ГОСТы сталей. ГОСТ 12355-78
ГОСТ 12355-78
Группа В39
ГОСУДАРСТВЕННЫЙ СТАНДАРТ СОЮЗА ССР
СТАЛИ ЛЕГИРОВАННЫЕ И ВЫСОКОЛЕГИРОВАННЫЕ
Методы определения меди
Alloyed and high-alloyed steels.
Methods of copper determination
ОКСТУ 0809
Дата введения 1980-01-01
УТВЕРЖДЕН И ВВЕДЕН В ДЕЙСТВИЕ постановлением Государственного комитета СССР по стандартам от 23 ноября 1978 г. N 3081
ПРОВЕРЕН в 1984 г. Постановлением Госстандарта от 15.08.84 N 2877 срок действия продлен до 01.01.95*
_____________
* Ограничение срока действия снято по протоколу N 4-93 Межгосударственного Совета по стандартизации, метрологии и сертификации. (ИУС N 4, 1994 г.). - Примечание "КОДЕКС".
ВЗАМЕН ГОСТ 12355-66, кроме общих указаний
ПЕРЕИЗДАНИЕ март 1986 г. с Изменением N 1, утвержденным в августе 1984 г. (ИУС 11-84).
Настоящий стандарт устанавливает экстракционно-фотометрический метод определения меди (при массовых долях от 0,01 до 0,10%), фотометрический метод (при массовых долях от 0,10 до 1,00%), полярографический метод (при массовых долях от 0,01 до 2,00%), титриметрический метод (от 1,00 до 4,00%), гравиметрический метод (при массовых долях от 0,30 до 4,00%) и атомно-абсорбционный метод (при массовых долях от 0,10 до 4,00%).
1. ОБЩИЕ ТРЕБОВАНИЯ
1. ОБЩИЕ ТРЕБОВАНИЯ
1.1. Общие требования к методам анализа - по ГОСТ 20560-81.
2. ЭКСТРАКЦИОННО-ФОТОМЕТРИЧЕСКИЙ МЕТОД ОПРЕДЕЛЕНИЯ МЕДИ (0,01-0,10%)
2.1. Сущность метода
Метод основан на образовании в аммиачном растворе (рН 8,5-9,0) окрашенного в желтый цвет и экстрагируемого хлороформом комплексного соединения меди (II) с диэтилдитиокарбаматом натрия.
Кремний, вольфрам, ниобий, титан отделяют кислотным гидролизом. Влияние алюминия, молибдена, никеля, хрома, железа и марганца, мешающих определению, устраняют добавлением лимоннокислого аммония и трилона Б.
2.2. Аппаратура, реактивы и растворы
Спектрофотометр, спектрофотоколориметр или фотоэлектроколориметр.
Кислота соляная по ГОСТ 3118-77 или кислота соляная особой чистоты по ГОСТ 14261-77.
Кислота азотная по ГОСТ 4461-77 или кислота азотная особой чистоты по ГОСТ 11125-84.
Кислота серная по ГОСТ 4204-77 или кислота серная особой чистоты по ГОСТ 14262-78 и разбавленная 1:1.
Кислота ортофосфорная по ГОСТ 6552-80.
Аммиак водный по ГОСТ 3760-79.
Соль динатриевая этилендиамин - N, N, N', N' - тетрауксусной кислоты, 2-водная (трилон Б) по ГОСТ 10652-73. Раствор 10 г трилона Б растворяют при слабом нагревании в 100 мл воды и фильтруют.
Хлороформ.
Диэтилдитиокарбамат натрия по ГОСТ 8864-71, 0,1 и 0,5%-ный растворы, свежеприготовленные.
Аммоний лимоннокислый, двузамещенный по ГОСТ 3653-78, 25%-ный раствор. Раствор очищают от примесей тяжелых металлов в виде их диэтилдитиокарбаматов экстракцией хлороформом в делительной воронке вместимостью 500 см. Для этого к 250 см
раствора добавляют раствор аммиака до рН 9,0 по универсальному индикатору, 25 см
0,5%-ного раствора диэтилдитиокарбамата натрия, 50 см
хлороформа и энергично встряхивают в течение 2 мин. Водному и хлороформному слоям дают отстояться. Хлороформный слой отбрасывают.
Железо карбонильное радиотехническое по ГОСТ 13610-79 ос. ч.
Медь металлическая по ГОСТ 546-79.
Медь сернокислая, стандартные растворы А и Б.
Раствор А. 1 г металлической меди растворяют при нагревании в 20-25 см азотной кислоты 1:1, добавляют 30 см
серной кислоты 1:1, выпаривают до выделения ее паров и охлаждают. Осторожно при постоянном перемешивании добавляют 100 см
воды. Раствор переносят в мерную колбу вместимостью 1 дм
, охлаждают, доливают до метки водой и перемешивают.
1 см раствора А содержит 1 мг меди.
Таблица 1
|
| Разбавление, см |
|
|
|
Св. 0,03 " 0,05 | 0,5 | 100 |
" 0,05 " 0,10 | 0,25 | 100 |
Раствор Б. 10 см стандартного раствора А помещают в мерную колбу вместимостью 100 см
, доливают до метки водой и перемешивают.
1 см раствора Б содержит 0,1 мг меди.
Индикатор универсальный, бумага.
(Измененная редакция, Изм. N 1).
2.3. Проведение анализа
Навеску стали в зависимости от массовой доли меди (табл.1) помещают в стакан или колбу вместимостью 250-300 см, приливают 30 см
соляной кислоты, накрывают часовым стеклом и нагревают до растворения навески. Затем, слегка сдвинув часовое стекло, осторожно приливают азотную кислоту до прекращения вспенивания раствора и избыток 2-3 см
. Растворы охлаждают, добавляют 15 см
серной кислоты, 10 см
ортофосфорной кислоты (при массовой доле вольфрама в стали более 3%) и выпаривают раствор до начала выделения паров серной кислоты. Раствор охлаждают, осторожно добавляют 25-30 см
воды при перемешивании и нагревают до растворения солей. Раствор переносят в мерную колбу вместимостью 50 или 100 см
, охлаждают, доливают до метки водой и перемешивают.
Раствор фильтруют через два сухих фильтра "белая лента" в колбу вместимостью 100 см, сполоснув колбу первыми порциями фильтрата.
Аликвотную часть раствора 5 см помещают в стакан вместимостью 50-100 см
, приливают 10 см
раствора 25%-ного лимоннокислого аммония; 10 см
раствора трилона Б, перемешивают и добавляют раствор аммиака до рН 9 по универсальному индикатору.
Раствор переносят в делительную воронку, доливают воды до объема 60-70 см, прибавляют 5 см
0,1%-ного раствора диэтилдитиокарбамата натрия и экстрагируют 10 см
хлороформа, энергично встряхивая раствор в течение 2 мин. Водному и хлороформному слоям дают отстояться и сливают хлороформный слой в сухую мерную колбу вместимостью 25 см
. К оставшемуся в делительной воронке водному раствору добавляют 5 см
хлороформа и снова встряхивают его в течение 2 мин. После отстаивания раствора хлороформный слой сливают в ту же колбу, что и после первой экстракции, доливают объем объединенных экстрактов хлороформом до метки и перемешивают.
Оптическую плотность раствора измеряют сразу после экстракции на спектрофотометре или спектрофотоколориметре при =436 нм или фотоэлектроколориметре со светофильтром, имеющим область пропускания в интервале длин волн от 380 до 430 нм, в кювете с толщиной поглощающего слоя 20 мм, применяя в качестве раствора сравнения хлороформ. Содержание меди находят по градуировочному графику с учетом поправки контрольного опыта.
2.2; 2.3. (Измененная редакция, Изм. N 1).
2.3.1. Построение градуировочного графика
В семь стаканов или колб вместимостью 250-300 см помещают по 0,5 г карбонильного железа. В шесть стаканов или колб приливают последовательно 0,5; 1; 1,5; 2; 2,5 и З см
стандартного раствора Б сернокислой меди, что соответствует 0,05; 0,10; 0,15; 0,20; 0,25 и 0,30 мг меди. Седьмой стакан или колба служит для проведения контрольного анализа. Во все стаканы или колбы приливают по 30 см
соляной кислоты, стаканы накрывают часовыми стеклами и растворяют навески при нагревании. Затем, слегка сдвинув часовые стекла, осторожно приливают азотную кислоту до прекращения вспенивания растворов и избыток 2-3 см
.
Растворы охлаждают, добавляют по 15 см серной кислоты, по 5 см
ортофосфорной кислоты (при массовой доле вольфрама в стали более 3%) и выпаривают до начала выделения паров серной кислоты. Растворы охлаждают, осторожно добавляют по 25-30 см
воды при перемешивании и нагревают до растворения солей. Растворы переносят в мерные колбы вместимостью 50 см
, охлаждают, доливают до меток водой и перемешивают. Далее анализ продолжают, как указано в п. 2.3, начиная со слов: "Раствор фильтруют через два сухих фильтра "белая лента" . . .
Из значения оптической плотности анализируемых растворов вычитают значение оптической плотности контрольного опыта.
По найденным величинам оптической плотности и соответствующим им значениям концентраций меди строят градуировочный графи
к.
2.4. Обработка результатов
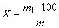
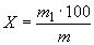
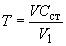
2.4.1. Массовую долю меди () в процентах вычисляют по формуле
,
где - масса навески стали, соответствующая фотометрируемой аликвотной части раствора, мг;
- масса меди, найденная по градуировочному графику, мг.
(Измененная редакция, Изм. N 1).
2.4.2. Абсолютные допускаемые расхождения между крайними из трех параллельных результатов при доверительной вероятности = 0,95 не должны превышать значений, указанных в табл.3.
3. ФОТОМЕТРИЧЕСКИЙ МЕТОД ОПРЕДЕЛЕНИЯ МЕДИ (0,10-1,00%)
3.1. Сущность метода
Метод основан на образовании в аммиачном растворе (рН 8,5-9,0) окрашенного в желтый цвет и стабилизируемого желатином комплексного соединения меди (II) с диэтилдитиокарбаматом натрия. Мешающее влияние железа, хрома, никеля, ванадия, молибдена, марганца, алюминия устраняют предварительным отделением меди в виде сульфида серноватистокислым натрием и добавлением лимоннокислого аммония.
Кремний, вольфрам, ниобий, титан отделяют кислотным гидролизом.
(Измененная редакция, Изм. N 1).
3.2. Аппаратура, реактивы и растворы
Спектрофотометр, спектрофотоколориметр или фотоэлектроколориметр.
Кислота соляная по ГОСТ 3118-77 или кислота соляная особой чистоты по ГОСТ 14261-77, разбавленная 1:1.
Кислота азотная по ГОСТ 4461-77 или кислота азотная особой чистоты по ГОСТ 14262-78 и разбавленная 1:1, 1:4, 1:50.
Кислота ортофосфорная по ГОСТ 6552-80.
Аммиак водный по ГОСТ 3760-79.
Спирт поливиниловый, раствор с массовой долей 0,2%
Кислота лимонная по ГОСТ 3652-69, 20%-ный раствор.
Диэтилдитиокарбамат натрия по ГОСТ 8864-71, 0,5%-ный раствор свежеприготовленный.
Железо карбонильное, особой чистоты.
Медь металлическая по ГОСТ 546-79.
Медь сернокислая, стандартный раствор А. 1 г металлической меди растворяют при нагревании в 20-25 см азотной кислоты 1:1, добавляют 30 см
серной кислоты 1:1, выпаривают до выделения ее паров и охлаждают. Осторожно, при постоянном перемешивании добавляют 100 см
воды. Раствор переносят в мерную колбу вместимостью 1 дм
, охлаждают, доливают до метки водой и перемешивают.
1 см раствора А содержит 1 мг меди.
Раствор Б. 10 см стандартного раствора А помещают в мерную колбу вместимостью 100 см
, доливают до метки водой и перемешивают.
1 см раствора Б содержит 0,1 мг меди.
Натрий серноватистокислый, 30%-ный раствор.
Таблица 2
Массовая доля меди, % | Масса навески, г | Аликвотная часть, см |
|
|
|
Св. 0,2 " 0,4 | 0,1 | 20 |
" 0,4 " 0,8 | 0,1 | 10 |
" 0,8 " 1,0 | 0,1 | 5 |
Калий пиросернокислый по ГОСТ 7172-76.
Желатин по ГОСТ 11293-78, 0,5%-ный раствор, свежеприготовленный.
3.3. Проведение анализа
Навеску стали в зависимости от массовой доли меди (табл.2) помещают в стакан или колбу вместимостью 250-300 см, приливают 50 см
серной кислоты 1:4, накрывают часовым стеклом, осторожно приливают 3-5 см
азотной кислоты и выпаривают до появления паров серной кислоты. Если сталь не растворяется в серной кислоте, навеску растворяют в 20 см
соляной и 5-10 см
азотной кислоты, а затем осторожно приливают 15 см
серной кислоты и 10 см
ортофосфорной кислоты (последнюю при массовой доле вольфрама в сталях более 3%) и выпаривают раствор до выделения паров серной кислоты. Содержимое стакана или колбы охлаждают, осторожно при перемешивании приливают 80-100 см
воды, нагревают до растворения солей и отфильтровывают осадок кремневой, вольфрамовой, ниобиевой кислоты на фильтр "белая лента". Осадок промывают 7-8 раз горячей серной кислотой 1:50, собирая фильтрат и промывную жидкость в стакан вместимостью 300-400 см
. Фильтр с осадком отбрасывают.
К полученному горячему раствору приливают 40-50 см 30%-ного раствора серноватистокислого натрия и кипятят до полной коагуляции осадка сернистой меди и серы и просветления раствора.
Раствор с осадком охлаждают, осадок отфильтровывают на фильтр "белая лента" и промывают 6-8 раз горячей водой. Фильтр с осадком помещают в фарфоровый тигель, высушивают и озоляют. Осадок прокаливают при 500-550° С и сплавляют с 2-3 г пиросернокислого калия. Плав растворяют в стакане вместимостью 100 см в 15-20 см
соляной кислоты 1:1, добавляют 10-15 см
воды. Раствор нагревают до полного растворения плава, переносят в мерную колбу вместимостью 100 см
, охлаждают, доливают до метки водой и перемешивают. Раствор фильтруют через два сухих фильтра "белая лента" в сухие колбы, отбрасывая первые порции фильтрата. Аликвотную часть раствора помещают в мерную колбу вместимостью 100 см
, добавляют 15 см
раствора лимонной кислоты, 10 см
раствора желатина или 15 см
раствора поливинилового спирта и 15 см
раствора аммиака. Раствор перемешивают, добавляют 10 см
раствора диэтилдитиокарбамата натрия, доливают водой до метки, перемешивают.
Оптическую плотность раствора измеряют на спектрофотоколориметре при =453 нм или на фотоэлектроколориметре со светофильтром, имеющим область пропускания длин волн от 420 до 490 нм в кювете с толщиной поглощающего слоя 30 мм. В качестве раствора сравнения используют раствор контрольного опыта. Массу меди находят по градуировочному графику с учетом поправки конт
рольного опыта.
3.2; 3.3. (Измененная редакция, Изм. N 1).
3.3.1. Построение градуировочного графика
В восемь стаканов или колб вместимостью 250-300 см помещают по 0,1 г карбонильного железа. В семь стаканов или колб приливают последовательно 1, 2, 4, 6, 8, 10 и 12 см
стандартного раствора Б сернокислой меди, что соответствует 0,1; 0,2; 0,4; 0,6; 0,8; 1,0 и 1,2 мг меди. Восьмой стакан или колба служит для проведения контрольного опыта. Во все стаканы или колбы приливают по 20 см
соляной кислоты, накрывают часовыми стеклами и растворяют навески при нагревании. Затем, слегка сдвинув часовые стекла, осторожно приливают азотную кислоту до прекращения вспенивания растворов и избыток по 2-3 см
. Растворы охлаждают, добавляют по 10 см
серной кислоты и по 5 см
ортофосфорной кислоты (последнюю при массовой доле вольфрама в сталях более 3%) и выпаривают растворы до начала выделения паров серной кислоты. Далее анализ продолжают, как указано в п. 3.3, начиная со слов: "Содержимое стакана или колбы охлаждают, осторожно при перемешивании приливают 80-100 см
воды, нагревают до растворения солей . . . ".
Из значения оптической плотности анализируемых растворов вычитают значение оптической плотности контрольного опыта. По найденным величинам оптической плотности и соответствующим им значениям концентраций меди строят градуировочный график
.
3.4. Обработка результатов
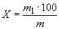
3.4.1. Массовую долю меди () в процентах вычисляют по формуле
,
где - масса навески стали, соответствующая фотометрируемой аликвотной части раствора, мг;
- масса меди, найденная по градуировочному графику, мг.
(Измененная редакция, Изм. N 1).
3.4.2. Абсолютные допускаемые расхождения между крайними из трех параллельных результатов при доверительной вероятности =0,95 не должны превышать значений, указанных в табл.3.
4. ПОЛЯРОГРАФИЧЕСКИЙ МЕТОД ОПРЕДЕЛЕНИЯ МЕДИ (0,01-2,00%)
4.1. Сущность метода
Метод основан на осаждении меди в виде сульфида серноватистокислым натрием и отделении осадка фильтрованием от железа, хрома, никеля, ванадия и ряда других элементов. Анализ заканчивают полярографированием аммиачного комплекса меди при потенциале полуволны (пика), равном - 0,45 В (относительно ртутного анода).
4.2. Аппаратура, реактивы и растворы
Полярограф электронный.
Кислота соляная по ГОСТ 3118-77 или кислота соляная особой чистоты по ГОСТ 14261-77 и разбавленная 1:1.
Кислота азотная по ГОСТ 4461-77 или кислота азотная особой чистоты по ГОСТ 11125-84 и разбавленная 1:1.
Кислота серная по ГОСТ 4204-77 или кислота серная особой чистоты по ГОСТ 14262-78 и разбавленная 1:1, 1:4, 1:9 и 1:50.
Аммиак, водный раствор по ГОСТ 3760-79.
Натрий серноватистокислый, 30%-ный раствор.
Калий пиросернокислый по ГОСТ 7172-76.
Натрий сернистокислый (сульфит натрия) безводный по ГОСТ 429-76.
Желатин по ГОСТ 11293-78, 0,5%-ный раствор.
Железо карбонильное радиотехническое по ГОСТ 13610-79, ос. ч.
Медь металлическая по ГОСТ 546-79.
Медь сернокислая, стандартные растворы А и Б.
Раствор А. 1 г металлической меди растворяют при нагревании в 20-25 см азотной кислоты 1:1, добавляют 30 см
серной кислоты 1:1, выпаривают до выделения ее паров и охлаждают. Осторожно при постоянном перемешивании добавляют 100 см
воды. Раствор переносят в мерную колбу вместимостью 1 дм
, охлаждают, доливают до метки водой и перемешивают.
1 см раствора А содержит 1 мг меди.
Раствор Б. 10 см стандартного раствора А помещают в мерную колбу вместимостью 100 см
, доливают до метки водой и перемешивают.
1 см раствора Б содержит 0,1 мг мед
и.
4.3. Проведение анализа
Навеску стали
0,5 г при массовой доле меди от 0,01 до 0,2%,
0,2 г " " " " св. 0,2 " 1%,
или 0,1 г " " " " " 1 " 2%
помещают в стакан или колбу вместимостью 200-300 см, приливают 50 см
серной кислоты 1:4, накрывают часовым стеклом, осторожно приливают 3-5 см
азотной кислоты и выпаривают до появления паров серной кислоты. Если сталь не растворяется в серной кислоте, навеску растворяют в 30 см
соляной и 10 см
азотной кислот, а затем осторожно приливают 10 см
серной кислоты и выпаривают раствор до появления ее паров.
Содержимое стакана или колбы охлаждают, осторожно при перемешивании приливают 80-100 см воды, нагревают до растворения солей и отфильтровывают осадок кремневой, вольфрамовой, ниобиевой кислот на фильтр "белая лента". Осадок промывают 7-8 раз горячей серной кислотой 1:50, собирая фильтрат и промывную жидкость в стакан вместимостью 300-400 см
. Фильтр с осадком отбрасывают.
К полученному раствору приливают 40-50 см горячего 30%-ного раствора серноватистокислого натрия и кипятят до полной коагуляции осадка сернистой меди и серы и просветления раствора.
Раствор с осадком охлаждают, осадок отфильтровывают на фильтр "белая лента" и промывают 6-8 раз горячей водой. Фильтр с осадком помещают в фарфоровый тигель, высушивают и озоляют; осадок прокаливают при 500-550° С и сплавляют с 2-3 г пиросернокислого калия.
Плав выщелачивают в 20-25 см серной кислоты 1:9 в стакане вместимостью 250-300 см
и выпаривают раствор до объема приблизительно 5 см
. Содержимое стакана переносят в мерную колбу вместимостью 50 см
, добавляют 5 см
воды, осторожно при перемешивании приливают 25 см
раствора аммиака, 1 см
0,5%-ного раствора желатина и перемешивают. Добавляют 0,5 г сернистокислого натрия, доливают до метки водой, перемешивают и оставляют стоять в течение 5-10 мин.
Часть раствора отфильтровывают в электролизер и полярографируют при напряжении на электродах от -0,3 до -0,6 В.
Массу меди находят по градуировочному графику с учетом поправки контрольн
ого опыта.
4.2; 4.3. (Измененная редакция, Изм. N 1).
4.3.1. Построение градуировочного графика при массовой доле меди в стали от 0,01 до 0,20%
В двенадцать стаканов или колб вместимостью 200-300 см помещают по 0,5 г карбонильного железа. В одиннадцать стаканов или колб приливают последовательно 0,5; 1; 2; 3; 4; 5; 6; 7; 8; 9 и 10 см
стандартного раствора Б сернокислой меди, что соответствует 0,05; 0,1; 0,2; 0,3; 0,4; 0,5; 0,6; 0,7; 0,8; 0,9 и 1 мг меди. Двенадцатый стакан или колба служит для проведения контрольного опыта.
Во все стаканы или колбы приливают по 50 см серной кислоты 1:4, накрывают часовыми стеклами, осторожно приливают по 3-5 см
азотной кислоты и выпаривают до появления паров серной кислоты.
Далее поступают, как указано в п. 4.3.
Из значения высоты полярографической волны (пика полярограммы) анализируемых растворов вычитают значение высоты полярографической волны (пика полярограммы) контрольного опыта.
По найденным величинам высоты полярографической волны (пика полярограммы) и соответствующим им значениям концентраций меди строят градуировочный график.
4.3.2. Построение градуированного графика при массовой доле меди в стали от 0,2 до 2,00%
В десять стаканов или колб вместимостью 200-300 см помещают по 0,2 г карбонильного железа. В девять стаканов или колб приливают последовательно 4, 6, 8, 10, 12, 14, 16, 18 и 20 см
стандартного раствора Б сернокислой меди, что соответствует 0,4; 0,6; 0,8; 1,0; 1,2; 1,4; 1,6; 1,8 и 2,0 мг меди.
Десятый стакан или колба служит для проведения контрольного анализа. Во все стаканы или колбы приливают по 50 см серной кислоты 1:4, накрывают часовыми стеклами, осторожно приливают по 3-5 см
азотной кислоты и выпаривают до появления паров серной кислоты.
Далее поступают, как указано в п. 4.3.
Из значения высоты полярографической волны (пика полярограммы) анализируемых растворов вычитают значение высоты полярографической волны (пика полярограммы) контрольного опыта.
По найденным величинам высоты полярографической волны (пика полярограммы) и соответствующим им значениям концентраций меди строят градуировочный график.
4.4. Обработка результатов
4.4.1. Массовую долю меди () в процентах вычисляют по формуле
,
где - масса меди, найденная по градуировочному графику, мг;
- масса навески стали, мг
;
4.4.2. Абсолютные допускаемые расхождения между крайними из трех параллельных результатов при доверительной вероятности =0,95 не должны превышать значений, указанных в табл.3.
Таблица 3
Массовая доля меди, % | Абсолютные допускаемые расхождения, % | |||
От 0,01 до 0,02 | 0,007 | |||
Св. 0,02 " 0,04 | 0,010 | |||
" 0,04 " 0,08 | 0,015 | |||
" 0,08 " 0,20 | 0,02 | |||
" 0,20 " 0,50 | 0,04 | |||
" 0,50 " 1,00 | 0,05 | |||
" 1,00 " 2,00 | 0,08 | |||
5. ТИТРИМЕТРИЧЕСКИЙ МЕТОД ОПРЕДЕЛЕНИЯ МЕДИ (1,00-4,00%)
5.1. Сущность метода
Медь отделяют от железа, хрома и других элементов осаждением серноватистокислым натрием в виде сульфида меди (I), затем отделяют от ванадия и молибдена осаждением гидроокисью натрия. Медь (II) восстанавливают до меди (I) йодидом калия и титруют выделившийся при этом йод раствором серноватистокислого натрия.
5.2. Реактивы и растворы
Кислота соляная по ГОСТ 3118-77.
Кислота азотная по ГОСТ 4461-77 и разбавленная 1:3.
Кислота серная по ГОСТ 4204-77 и разбавленная 1:1, 1:9, 1:50.
Натрий серноватистокислый, 30%-ный раствор.
Калий пиросернокислый по ГОСТ 7172-76.
Натрия гидроокись по ГОСТ 4328-77, 10%-ный и 0,5%-ный растворы.
Аммиак, водный раствор по ГОСТ 3760-79.
Кислота уксусная по ГОСТ 61-75, 80-90%-ный раствор.
Натрий фтористый по ГОСТ 4463-76.
Калий йодистый по ГОСТ 4232-74.
Индикатор универсальный, бумага.
Крахмал растворимый по ГОСТ 10163-76, 0,2%-ный раствор. 0,4 г крахмала размешивают в 50 см воды, прибавляют 150 см
горячей воды, нагревают и кипятят 1 мин.
Медь металлическая по ГОСТ 546-79.
Медь сернокислая, стандартный раствор. 1 г металлической меди растворяют в 10-12 см азотной кислоты 1:1 при умеренном нагревании. Раствор охлаждают, осторожно приливают 10 см
серной кислоты и выпаривают до появления ее паров. Снова охлаждают раствор, часовое стекло и стенки стакана обмывают водой, вновь выпаривают раствор до появления паров серной кислоты и охлаждают. Приливают 200-300 см
воды, переносят в мерную колбу вместимостью 1 дм
, охлаждают, доливают до метки водой и перемешивают.
1 см этого раствора содержит 0,001 г меди.
Натрий серноватистокислый по СТ СЭВ 223-75, титрованный раствор. 12,4 г серноватистокислого натрия растворяют в 1 дм, свежепрокипяченной и охлажденной воды и устанавливают массовую концентрацию через 2-3 сут. Раствор хранят в склянке из темного стекла.
Массовую концентрацию раствора серноватистокислого натрия устанавливают по стандартному раствору сернокислой меди. 15-20 см раствора сернокислой меди помещают в стакан вместимостью 250-300 см
и приливают 40-50 см
воды. К раствору прибавляют по каплям раствор аммиака до появления синей окраски, нагревают до исчезновения запаха аммиака, приливают уксусную кислоту до растворения осадка и еще 5-6 см
. Раствор охлаждают, прибавляют 1,5-2 г йодистого калия и перемешивают.
Выделившийся йод титруют раствором серноватистокислого натрия до перехода коричневой окраски в светло-желтую. Затем приливают 3-5 см раствора крахмала и продолжают титрование, прибавляя по каплям раствор серноватистокислого натрия до исчезновения синей окраски.
Массовую концентрацию раствора серноватистокислого натрия (), выраженную в граммах меди, вычисляют по формуле
,
где - содержание меди в 1 см
стандартного раствора, г;
- объем стандартного раствора сернокислой меди, взятый для титрования, см
;
- объем раствора серноватистокислого натрия, израсходованный на титрование, см
.
5.3. Проведение анализа
Навеску стали массой
1 г при массовой доле меди от 1 до 2% и
0,5 г " " " " св. 2 " 4%
помещают в стакан вместимостью 300-400 см, приливают 50 см
серной кислоты 1:4, стакан накрывают часовым стеклом и нагревают до растворения навески. Осторожно приливают 3-5 см
азотной кислоты и выпаривают раствор до появления паров серной кислоты.
Если навеска не растворяется в серной кислоте, растворение проводят в смеси 30 см соляной и 10 см
азотной кислот. Затем осторожно приливают 10 см
серной кислоты и выпаривают раствор до появления ее паров.
Содержимое стакана охлаждают, приливают 80-100 см воды, нагревают до растворения солей и отфильтровывают осадок кремневой (вольфрамовой, ниобиевой) кислоты на фильтр "белая лента". Осадок промывают 7-8 раз горячей серной кислотой 1:50, собирая фильтрат и промывную жидкость в стакан вместимостью 300-400 см
. Фильтр с осадком отбрасывают.
К полученному раствору приливают 30-35 см горячего 30%-ного раствора серноватистокислого натрия и кипятят до полной коагуляции осадка сернистой меди и серы. Затем раствор с осадком охлаждают, осадок отфильтровывают на фильтр "белая лента" и промывают 6-8 раз горячей водой. Фильтр с осадком помещают в фарфоровый тигель, высушивают, озоляют, прокаливают при 500-550° С, сплавляют с 1-2 г пиросернокислого калия и растворяют плав в 20-25 см
серной кислоты 1:9 в стакане вместимостью 250-300 см
.
Раствор разбавляют водой до 100 см и добавляют 10% -ный раствор гидроокиси натрия до рН 7-8 по универсальной индикаторной бумаге. Прибавляют еще 0,3-0,5 см
10%-ного раствора гидроокиси натрия, кипятят 3 мин и оставляют на 30 мин в теплом месте.
Осадок отфильтровывают на фильтр "белая лента" и промывают 5-6 раз 0,5%-ным раствором гидроокиси натрия. Фильтрат и промывную жидкость отбрасывают.
Осадок растворяют в 15-25 см горячей азотной кислоты 1:3 и промывают фильтр горячей водой, собирая раствор и промывную жидкость в стакан, в котором производилось осаждение.
К раствору приливают 5 см серной кислоты 1:1 и выпаривают до появления ее паров. Охлаждают, стенки стакана обмывают водой и вновь выпаривают раствор до появления паров серной кислоты. Содержимое стакана охлаждают, приливают 50-60 см
воды и нагревают до растворения солей.
К сернокислому раствору прибавляют по каплям раствор аммиака до появления синей окраски, нагревают до исчезновения запаха аммиака, приливают уксусную кислоту до растворения осадка и еще 5-6 см. Раствор охлаждают, прибавляют 0,3 г фтористого натрия и 1,5-2 г йодистого калия, перемешивая раствор после прибавления каждого реактива. Стакан накрывают часовым стеклом и оставляют в темном месте на 3-5 мин.
Выделившийся йод титруют раствором серноватистокислого натрия до перехода коричневой окраски раствора в светло-желтую. Затем приливают 3-5 см раствора крахмала и продолжают титрование, прибавляя по каплям раствор серноватистокислого натрия до исчезновения синей окраски.
(Измененная редакция
, Изм. N 1).
5.4. Обработка результатов
5.4.1. Массовую долю меди () в процентах вычисляют по формуле
,
где - объем раствора серноватистокислого натрия, израсходованный на титрование, см
;
Массовую концентрацию раствора серноватистокислого натрия, выраженную в граммах меди; - масса навески, г.
5.4.2. Абсолютные допускаемые расхождения между крайними из трех параллельных определений при доверительной вероятности =0,95 не должны превышать значений, указанных в табл.4.
(Измененная редакция, Изм. N 1).
6. ГРАВИМЕТРИЧЕСКИЙ МЕТОД ОПРЕДЕЛЕНИЯ МЕДИ (0,30-4,00%)
6.1. Сущность метода
Метод основан на электролитическом выделении меди из слабокислого раствора. Медь предварительно отделяют от железа, хрома и других элементов осаждением серноватистокислым натрием. В присутствии молибдена медь дополнительно отделяют щелочью.
6.2. Аппаратура, реактивы и растворы
Электроды сетчатые платиновые.
Реостат 1400 Ом, 0,25 А.
Вольтметр.
Амперметр.
Электромешалка 200-300 об/мин.
Кислота соляная по ГОСТ 3118-77.
Кислота азотная по ГОСТ 4461-77 и разбавленная 1:1, 1:3.
Кислота серная по ГОСТ 4204-77 и разбавленная 1:1, 1:9, 1:50.
Натрий серноватистокислый, 30%-ный раствор.
Калий пиросернокислый по ГОСТ 7172-76.
Натрия гидроокись по ГОСТ 4328-77, 10%-ный и 0,5%-ный растворы.
Спирт этиловый по ГОСТ 5962-67.
Индикатор универсальный, бумага.
6.3. Проведение анализа
Навеску стали
2 г при массовой доле меди от 0,3 до 1%,
1 г " " " " св. 1 " 2%,
0,5 г " " " " " 2 " 4%
помещают в стакан вместимостью 200-300 см, приливают 50 см
серной кислоты 1:4, стакан накрывают часовым стеклом и нагревают до растворения навески. Затем, слегка сдвинув часовое стекло, осторожно приливают 3-5 см
азотной кислоты и выпаривают до появления паров серной кислоты.
Если сталь не растворяется в серной кислоте 1:4, то навеску растворяют в 30 см соляной кислоты и 10 см
азотной кислоты, осторожно приливают 10 см
серной кислоты и выпаривают раствор до появления паров серной кислоты.
Содержимое стакана охлаждают, приливают 80-100 см воды, нагревают до растворения солей и отфильтровывают осадок кремневой (вольфрамовой, ниобиевой) кислоты на фильтр "белая лента". Осадок промывают 7-8 раз горячей серной кислотой 1:50, собирая фильтрат и промывную жидкость в стакан вместимостью 300-400 см
.
Фильтр с осадком отбрасывают, а к полученному раствору приливают 30-35 см горячего 30%-ного раствора серноватистокислого натрия и кипятят до полной коагуляции осадка сернистой меди и серы. Затем раствор с осадком оставляют на 5-10 мин, осадок отфильтровывают на фильтр "белая лента" и промывают 6-8 раз горячей водой. Фильтр с осадком помещают в фарфоровый тигель, высушивают, озоляют, прокаливают при 500-550 °С, сплавляют с 1-2 г пиросернокислого калия и растворяют плав в 20-25 см
серной кислоты 1:9 в стакане вместимостью 250-300 см
.
Раствор разбавляют водой до 100 см, нейтрализуют по универсальному индикатору 10%-ным раствором гидроокиси натрия рН 7-8, прибавляют его избыток (0,3-0,5 см
), кипятят 2-3 мин и оставляют на 30 мин в теплом месте. Затем осадок отфильтровывают на фильтр "белая лента", промывают 5-6 раз 0,5%-ным раствором гидроокиси натрия, фильтрат и промывную жидкость отбрасывают.
Осадок растворяют в 12-15 см горячей азотной кислоты 1:3 и промывают фильтр 7-8 раз горячей водой, собирая раствор и промывную жидкость в стакан, в котором производилось осаждение. К раствору приливают 4-5 см
серной кислоты 1:1 и разбавляют водой до 150-170 см
.
Электроды промывают азотной кислотой 1:1, водой, затем катод промывают спиртом, высушивают при 95-100 °С, охлаждают и взвешивают. Подготовленные электроды опускают в стакан с раствором и раствор подвергают электролизу при силе тока в 1 А и напряжении 2-2,5 В в течение 30 мин при постоянном перемешивании раствора.
Полноту выделения меди проверяют, погружая чистую поверхность катода на 3-4 мм в электролит или приливая в стакан с испытуемым раствором 15-20 см воды. Если на вновь погруженной поверхности катода по истечении 5 мин не появится налет меди, электролиз считают законченным. Не прерывая тока, промывают катод водой, затем выключают ток, отсоединяют катод от клеммы, промывают его этиловым спиртом, высушивают при 95-100° С в течение 1-2 мин, охлаждают и взвешивают.
(Измененная редакция,
Изм. N 1).
6.4. Обработка результатов
6.4.1. Массовую долю меди () в процентах вычисляют по формуле
,
где - масса навески, г;
- масса электрода с осадком меди, г;
- масса электрода без осадка меди, г;
- масса электрода с осадком, полученная в контрольном опыте г;
- масса электрода без осадка в контрольном опыте, г.
6.4.2. Абсолютные допускаемые расхождения между крайними из трех параллельных определений при доверительной вероятности 0,95 не должны превышать значений, указанных в табл.4.
(Измененная редакция, Изм. N 1).
7. АТОМНО-АБСОРБЦИОННЫЙ МЕТОД ОПРЕДЕЛЕНИЯ МЕДИ (0,10-4,00%)
7.1. Сущность метода
Метод основан на измерении степени поглощения резонансного излучения свободными атомами меди, образующимися в результате распыления анализируемого раствора в пламени воздух-ацетилен.
Навеску образца растворяют в смеси соляной и азотной кислот, выпаривают раствор досуха, сухой остаток растворяют в соляной кислоте. После соответствующего разбавления часть раствора используют для определения меди атомно-абсорбционным методом.
7.2. Аппаратура, реактивы и растворы
Атомно-абсорбционный пламенный спектрофотометр.
Лампа с полым катодом для определения меди.
Баллон с ацетиленом.
Компрессор, обеспечивающий подачу сжатого воздуха, или баллон со сжатым воздухом.
Кислота соляная по ГОСТ 3118-77.
Кислота азотная по ГОСТ 4461-77.
Медь металлическая по ГОСТ 546-79.
Медь азотнокислая, стандартные растворы А и Б.
Раствор А. 1 г металлической меди растворяют при нагревании в 20 см азотной кислоты 1:1. Раствор охлаждают, переносят в мерную колбу вместимостью 1 дм
, доливают до метки водой и перемешивают.
1 см раствора содержит 1 мг меди.
Раствор Б. 10 см раствора А помещают в мерную колбу вместимостью 100 см
, доливают до метки водой и перемешивают.
1 см раствора Б содержит 0,1 мг меди.
Подготовка прибора
Подготовку прибора производят в соответствии с прилагаемой к нему инструкцией. Настраивают спектрофотометр на резонансную линию 324,7 нм. После включения подачи газа и зажигания горелки распыляют воду и устанавливают нуль прибора.
7.3. Проведение анализа
Навеску стали 0,1 г помещают в стакан вместимостью 100 см, приливают 8 см
соляной и 2 см
азотной кислот и нагревают до растворения навески. Раствор выпаривают досуха и сухой остаток растворяют в 4 см
соляной кислоты. Приливают 20-30 см
воды, переносят раствор в мерную колбу вместимостью 100 см
, доливают до метки водой и перемешивают.
Полученный раствор фильтруют через сухой фильтр "белая лента" в коническую сухую колбу, сполоснув ее первыми порциями фильтрата. При содержании меди свыше 1% раствор разбавляют так, чтобы содержание ее составляло не более 0,01 мг/мл, а содержание соляной кислоты - 4 см в 100 см
.
Проводят контрольный опыт. Распыляют раствор контрольного опыта и раствор пробы до получения стабильных результатов для каждого раствора. Перед распылением каждого раствора распыляют воду до получения нулевого показателя прибора.
Построение градуировочного графика
В мерные колбы вместимостью 100 см помещают 1, 3, 5, 7, 9 и 11 см
стандартного раствора Б азотнокислой меди, что соответствует 0,1; 0,3; 0,5; 0,7; 0,9 и 1,1 мг меди. Прибавляют по 4 см
соляной кислоты, разбавляют до метки водой и перемешивают.
Для приготовления нулевого раствора в мерную колбу вместимостью 100 см помещают 4 см
соляной кислоты, доливают до метки водой и перемешивают.
Растворы распыляют в порядке увеличения абсорбции, начиная с нулевого раствора. Перед распылением каждого раствора распыляют воду.
Из среднего значения оптической плотности каждого раствора вычитают среднее значение оптической плотности нулевого раствора.
По найденным значениям оптической плотности и соответствующим им концентрациям меди строят градуировочный
график.
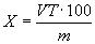
7.4. Обработка результатов
Подсчитывают среднее значение оптической плотности раствора контрольного опыта и вычитают это значение из среднего значения оптической плотности испытуемых растворов. По градуировочному графику находят массу меди в миллиграммах в испытуемом растворе.
7.3; 7.4 (Измененная редакция, Изм. N 1).
7.4.1. Массовую долю меди () в процентах вычисляют по формуле
,
где - масса навески, соответствующая фотометрируемой аликвотной части раствора, мг;
- масса меди, найденная по градуировочному графику, мг.
7.4.2. Абсолютные допускаемые расхождения между крайними результатами трех параллельных определений при доверительной вероятности =0,95 не должны превышать значений, указанных в табл.4.
Таблица 4
Массовая доля меди, % | Абсолютные допускаемые расхождения, % | |||
|
| |||
Св. 0,20 " 0,50 | 0,04 | |||
" 0,50 " 1,00 | 0,05 | |||
" 1,00 " 2,00 | 0,08 | |||
" 2,00 " 4,00 | 0,10 | |||
Текст документа сверен по:
официальное издание
Стали легированные и высоколегированные.
Методы химического анализа: Сб. ГОСТов. -
М.: Издательство стандартов, 1986
Разместите заказ
сами сделают вам предложение
