЯТ Межгосударственным советом по стандартизации, метрологии и сертификации (протокол N 21 от 30 мая 2002 г.)
За принятие проголосовали:
Наименование государства | Наименование национального органа по стандартизации |
Республика Армения | Армгосстандарт |
Республика Беларусь | Госстандарт Республики Беларусь |
Кыргызская Республика | Кыргызстандарт |
Республика Молдова | Молдовастандарт |
Российская Федерация | Госстандарт России |
Республика Таджикистан | Таджикстандарт |
Туркменистан | Главгосслужба "Туркменстандартлары" |
Республика Узбекистан | Узгосстандарт |
Украина | Госстандарт Украины |
3 Постановлением Государственного комитета Российской Федерации по стандартизации и метрологии от 11 сентября 2002 г. N 331-ст межгосударственный стандарт ГОСТ 12358-2002 введен в действие непосредственно в качестве государственного стандарта Российской Федерации с 1 мая 2003 г.
4 ВЗАМЕН ГОСТ 12358-82
Переиздание (по состоянию на апрель 2008 г.)
1 Область применения
1 Область применения
Настоящий стандарт устанавливает непламенный атомно-абсорбционный (при массовой доле мышьяка от 0,0002% до 0,01%), фотометрический (при массовой доле мышьяка от 0,002% до 0,2%) и потенциометрический (при массовой доле мышьяка от 0,05% до 0,2%) методы определения мышьяка в легированных и высоколегированных сталях.
2 Нормативные ссылки
В настоящем стандарте использованы ссылки на следующие стандарты:
ГОСТ 859-2001 Медь. Марки
ГОСТ 1973-77 Ангидрид мышьяковистый. Технические условия
ГОСТ 3118-77 Кислота соляная. Технические условия
ГОСТ 3760-79 Аммиак водный. Технические условия
ГОСТ 3765-78 Аммоний молибденовокислый. Технические условия
ГОСТ 4160-74 Калий бромистый. Технические условия
ГОСТ 4204-77 Кислота серная. Технические условия
ГОСТ 4328-77 Натрия гидроокись. Технические условия
ГОСТ 4457-74 Калий бромноватокислый. Технические условия
ГОСТ 4461-77 Кислота азотная. Технические условия
ГОСТ 5456-79 Гидроксиламина гидрохлорид. Технические условия
ГОСТ 5817-77 Кислота винная. Технические условия
ГОСТ 5841-74 Гидразин сернокислый
ГОСТ 5962-67* Спирт этиловый ректификованный. Технические условия
________________
* На территории Российской Федерации действует ГОСТ Р 51652-2000.
ГОСТ 6552-80 Кислота ортофосфорная. Технические условия
ГОСТ 9949-76 Ксилол каменноугольный. Технические условия
ГОСТ 10157-79 Аргон газообразный и жидкий. Технические условия
ГОСТ 11125-84 Кислота азотная особой чистоты. Технические условия
ГОСТ 14204-69 Прибор для отделения мышьяка в сталях, чугунах и сплавах. Технические условия
ГОСТ 14261-77 Кислота соляная особой чистоты. Технические условия
ГОСТ 14262-78 Кислота серная особой чистоты. Технические условия
ГОСТ 18300-87 Спирт этиловый ректификованный технический. Технические условия
ГОСТ 19522-74 Аммоний роданистый технический. Технические условия
ГОСТ 24147-80 Аммиак водный особой чистоты. Технические условия
ГОСТ 28473-90 Чугун, сталь, ферросплавы, хром, марганец металлические. Общие требования к методам анализа
3 Общие требования
Общие требования к методам анализа - по ГОСТ 28473.
4 Непламенный атомно-абсорбционный метод определения мышьяка
4.1 Сущность метода
Метод основан на измерении значения поглощения резонансного излучения свободными атомами мышьяка при длине волны 193,7 нм, образующимися при введении анализируемого раствора в графитовую печь.
Мышьяк предварительно отделяют дистилляцией от основных компонентов стали в виде треххлористого мышьяка из солянокислого раствора в присутствии сернокислого гидразина и бромистого калия или осаждением тиоацетамидом в виде сульфида в 0,5 моль/дм сернокислом растворе в присутствии коллектора сульфида меди и винной кислоты в качестве комплексообразующего вещества.
4.2 Аппаратура, реактивы, растворы
Атомно-абсорбционный спектрофотометр со всеми принадлежностями, снабженный графитовым атомизатором.
Лампа для определения мышьяка.
Микропипетки вместимостью 20 и 50 мкдм.
Аргон высокой чистоты по ГОСТ 10157 и смесь аргона с 5% водорода.
Аппарат для отделения мышьяка по ГОСТ 14204 или любого другого типа.
Кислота соляная по ГОСТ 3118 или ГОСТ 14261 и разбавленная 1:1.
Кислота азотная по ГОСТ 4461 или ГОСТ 11125 и разбавленная 1:1.
Кислота серная по ГОСТ 4204 или ГОСТ 14262, разбавленная 1:1 и раствор 2,5 моль/дм.
Кислота ортофосфорная по ГОСТ 6552 и разбавленная 1:1.
Смесь соляной и азотной кислот (3:1): к 150 см соляной кислоты добавляют 50 см
азотной кислоты и перемешивают; готовят непосредственно перед применением.
Смесь соляной и азотной кислот, разбавленная (1:1): к 150 см соляной кислоты добавляют 50 см
азотной кислоты, 200 см
воды и перемешивают; готовят непосредственно перед применением.
Кислота винная по ГОСТ 5817, раствор 500 г/дм.
Аммиак водный по ГОСТ 3760 или ГОСТ 24147.
Гидроксиламин гидрохлорид по ГОСТ 5456.
Аммоний роданистый по ГОСТ 19522, раствор 50 г/дм.
Калий бромистый по ГОСТ 4160.
Натрия гидроксид по ГОСТ 4328, раствор 50 г/см.
Гидразин сернокислый по ГОСТ 5841.
Ксилол по ГОСТ 9949.
Тиоацетамид, перекристаллизованный в ксилоле, раствор 20 г/дм.
Перекристаллизация тиоацетамида: 30 г тиоацетамида растворяют в 100 см ксилола при 85-90 °С при перемешивании. Верхний слой раствора осторожно сливают в сухой стакан вместимостью 600-800 см
. В стакан с остатком прибавляют 100 см
ксилола и снова растворяют при 85-90 °С. Верхний слой раствора тиоацетамида сливают в тот же стакан вместимостью 600-800 см
. Операцию проводят 4-5 раз. Остаток выбрасывают. Полученный раствор охлаждают в проточной воде. Выпавшие кристаллы тиоацетамида отфильтровывают на воронку Бюхнера с двумя фильтрами "белая лента". Кристаллы промывают 2-3 раза ксилолом, высушивают на воздухе.
Медь марки М00бк по ГОСТ 859.
Медь азотнокислая, раствор 0,01 г/см: 1 г меди растворяют при нагревании в 15-20 см
азотной кислоты (1:1). Раствор кипятят до удаления оксидов азота, охлаждают, разбавляют водой до 100 см
и перемешивают.
Железо металлическое, ос.ч., карбонильное.
Универсальная индикаторная бумага, рН 1-10.
Ангидрид мышьяковистый марки "рафинированный" по ГОСТ 1973.
Натрий мышьяковистокислый орто (NaAsO
·H
O).
Стандартные растворы мышьяка.
Раствор А: 0,132 г мышьяковистого ангидрида растворяют в 5 см раствора гидроксида натрия, разбавляют водой до 200 см
и прибавляют серную кислоту (1:1) до нейтральной реакции по универсальной индикаторной бумаге. Раствор переносят в мерную колбу вместимостью 1 дм
, доливают до метки водой и перемешивают.
Приготовление стандартного раствора из мышьяковистокислого натрия орто: 0,2801 г мышьяковистокислого натрия орто растворяют в 200 см воды, прибавляют серную кислоту (1:1) до нейтральной реакции по универсальной индикаторной бумаге. Раствор переносят в мерную колбу вместимостью 1 дм
, доливают до метки водой и перемешивают.
1 см стандартного раствора А содержит 0,0001 г мышьяка.
Раствор Б: 10 см стандартного раствора А помещают в мерную колбу вместимостью 100 см
, доливают до метки водой и перемешивают.
1 см стандартного раствора Б содержит 0,00001 г мышьяка.
Раствор В: 10 см стандартного раствора Б помещают в мерную колбу вместимостью 100 см
, доливают до метки водой и перемешивают; готовят непосредственно перед применением.
1 см стандартного раствора В содержит 0,000001 г мышьяка.
4.3 Проведение анализа
4.3.1 Приготовление испытуемого раствора
4.3.1.1 Отделение мышьяка дистилляцией в виде треххлористого мышьяка
Взвешивают навеску пробы в соответствии с таблицей 1. Результаты взвешивания в граммах записывают с точностью до четвертого десятичного знака. Навеску помещают в стакан (или колбу) вместимостью 250-300 см, приливают 30 см
смеси соляной и азотной кислот (3:1), 20 см
серной кислоты (1:1) и 10 см
ортофосфорной кислоты (1:1).
Таблица 1
Массовая доля мышьяка, % | Масса навески, г | Аликвотная часть раствора, мкдм | ||||||
От | 0,0002 | до | 0,001 | включ. | 0,5 | 50 | ||
Св. | 0,001 | " | 0,002 | " | 0,25 | 50 | ||
" | 0,002 | " | 0,005 | " | 0,1 | 50 | ||
" | 0,005 | " | 0,01 | " | 0,1 | 20 | ||
Стакан (или колбу) накрывают часовым стеклом и растворяют навеску при умеренном нагревании. Часовое стекло ополаскивают небольшим количеством воды и выпаривают раствор до начала выделения паров серной кислоты. После охлаждения осторожно добавляют 30 см соляной кислоты (1:1) и переносят раствор в колбу для отделения мышьяка. К раствору добавляют 0,5 г бромистого калия, 0,5 г сернокислого гидразина и медленно дистиллируют треххлористый мышьяк в аппарате для дистилляции при 110-120 °С в колбонагревателе. Дистиллят собирают в стакан-приемник вместимостью 100 см
, содержащий 10 см
воды. Дистилляцию продолжают до тех пор, пока в приемник не перейдет
первоначального объема. К дистилляту прибавляют 10 см
азотной кислоты.
4.3.1.2 Отделение мышьяка осаждением в виде сульфида тиоацетамидом
Взвешивают навеску пробы в соответствии с таблицей 1. Результаты взвешивания в граммах записывают с точностью до четвертого десятичного знака. Навеску помещают в стакан (или колбу) вместимостью 250-300 см, приливают 30 см
смеси соляной и азотной кислот (3:1), накрывают стакан (или колбу) часовым стеклом и растворяют навеску при умеренном нагревании, охлаждают, снимают часовое стекло, ополоснув его небольшим количеством воды. Приливают 20 см
серной кислоты (1:1) и выпаривают раствор до начала выделения паров серной кислоты, охлаждают. Соли растворяют в 40-50 см
воды при нагревании, приливают 10 см
раствора винной кислоты, раствор нагревают в течение 5-10 мин, охлаждают, добавляют аммиака до рН 8-9 по универсальному индикатору и нагревают раствор в течение 15-20 мин при 90-95 °С до полного растворения осадка вольфрамовой кислоты, охлаждают. К раствору приливают серной кислоты (1:1) до рН 2 по универсальной индикаторной бумаге и 10 см
в избыток, доливают раствор до 180 см
и нагревают до кипения. Осторожно добавляют 2-5 г гидроксиламина гидрохлорида и кипятят раствор до полного восстановления железа (по реакции с роданистым аммонием). Прибавляют 10 см
раствора тиоацетамида, 1 см
раствора азотнокислой меди, выдерживают раствор с выпавшим осадком сульфидов в течение 10-15 мин на теплом месте плиты, прибавляют еще 10 см
раствора тиоацетамида, оставляют стоять при 85-90 °С 30-40 мин и охлаждают. Через 4-18 ч осадок сульфидов отфильтровывают на два фильтра "белая лента", промывают 6-7 раз холодной водой. Фильтрат отбрасывают. Осадок на фильтре растворяют в 30-40 см
(порциями по 10 см
) горячей смеси соляной и азотной кислот, разбавленной (1:1), и промывают фильтр горячей водой 3-4 раза, собирая фильтрат и промывные воды в стакан (или колбу), в котором проводилось осаждение. Фильтр отбрасывают.
4.3.2 Спектрометрическое измерение
Испытуемый раствор, приготовленный по 4.3.1.1 или 4.3.1.2, выпаривают досуха. Соли растворяют при нагревании в 5 см азотной кислоты (1:1), накрывая стакан (или колбу) часовым стеклом и охлаждают. Раствор переносят в мерную колбу вместимостью 25 см
, доливают водой до метки и перемешивают. Отбирают микропипеткой аликвотную часть раствора, равную 20-50 мкдм
(таблица 1), вводят в графитовую печь и фиксируют значение поглощения резонансного излучения свободными атомами мышьяка при длине волны 193,7 нм. Для измерения отбирают не менее трех аликвотных частей раствора. Печь прожигают при максимальной температуре в течение 5 с.
Массу мышьяка находят по градуировочному графику с учетом поправки контрольного опыта.
4.3.3 Подготовка прибора к измерению
Включение прибора, настройку спектрофотометра на резонансное излучение, регулировку блока управления, блока автоматизации проводят согласно инструкции, прилагаемой к прибору.
Условия определения мышьяка:
аналитическая линия () - 193,7 нм;
спектральная ширина щели - 0,7 нм;
время высушивания при 145 °С - 15 с;
время разложения при 900 °С - 12 с;
время атомизации при 2250 °С - 5 с;
режим инертного газа - минимальный с отключением на стадии автомизации.
4.3.4 Построение градуировочного графика
В стаканы (или колбы) вместимостью 250-300 см помещают навески карбонильного железа в количестве, соответствующем массе навески пробы (таблица 1), и отмеренные количества стандартного раствора В мышьяка (таблица 2).
Таблица 2
Массовая доля мышьяка, % | Объем стандартного раствора В мышьяка, см | ||||||
От | 0,0002 | до | 0,005 | включ. | 0,00; 1,00; 2,00; 3,00; 4,00; 5,00 | ||
Св. | 0,005 | " | 0,01 | " | 0,00; 2,00; 4,00; 6,00; 8,00; 10,00 | ||
Во все стаканы приливают кислоты, как при растворении пробы, и далее поступают, как указано в 4.3.1-4.3.3.
Из значения оптической плотности анализируемых растворов вычитают значение оптической плотности раствора контрольного опыта. По найденным значениям оптической плотности и соответствующим им массам мышьяка строят градуировочный график.
5 Фотометрический метод определения мышьяка
5.1 Сущность метода
Метод основан на образовании синего мышьяково-молибденового комплекса в результате взаимодействия пятивалентного мышьяка с молибденовокислым аммонием в присутствии восстановителя - сернокислого гидразина или аскорбиновой кислоты.
Мышьяк предварительно отделяют от основных компонентов стали дистилляцией в виде треххлористого мышьяка из солянокислого раствора в присутствии сернокислого гидразина и бромистого калия или осаждением тиоацетамидом в виде сульфида в 0,5 моль/дм сернокислом растворе в присутствии коллектора сульфида меди и винной кислоты в качестве комплексообразующего вещества.
5.2 Аппаратура, реактивы, растворы
Спектрофотометр или фотоэлектроколориметр со всеми принадлежностями.
Кислота хлорная, х.ч., плотностью 1,51 г/см, или ч.д.а., плотностью 1,22 г/см
.
Спирт этиловый по ГОСТ 5962 или ГОСТ 18300.
Аммоний молибденовокислый по ГОСТ 3765, перекристаллизованный из спиртового раствора.
Перекристаллизация молибденовокислого аммония: 250 г молибденовокислого аммония растворяют в 400 см воды при 70-80 °С. Горячий раствор фильтруют через фильтр "синяя лента" в стакан, содержащий 300 см
этилового спирта. Раствор охлаждают и выдерживают в проточной воде в течение 1 ч. Выпавшие кристаллы отфильтровывают на воронку Бюхнера с фильтром "белая лента". Кристаллы промывают 2-3 раза этиловым спиртом порциями по 20-30 см
и высушивают на воздухе.
Аммоний молибденовокислый, раствор 10 г/дм в серной кислоте 2,5 моль/дм
.
Гидразин сернокислый, раствор 1,5 г/дм.
Молибдато-гидразиновая реакционная смесь: в мерную колбу вместимостью 1 дм приливают 100 см
раствора молибденовокислого аммония, разбавляют водой до объема 900 см
, добавляют 10 см
раствора сернокислого гидразина, доливают водой до метки и перемешивают; реакционную смесь готовят в день применения.
Хлорномолибдатный реактив: 5 г молибденовокислого аммония растворяют в 100 см воды при нагревании, охлаждают. Затем в мерную колбу вместимостью 1 дм
приливают 500 см
воды, 280 см
хлорной кислоты ч.д.а. или 230 см
хлорной кислоты х.ч. и постепенно при перемешивании вводят раствор молибденовокислого аммония. Раствор доливают водой до метки и перемешивают; готовят в день применения.
Кислота аскорбиновая, раствор 5 г/дм; готовят в день применения.
Остальные реактивы, аппаратура и растворы - по 4.2.
5.3 Проведение анализа
5.3.1 Приготовление испытуемого раствора
Взвешивают навеску пробы в соответствии с таблицей 3. Результаты взвешивания в граммах записывают с точностью до четвертого десятичного знака. Навеску помещают в стакан (или колбу) вместимостью 250-300 см.
Таблица 3
Массовая доля мышьяка, % | Масса навески, г | Разбавление, см | Объем аликвотной части раствора, см | ||||||
От | 0,002 | до | 0,005 | включ. | 1 | - | - | ||
Св. | 0,005 | " | 0,01 | " | 0,5 | - | - | ||
" | 0,01 | " | 0,02 | " | 0,2 | - | - | ||
" | 0,02 | " | 0,05 | " | 0,2 | 50 | 25 | ||
" | 0,05 | " | 0,10 | " | 0,2 | 50 | 10 | ||
" | 0,10 | " | 0,20 | " | 0,2 | 50 | 5 | ||
Далее поступают, как указано в 4.3.1, 4.3.1.1, 4.3.1.2, отделяя мышьяк от основных компонентов стали в виде сульфида тиоацетамидом или дистилляцией.
Испытуемый раствор, приготовленный по 4.3.1.1 или 4.3.1.2, выпаривают до объема 30-40 см.
При массовой доле мышьяка от 0,02% до 0,2% раствор переносят в мерную колбу вместимостью 50 см, доливают до метки водой и перемешивают. Аликвотную часть раствора 25-5 см
(таблица 3) помещают в стакан вместимостью 100 см
.
К раствору добавляют 2 см хлорной кислоты и выпаривают до появления паров хлорной кислоты.
Предупреждение: нельзя допускать контакта паров хлорной кислоты с органическими материалами, аммиаком и парами азотистой кислоты.
Стенки стакана ополаскивают водой и повторяют выпаривание до паров хлорной кислоты.
5.3.2 Спектрофотометрическое измерение
5.3.2.1 Определение мышьяка с молибдато-гидразиновой реакционной смесью
К остатку, полученному по 5.3.1, приливают 20 см молибдато-гидразиновой реакционной смеси, стакан накрывают часовым стеклом и нагревают на кипящей водяной бане 10 мин. Раствор охлаждают, переносят в мерную колбу вместимостью 50 см
. Стенки стакана и часовое стекло ополаскивают молибдато-гидразиновой реакционной смесью, содержимое мерной колбы доливают до метки этой же реакционной смесью и перемешивают.
Через 30 мин измеряют оптическую плотность окрашенного раствора на спектрофотометре при длине волны 840 нм или на фотоэлектроколориметре в области светопоглощения от 750 до 900 нм. Толщину поглощающего свет слоя выбирают таким образом, чтобы получить оптимальное значение оптической плотности.
В качестве раствора сравнения используют воду.
Массу мышьяка находят по градуировочному графику с учетом поправки контрольного опыта.
5.3.2.2 Определение мышьяка с хлорномолибдатным реактивом
К остатку, полученному по 5.3.1, приливают 20 см хлорномолибдатного реактива, 1 см
раствора сернокислого гидразина или 1 см
раствора аскорбиновой кислоты, перемешивают и нагревают раствор на кипящей водяной бане в течение 10-15 мин. Раствор охлаждают, переносят в мерную колбу вместимостью 50 см
, доливают до метки хлорномолибдатным реактивом и перемешивают.
Оптическую плотность окрашенного раствора измеряют на спектрофотометре при длине волны 840 нм или на фотоэлектроколориметре в области светопропускания от 750 до 900 нм.
Толщину поглощающего свет слоя кюветы выбирают таким образом, чтобы получить оптимальное значение оптической плотности.
В качестве раствора сравнения используют воду.
Массу мышьяка находят по градуировочному графику с учетом поправки контрольного опыта.
5.3.3 Построение градуировочного графика
В стаканы (или колбы) вместимостью 250-300 см помещают навески карбонильного железа в количестве, соответствующем массе навески пробы (таблица 3), и отмеренные количества стандартного раствора мышьяка А или Б (таблица 4).
Таблица 4
Массовая доля мышьяка, % | Наименование стандартного раствора мышьяка | Объем стандартного раствора, см | ||||||
От | 0,002 | до | 0,02 | включ. | Раствор Б | 0,00; 1,00; 2,00; 3,00; 4,00; 5,00 | ||
Св. | 0,02 | " | 0,05 | " | То же | 0,00; 2,00; 4,00; 6,00; 8,00; 10,00 | ||
" | 0,05 | " | 0,10 | " | Раствор А | 0,00; 0,50; 1,00; 1,50; 2,00; 2,50 | ||
" | 0,10 | " | 0,20 | " | То же | 0,00; 1,00; 2,00; 3,00; 4,00; 5,00 | ||
Во все стаканы приливают кислоты, как при растворении пробы, и далее поступают, как указано в 5.3.1 и 5.3.2.
Из значения оптической плотности анализируемых растворов вычитают значение оптической плотности раствора контрольного опыта. По найденным значениям оптической плотности и соответствующим им массам мышьяка строят градуировочный график.
6 Потенциометрический метод определения мышьяка
6.1 Сущность метода
Метод основан на потенциометрическом титровании мышьяка (III) раствором бромноватокислого калия до получения скачка потенциала. Мышьяк предварительно отделяют от основных компонентов стали дистилляцией в виде треххлористого мышьяка из солянокислого раствора в присутствии бромистого калия и сернокислого гидразина.
6.2 Аппаратура, реактивы и растворы
Установка для потенциометрического титрования:
пара электродов - индикаторный платиновый и электрод сравнения каломельный или вольфрамовый;
магнитная или механическая мешалка;
милливольтметр постоянного тока или рН-метр, позволяющие четко фиксировать скачок потенциала в конечной точке. При необходимости к прибору последовательно подключают переменное сопротивление, позволяющее проводить измерение в пределах шкалы прибора.
Калий бромноватокислый по ГОСТ 4457, раствор концентрации 0,01 моль/дм: 0,2783 г предварительно перекристаллизованного из водного раствора и высушенного при 150-180 °С бромноватокислого калия растворяют в 100-120 см
воды, переливают в мерную колбу вместимостью 1 дм
, доливают до метки водой и перемешивают. Допускается приготовление раствора из фиксанала. Массовая концентрация раствора бромноватокислого калия
(г/см
мышьяка) составляет 0,0003746.
Остальные реактивы, аппаратура и растворы - по 4.2.
6.3 Проведение анализа
6.3.1 Приготовление испытуемого раствора
Взвешивают навеску пробы массой 2 г и результаты взвешивания в граммах записывают с точностью до четвертого знака.
Навеску помещают в стакан (или колбу) вместимостью 600 см, приливают 60 см
смеси соляной и азотной кислот (3:1) и 25-30 см
серной кислоты. Если сталь содержит вольфрам, добавляют 30 см
ортофосфорной кислоты (1:1). Стакан (или колбу) накрывают часовым стеклом и проводят растворение вначале при комнатной температуре, а затем умеренно нагревают до полного растворения навески.
Часовое стекло ополаскивают небольшим количеством воды и выпаривают раствор до начала выделения паров серной кислоты. Содержимое стакана (или колбы) охлаждают, осторожно добавляют 100 см соляной кислоты (1:1) и количественно переносят раствор в колбу аппарата для отделения мышьяка вместимостью 250 см
. К раствору добавляют 1 г бромистого калия, 3 г сернокислого гидразина и медленно дистиллируют треххлористый мышьяк, нагревая раствор при 110-120 °С. Дистиллят собирают в стакан-приемник вместимостью 400 см
, содержащий 40 см
воды. Дистилляцию продолжают до тех пор, пока в приемник не перейдет
первоначального объема раствора.
6.3.2 Титриметрическая процедура
Стакан с дистиллятом помещают в прибор для потенциометрического титрования, опускают мешалку и электроды и, включив мешалку, перемешивают раствор в течение 0,5-1 мин. Затем, не выключая мешалку, раствор титруют, добавляя по каплям раствор бромноватокислого калия из микробюретки до получения скачка потенциала.
7 Обработка результатов
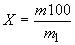
7.1 Массовую долю мышьяка , %, вычисляют по формулам:
при определении мышьяка непламенным атомно-абсорбционным и фотометрическим методами
, (1)
где - масса мышьяка, найденная по градуировочному графику, г;
- масса навески стали, г;
при определении мышьяка потенциометрическим методом
, (2)
где - объем раствора бромноватокислого калия, израсходованного на титрование анализируемого раствора, см
;
- объем раствора бромноватокислого калия, израсходованного на титрование раствора контрольного опыта, см
;
- массовая концентрация раствора бромноватокислого калия с молярной концентрацией эквивалента 0,01 моль/дм
, г/см
мышьяка;
- масса навески стали, г.
7.2 Нормативы оперативного контроля сходимости, воспроизводимости и точности определения массовой доли мышьяка приведены в таблице 5.
Таблица 5
Массовая доля мышьяка | Предельная погрешность результатов анализа | Норматив оперативного контроля сходимости | Норматив оперативного контроля сходимости | Норматив оперативного контроля воспроизво- | Норматив оперативного контроля точности | ||||||
От | 0,0002 | до | 0,0005 | включ. | 0,00016 | 0,00017 | 0,00020 | 0,00020 | 0,00010 | ||
Св. | 0,0005 | " | 0,001 | " | 0,0004 | 0,0004 | 0,0005 | 0,0005 | 0,0003 | ||
" | 0,001 | " | 0,002 | " | 0,0008 | 0,0008 | 0,0010 | 0,0010 | 0,0005 | ||
" | 0,002 | " | 0,005 | " | 0,0012 | 0,0012 | 0,0015 | 0,0015 | 0,008 | ||
" | 0,005 | " | 0,01 | " | 0,0024 | 0,0025 | 0,0030 | 0,0030 | 0,0016 | ||
" | 0,01 | " | 0,02 | " | 0,004 | 0,004 | 0,005 | 0,005 | 0,003 | ||
" | 0,02 | " | 0,05 | " | 0,006 | 0,006 | 0,007 | 0,007 | 0,004 | ||
" | 0,05 | " | 0,1 | " | 0,010 | 0,010 | 0,012 | 0,012 | 0,006 | ||
" | 0,1 | " | 0,2 | " | 0,016 | 0,017 | 0,020 | 0,020 | 0,010 | ||
Нормативы оперативного контроля сходимости и нормативы контроля воспроизводимости рассчитаны при доверительной вероятности 0,95. Нормативы оперативного контроля точности рассчитаны при уровне доверительной вероятности
0,85.
Алгоритмы оперативного контроля погрешности измерений и периодичность его проведения -
по ГОСТ 28473.
Электронный текст документа
подготовлен ЗАО "Кодекс" и сверен по:
официальное издание
М.: Стандартинформ, 2008
Разместите заказ
сами сделают вам предложение
