ГОСТы сталей. ГОСТ 12356-81
ГОСТ 12356-81
Группа В39
МЕЖГОСУДАРСТВЕННЫЙ СТАНДАРТ
СТАЛИ ЛЕГИРОВАННЫЕ И ВЫСОКОЛЕГИРОВАННЫЕ
Методы определения титана
Steels alloyed and highalloyed. Methods of the determination of titanium
МКС 77.080.20
Дата введения 1981-07-01
ИНФОРМАЦИОННЫЕ ДАННЫЕ
1. РАЗРАБОТАН И ВНЕСЕН Министерством металлургии СССР
РАЗРАБОТЧИКИ
Н.П.Лякишев, С.М.Новокщенова, В.Т.Абабков, М.С.Дымова, В.Д.Хромов, Т.Ф.Рыбина, И.Ф.Меделян, Е.И.Васильева, О.И.Путимцева
2. УТВЕРЖДЕН И ВВЕДЕН В ДЕЙСТВИЕ Постановлением Государственного комитета СССР по управлению качеством продукции и стандартам от 07.04.81 N 1867
3. Стандарт полностью соответствует СТ СЭВ 965-78
4. ВЗАМЕН ГОСТ 12356-66 в части разд.2-6
5. ССЫЛОЧНЫЕ НОРМАТИВНО-ТЕХНИЧЕСКИЕ ДОКУМЕНТЫ
Обозначение НТД, на который дана ссылка | Номер пункта, подпункта |
ГОСТ 3118-77 | 2.2, 3.2 |
ГОСТ 3760-79 | 2.2, 3.2 |
ГОСТ 4204-77 | 2.2, 3.2 |
ГОСТ 4461-77 | 2.2, 3.2 |
ГОСТ 5817-77 | 3.2 |
ГОСТ 7172-76 | 2.2, 3.2 |
ГОСТ 10929-76 | 2.2 |
ГОСТ 11125-84 | 2.2, 3.2 |
ГОСТ 13610-79 | 3.2 |
ГОСТ 14261-77 | 2.2, 3.2 |
ГОСТ 14262-78 | 2.2 |
ГОСТ 19807-91 | 2.2, 3.2 |
ГОСТ 20015-88 | 2.2 |
ГОСТ 28473-90 | 1.1 |
6. Ограничение срока действия снято по протоколу N 5-94 Межгосударственного совета по стандартизации, метрологии и сертификации (ИУС 11-12-94)
7. ИЗДАНИЕ (июль 2005 г.) с Изменениями N 1, 2, утвержденными в декабре 1985 г., декабре 1990 г. (ИУС 4-86, 3-91)
Настоящий стандарт устанавливает экстракционно-фотометрический метод определения титана (при массовой доле титана от 0,005 до 0,3%), фотометрический метод (при массовой доле титана от 0,01 до 3,5%) в легированных и высоколегированных сталях.
Стандарт полностью соответствует СТ СЭВ 965-78.
(Измененная редакция, Изм. N 2).
1. ОБЩИЕ ТРЕБОВАНИЯ
1. ОБЩИЕ ТРЕБОВАНИЯ
1.1. Общие требования к методам анализа - по ГОСТ 28473.
(Измененная редакция, Изм. N 2).
2. ЭКСТРАКЦИОННО-ФОТОМЕТРИЧЕСКИЙ МЕТОД ОПРЕДЕЛЕНИЯ ТИТАНА В СТАЛЯХ, СОДЕРЖАЩИХ НЕ БОЛЕЕ 1% НИОБИЯ И НЕ БОЛЕЕ 1% ВОЛЬФРАМА
2.1. Сущность метода
Метод основан на образовании окрашенного в желтый цвет комплексного соединения титана с диантипирилметаном, экстракции его хлороформом и измерении светопоглощения полученного экстракта при длине волны 395 нм или при 410-430 нм (в присутствии ниобия).
Масса титана в 50 см экстракта составляет 10-150 мкг. Железо (III) и ванадий (V) восстанавливают аскорбиновой кислотой.
(Измененная редакция, Изм. N 2).
2.2. Аппаратура и реактивы
Спектрофотометр или фотоэлектроколориметр.
Кислота соляная по ГОСТ 3118 или ГОСТ 14261 и разбавленная 1:1, 1:6, 1:9, 1:100.
Кислота серная по ГОСТ 4204 или ГОСТ 14262 и разбавленная 1:2, 1:4, 1:5.
Аммиак водный по ГОСТ 3760.
Кислота азотная по ГОСТ 4461 или ГОСТ 11125.
Кислота аскорбиновая, раствор 100 г/дм свежеприготовленный.
Индикатор универсальный, бумага.
Перекись водорода по ГОСТ 10929.
Калий пиросернокислый по ГОСТ 7172.
Диантипирилметан, раствор 4 г/дм, свежеприготовленный в соляной кислоте 1:6.
Хлороформ по ГОСТ 20015.
Олово металлическое в гранулах.
Олово хлористое по ТУ 6-09-5393-88, раствор: 200 г хлористого олова растворяют в 145 см горячей соляной кислоты. Раствор охлаждают, доливают водой до объема 1 дм
и добавляют несколько гранул олова, свежеприготовленный раствор.
Титан металлический по ГОСТ 19807.
Титана двуокись.
Титан сернокислый, стандартные растворы А и Б.
Раствор А: 0,1668 г свежепрокаленной при 1000 °С двуокиси титана помещают в платиновую или кварцевую чашку и сплавляют с 3-5 г пиросернокислого калия при 800-850 °С. После охлаждения плав растворяют в 400 см серной кислоты (1:5) в стакане вместимостью 600 см
и оставляют на 12 ч при комнатной температуре. Раствор фильтруют через фильтр "белая лента" в мерную колбу вместимостью 1 дм
, фильтр промывают 3-4 раза серной кислотой (1:5). Раствор доливают до метки серной кислотой (1:5) и перемешивают.
Устанавливают массовую концентрацию раствора А: 100 см стандартного раствора сернокислого титана помещают в стакан вместимостью 250-300 см
, приливают при перемешивании раствор аммиака до рН 8-9 по универсальному индикатору и затем избыток 3-5 см
. Раствор с выпавшим осадком нагревают до кипения и осадок отфильтровывают на фильтр "белая лента". Фильтр с осадком промывают 3-4 раза теплой водой, содержащей 10 см
раствора аммиака в 1 дм
воды, помещают в предварительно прокаленный до постоянной массы и взвешенный платиновый тигель, высушивают, озоляют и прокаливают при 1000-1100°С до постоянной массы. Тигель с осадком охлаждают в эксикаторе и взвешивают.
Одновременно проводят контрольный опыт на загрязнение реактивов.
Массовую концентрацию раствора сернокислого титана (), выраженную в г/см
титана, вычисляют по формуле
где - масса тигля с осадком двуокиси титана, г;
- масса тигля без осадка двуокиси титана, г;
- масса тигля с осадком в контрольном опыте, г;
- масса тигля без осадка в контрольном опыте, г;
0,5996 - коэффициент пересчета двуокиси титана на титан; - объем раствора сернокислого титана, взятый для установки массовой концентрации, см
.
Приготовление стандартного раствора А допускается из металлического титана. Для этого 0,1 г металлического титана помещают в стакан вместимостью 250-300 см, приливают 50 см
серной кислоты (1:2) и растворяют при нагревании. Затем к раствору добавляют по каплям азотную кислоту до обесцвечивания его и выпаривают до появления густых паров серной кислоты. Раствор охлаждают, осторожно смывают стенки стакана водой и вновь выпаривают до появления паров серной кислоты. После охлаждения раствор переносят в мерную колбу вместимостью 1 дм
, доливают до метки серной кислотой (1:5) и перемешивают. 1 см
раствора А содержит 0,0001 г титана.
Раствор Б (готовят непосредственно перед применением): 100 см раствора А переносят в мерную колбу вместимостью 1 дм
, доливают до метки серной кислотой (1:5) и перемешивают; готовят непосредственно перед применением.
1 см раствора Б содержит 0,00001 г титана.
(Измененная редакция, Изм. N 1, 2).
2.3. Проведение анализа
2.3.1. Анализируемую пробу растворяют одним из трех способов.
Способ 1. Навеску стали в соответствии с табл.1 помещают в кварцевый тигель вместимостью 100-150 см, накрывают кварцевой крышкой и сплавляют с 5-10 г пиросернокислого калия при 700 °С. Охлажденный плав растворяют в 20 см
соляной кислоты (1:9).
Таблица 1
Массовая доля титана, % | Масса навески, г | ||||||
От | 0,005 | до | 0,01 | включ. | 0,2 | ||
Св. | 0,01 | " | 0,3 | " | 0,1 | ||
Способ 2. Навеску стали в соответствии с табл.1 помещают в стакан вместимостью 100-150 см, приливают 10 см
соляной кислоты (1:1) и растворяют при нагревании, добавляя по каплям раствор перекиси водорода. После полного растворения пробы избыток перекиси водорода удаляют кипячением раствора.
Способ 3. Навеску стали в соответствии с табл.1 помещают в стакан вместимостью 100-150 см, растворяют при нагревании в 30 см
соляной кислоты и 5-7 см
азотной кислоты, приливая ее по каплям. Затем добавляют 10 см
серной кислоты (1:4) и раствор выпаривают до появления паров серной кислоты. Содержимое стакана охлаждают, приливают 20 см
соляной кислоты (1:9) и нагревают до растворения солей.
Допускаются другие способы растворения, которые обеспечивают полное разложение пробы и не требуют изменений в последующих стадиях анализа.
Полученный раствор фильтруют через фильтр "белая лента" (основной фильтрат), промывают фильтр два раза соляной кислотой (1:100) и два раза водой. Фильтр с осадком помещают в кварцевый тигель, высушивают, озоляют, прокаливают при 600-700 °С и сплавляют с 1 г пиросернокислого калия. Плав охлаждают, растворяют при нагревании в 20-30 см соляной кислоты (1:9) и раствор отфильтровывают через фильтр "белая лента". Фильтр с осадком отбрасывают, а полученный фильтрат присоединяют к основному фильтрату. Объединенные фильтраты упаривают до объема 15-20 см
.
При массовой доле титана от 0,005 до 0,15% весь раствор переносят в делительную воронку вместимостью 100 см, обмывая стенки стакана 15 см
соляной кислоты (1:9).
При массовой доле титана от 0,015 до 0,3% раствор переносят в мерную колбу вместимостью 100 см, доливают до метки соляной кислотой 1:9 и перемешивают. Аликвотную часть раствора, равную 20 см
, помещают в делительную воронку вместимостью 100 см
, приливают 10 см
соляной кислоты (1:9), 5 см
раствора аскорбиновой кислоты и раствор перемешивают. Через 3 мин в делительную воронку приливают 10 см
раствора диантипирилметана и перемешивают. Спустя 30 мин, приливают 5 см
раствора хлористого олова, перемешивают и добавляют 20 см
хлороформа.
Делительную воронку встряхивают в течение 1 мин и после разделения слоев органический слой сливают в мерную колбу вместимостью 50 см. Экстракцию повторяют два раза, каждый раз добавляя по 5 см
хлороформа. Органические слои собирают в ту же мерную колбу вместимостью 50 см
. Экстракт в колбе доливают до метки хлороформом, перемешивают и фильтруют через сухой фильтр в сухую колбу, которую закрывают пробкой. Через 15 мин измеряют оптическую плотность окрашенного экстракта на спектрофотометре при длине волны 395 нм или на фотоэлектроколориметре со светофильтром, имеющим максимум пропускания в интервале длин волн 390-405 нм. Толщину поглощающего слоя кюветы выбирают таким образом, чтобы получить значение оптической плотности в пределах прямолинейного участка градуировочного графика.
В качестве раствора сравнения применяют хлороформ.
Одновременно с выполнением анализа проводят контрольный опыт на загрязнение реактивов.
Из среднего значения оптической плотности каждого анализируемого раствора вычитают среднее значение оптической плотности контрольного опыта.
Массу титана находят по градуировочному графику.
(Измененная редакция, Изм. N 1, 2).
2.3.2. Построение градуировочного графика
В семь делительных воронок вместимостью 100 см вводят по 20 см
раствора соляной кислоты (1:9) и в шесть из них последовательно приливают 1,0; 2,0; 4,0; 8,0; 12,0; 15,0 см
стандартного раствора Б титана. В делительные воронки добавляют по 5 см
раствора аскорбиновой кислоты и через 3 мин добавляют по 10 см
раствора диантипирилметана. Далее анализ проводят, как указано в п.2.3.1. При измерении светопоглощения в качестве раствора сравнения используют экстракт в седьмой делительной воронке, не содержащей титан.
По полученным значениям оптической плотности и соответствующим массам титана строят градуировочный график.
(Измененная редакция, Изм. N 2).
2.4. Обработка результатов
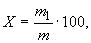
2.4.1. Массовую долю титана () в процентах вычисляют по формуле
![]()
где - масса титана в анализируемой пробе, найденная по градуировочному графику, г;
- масса навески стали, соответствующая аликвотной части раствора, г.
(Измененная редакция, Изм. N 1).
3. ФОТОМЕТРИЧЕСКИЙ МЕТОД ОПРЕДЕЛЕНИЯ ТИТАНА
3.1. Сущность метода
Метод основан на образовании окрашенного в желтый цвет комплексного соединения титана с диантипирилметаном в солянокислой среде и измерении светопоглощения полученного раствора при длине волны 395 нм. При массовой доле титана до 0,1% массовая доля вольфрама в пробе не должна превышать 1,5%.
Железо (III) и ванадий (V) восстанавливают аскорбиновой кислотой. Вольфрам и ниобий комплексуют соответственно ортофосфорной и винной кислотами.
(Измененная редакция, Изм. N 2).
3.2. Аппаратура и реактивы
Спектрофотометр или фотоэлектроколориметр.
Кислота соляная по ГОСТ 3118 или ГОСТ 14261 и разбавленная 1:1, 1:9, 1:100.
Кислота серная по ГОСТ 4204, разбавленная 1:1 и 1:2.
Кислота азотная по ГОСТ 4461 или ГОСТ 11125.
Кислота ортофосфорная.
Кислота винная по ГОСТ 5817, раствор с массовой концентрацией 20 г/дм.
Кислота аскорбиновая, раствор 100 г/дм, свежеприготовленный.
Аммиак водный по ГОСТ 3760.
Калий пиросернокислый по ГОСТ 7172.
Диантипирилметан, раствор 4 г/дм, свежеприготовленный в соляной кислоте (1:6).
Железо карбонильное радиотехническое по ГОСТ 13610 или ГСО С-1, железо чистое типа 008 ЖР.
Универсальный индикатор, бумага.
Титан металлический по ГОСТ 19807.
Ниобий сернокислый, раствор с концентрацией 0,001 г/см приготавливают одним из нижеуказанных способов:
0,1 г металлического ниобия помещают в платиновую чашку, прибавляют 5 см фтористоводородной кислоты и по каплям азотную кислоту до полного растворения навески. Затем к раствору добавляют 10 см
серной кислоты и выпаривают до паров серной кислоты. Раствор охлаждают, переносят в мерную колбу вместимостью 100 см
, доводят до метки серной кислотой (1:2) и перемешивают.
0,1 г металлического ниобия помещают в колбу или в стакан вместимостью 100-150 см, прибавляют 2-3 см
азотной кислоты и 40 см
серной кислоты и растворяют при нагревании. После полного растворения навески раствор охлаждают, переводят в мерную колбу вместимостью 100 см
, доводят до метки водой и перемешивают.
Стандартные растворы титана готовят, как указано в п.2.2.
3.3. Проведение анализа
3.3.1. Навеску стали в соответствии с табл.2 помещают в стакан вместимостью 100-150 см и растворяют при нагревании в 30 см
соляной кислоты и 5-7 см
азотной кислоты, приливая ее по каплям.
Таблица 2
Массовая доля титана, % | Масса навески, г | Вместимость мерной колбы, см | Объем аликвотной части, см | ||||||
От | 0,01 | до | 0,1 | включ. | 0,5 | 100 | 20 | ||
Св. | 0,1 | " | 0,5 | " | 0,2 | 100 | 10 | ||
" | 0,5 | " | 1,0 | " | 0,2 | 200 | 10 | ||
" | 1,0 | " | 2,0 | " | 0,2 | 200 | 5 | ||
" | 2,0 | " | 3,5 | " | 0,1 | 200 | 5 | ||
Допускаются другие способы растворения навесок стали, обеспечивающие полное разложение пробы и не требующие внесения изменений в дальнейшие стадии анализа.
Содержимое стакана охлаждают, приливают 15 см серной кислоты (1:1), 2-3 см
ортофосфорной кислоты (если сталь содержит вольфрам) и выпаривают до появления паров серной кислоты. Стакан с раствором охлаждают, приливают 15 см
раствора винной кислоты (если сталь содержит ниобий и тантал) и растворяют соли в 20 см
соляной кислоты (1:9) при нагревании.
Раствор фильтруют через фильтр "белая лента" (основной фильтрат) и промывают фильтр два раза соляной кислотой (1:100) и два раза водой. Фильтр с осадком помещают в тигель, высушивают, озоляют, прокаливают при 600-700 °С и сплавляют с 1 г пиросернокислого калия. Плав охлаждают и растворяют при нагревании в 20-30 см соляной кислоты (1:9).
Полученный раствор присоединяют к основному фильтрату, переносят в мерную колбу в соответствии с табл.2, доливают до метки соляной кислотой (1:9) и перемешивают. Часть раствора отфильтровывают через сухой фильтр, отбрасывая первые порции фильтрата. В две мерные колбы вместимостью 100 см помещают аликвотные части раствора в соответствии с табл.2. В каждую колбу прибавляют по 5 см
раствора аскорбиновой кислоты, перемешивают. Через 5 мин добавляют по 15 см
соляной кислоты (1:1) и в одну из колб приливают 10 см
раствора диантипирилметана. Растворы в колбах доливают до метки водой и перемешивают.
Через 45-50 мин измеряют оптическую плотность полученных растворов на спектрофотометре при длине волны 395 нм или на фотоэлектроколориметре со светофильтром, имеющим максимум пропускания в интервале длин волн 390-405 нм. Толщину поглощающего свет слоя кюветы выбирают таким образом, чтобы получить значение оптической плотности в пределах прямолинейного участка градуировочного графика.
При анализе ниобийсодержащих сталей оптическую плотность растворов измеряют в интервале длин волн 410-430 нм.
В качестве раствора сравнения используют аликвотную часть раствора, содержащую все реактивы за исключением диантипирилметана.
Одновременно с выполнением анализа проводят контрольный опыт на загрязнение реактивов.
Из среднего значения оптической плотности каждого анализируемого раствора вычитают среднее значение оптической плотности контрольного опыта.
Массу титана находят по градуировочному графику.
3.3.2. Построение градуировочного графика
В семь стаканов вместимостью 100-150 см помещают карбонильное железо и раствор ниобия в количествах, соответствующих содержанию их в анализируемой пробе, или навески стали, близкой по составу к анализируемой и не содержащей титан. В шесть из них последовательно приливают 1,0; 2,0; 4,0; 6,0; 8,0 и 10,0 см
стандартного раствора А титана. Седьмой стакан служит для проведения контрольного опыта. Далее анализ проводят, как указано в п. 3.3.1.
Вместимость мерной колбы 100 см, объем аликвотной части 10,0 см
. При измерении светопоглощения в качестве раствора сравнения используют раствор в седьмом стакане, не содержащий титан. По полученным значениям оптической плотности и соответствующим массам титана строят градуировочный график.
3.2-3.3.2. (Измененная редакция, Изм. N 1, 2).
3.4. Обработка результатов
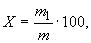
3.4.1. Массовую долю титана в процентах вычисляют по формуле
![]()
где - масса титана в анализируемой пробе, найденная по градуировочному графику, г;
- масса навески стали, соответствующая аликвотной части раствора, г.
(Измененная редакция, Изм. N 1).
3.4.2. Нормы точности и нормативы контроля точности определения массовой доли титана приведены в табл.3.
Таблица 3
Массовая доля титана, % | Погрешность результатов анализа | Допускаемое расхождение, % | |||||||||
двух средних результатов анализа, выполненных в различных условиях | двух парал- лельных определений | трех парал- лельных определений | результатов анализа стандартного образца от аттестованного значения | ||||||||
От | 0,005 | до | 0,01 | включ. | 0,003 | 0,004 | 0,003 | 0,004 | 0,002 | ||
Св. | 0,01 | " | 0,02 | " | 0,005 | 0,008 | 0,007 | 0,008 | 0,004 | ||
" | 0,02 | " | 0,05 | " | 0,006 | 0,010 | 0,008 | 0,010 | 0,005 | ||
" | 0,05 | " | 0,1 | " | 0,013 | 0,020 | 0,016 | 0,020 | 0,010 | ||
" | 0,1 | " | 0,2 | " | 0,024 | 0,030 | 0,024 | 0,030 | 0,010 | ||
" | 0,2 | " | 0,5 | " | 0,03 | 0,04 | 0,03 | 0,04 | 0,02 | ||
" | 0,5 | " | 1,0 | " | 0,04 | 0,05 | 0,04 | 0,05 | 0,03 | ||
" | 1,0 | " | 2,0 | " | 0,06 | 0,07 | 0,06 | 0,07 | 0,04 | ||
" | 2,0 | " | 3,5 | " | 0,09 | 0,11 | 0,09 | 0,11 | 0,06 | ||
(Измененная редакция, Изм. N 2).
Электронный текст документа
подготовлен ЗАО "Кодекс" и сверен по:
официальное издание
М.: Стандартинформ, 2005
Разместите заказ
сами сделают вам предложение
