ГОСТы сталей. ГОСТ 12352-81
ГОСТ 12352-81
Группа В39
МЕЖГОСУДАРСТВЕННЫЙ СТАНДАРТ
СТАЛИ ЛЕГИРОВАННЫЕ И ВЫСОКОЛЕГИРОВАННЫЕ
Методы определения никеля
Steels alloyed and highalloyed.
Methods for the determination of nickel
ОКСТУ 0809
Дата введения 1982-01-01
УТВЕРЖДЕН И ВВЕДЕН В ДЕЙСТВИЕ Постановлением Государственного комитета СССР по стандартам от 16.04.81 № 1997
ВЗАМЕН ГОСТ 12352-66 в части разд. 2, 3
Ограничение срока действия снято по протоколу № 2-92 Межгосударственного Совета по стандартизации, метрологии и сертификации (ИУС 2-93)
ПЕРЕИЗДАНИЕ (март 1999 г.) с Изменением N 1, утвержденным в июле 1986 г. (ИУС 10-86)
Настоящий стандарт устанавливает методы определения никеля: фотометрический (при массовой доле от 0,01 до 4,0%), гравиметрический (при массовой доле от 0,5 до 45,0%) и атомно-абсорбционный (при массовой доле от 0,1 до 15,0%) в легированных и высоколегированных сталях.
Стандарт полностью соответствует СТ СЭВ 962-78.
1. ОБЩИЕ ТРЕБОВАНИЯ
1. ОБЩИЕ ТРЕБОВАНИЯ
1.1. Общие требования к методам анализа - по ГОСТ 28473-90.
2. ФОТОМЕТРИЧЕСКИЙ МЕТОД ОПРЕДЕЛЕНИЯ НИКЕЛЯ
2.1. Определение никеля (0,01-0,5%) в сталях с массовой долей меди до 1%, кобальта до 1% и марганца до 2%.
2.1.1. Сущность метода
Метод основан на образовании окрашенного в красный цвет комплексного соединения никеля с диметилглиоксимом в аммиачной среде в присутствии бромистого и бромноватокислого калия и измерении светопоглощения раствора при длине волны 530 нм.
2.1.2. Аппаратура и реактивы
Спектрофотометр или фотоэлектроколориметр.
Кислота соляная по ГОСТ 3118-77 или по ГОСТ 14261-77 и разбавленная 1:4.
Кислота азотная по ГОСТ 4461-77 или по ГОСТ 11125-84.
Кислота серная по ГОСТ 4204-77 или по ГОСТ 14262-78 и разбавленная 1:5.
Смесь азотной и соляной кислот в соотношении 1:3.
Кислота лимонная по ГОСТ 3652-69, раствор 100 г/дм.
Калий бромистый по ГОСТ 4160-74.
Калий бромноватокислый по ГОСТ 4457-74.
Раствор бромистого и бромноватокислого калия: 39 г бромистого калия и 10 г бромноватокислого калия растворяют в воде в мерной колбе вместимостью 1 дм, доливают до метки водой и перемешивают.
Аммиак водный по ГОСТ 3760-79 и разбавленный 3:2.
Спирт этиловый по ГОСТ 18300-87.
Диметилглиоксим по ГОСТ 5828-77, раствор 10 г/дм: 10 г диметилглиоксима растворяют в этиловом спирте в мерной колбе вместимостью 1 дм
, доливают до метки этиловым спиртом и перемешивают, перед употреблением раствор фильтруют.
Железо карбонильное радиотехническое по ГОСТ 13610-79.
Никель металлический по ГОСТ 849-97.
Никель сернокислый, стандартный раствор: 0,1 г металлического никеля растворяют в 15-20 см азотной кислоты, приливают 30 см
серной кислоты (1:5), выпаривают до начала выделения паров серной кислоты и охлаждают. Соли растворяют в 100-150 см
воды, раствор переносят в мерную колбу вместимостью 1 дм
, охлаждают, доливают до метки водой и перемешивают.
1 см раствора содержит 0,0001 г нике
ля.
2.1.3. Проведение анализа
Навеску стали 0,5 г помещают в стакан вместимостью 200-250 см, растворяют при нагревании в 30 см
серной кислоты (1:5) и окисляют азотной кислотой, прибавляя ее по каплям. Если сталь не растворяется в серной кислоте (1:5), навеску растворяют в 30 см
смеси кислот. Затем приливают 30 см
серной кислоты (1:5) и раствор выпаривают до начала выделения паров серной кислоты. После охлаждения соли растворяют в 100-120 см
воды, раствор переносят в мерную колбу вместимостью 250 см
, охлаждают, доливают до метки водой и перемешивают.
Часть раствора отфильтровывают через сухой фильтр в колбу вместимостью 250 см, отбрасывая две первые порции фильтрата. Две аликвотные части раствора по 25 см
помещают в мерные колбы вместимостью 100 см
и при постоянном перемешивании последовательно приливают в каждую мерную колбу 20 см
раствора лимонной кислоты, 5 см
соляной кислоты (1:4), 10 см
раствора бромистого и бромноватокислого калия и через 2-3 мин 25 см
раствора аммиака (3:2). Растворы перемешивают и немедленно охлаждают до 20°С.
В одну из колб приливают 1 см раствора диметилглиоксима, в другую колбу приливают 1 см
этилового спирта. Растворы доливают до метки водой и тщательно перемешивают. В течение 25 мин измеряют оптическую плотность окрашенного раствора на спектрофотометре при длине волны 530 нм или на фотоэлектроколориметре со светофильтром, имеющим максимум пропускания в интервале длин волн 530-550 нм. Толщину поглощающего свет слоя кюветы выбирают таким образом, чтобы получить оптимальную абсорбцию света, оптимальное значение оптической плотности.
В качестве раствора сравнения используют аликвотную часть анализируемого раствора, содержащую все реактивы, кроме диметилглиоксима.
Одновременно с выполнением анализа проводят контрольный опыт на загрязнение реактивов.
Из значения оптической плотности каждого анализируемого раствора вычитают среднее значение оптической плотности контрольного опыта.
Массу никеля находят по градуировочному
графику.
2.1.4. Построение градуировочного графика
Для сталей с массовой долей от 0,01 до 0,05% никеля в шесть стаканов вместимостью 200-250 см помещают по 0,5 г карбонильного железа или по 0,5 г стали, близкой по составу к анализируемой, не содержащей никель, и приливают последовательно 0,5; 1,0; 2,0; 3,0; 4,0 и 5,0 см
стандартного раствора никеля и далее анализ проводят как указано в п. 2.1.3.
Для сталей с массовой долей от 0,05 до 0,5% никеля в пять стаканов вместимостью 200-250 см помещают по 0,5 г карбонильного железа или по 0,5 г стали, близкой по составу к анализируемой, не содержащей никель, и приливают последовательно 5,0; 10,0; 15,0; 20,0; 25,0 см
стандартного раствора никеля и далее анализ проводят как указано в п. 2.1.3.
По найденным величинам оптической плотности и соответствующим им значениям массы никеля строят градуировочный график.
2.1.2-2.1.4. (Измененная редакция, Изм. № 1).
2.2. Определение никеля (0,1-4,0%) в сталях с массовой долей меди до 2%, кобальта до 1,5% и марганца до 2%
2.2.1. Сущность метода
Метод основан на образовании окрашенного в красный цвет комплексного соединения никеля с диметилглиоксимом в щелочной среде в присутствии окислителя надсернокислого аммония и измерении светопоглощения раствора при длине волны 440 нм.
2.2.2. Аппаратура и реактивы
Спектрофотометр или фотоэлектроколориметр.
Калий-натрий виннокислый (4-водный) по ГОСТ 5845-79, раствор 200 г/дм.
Натрия гидрат окиси по ГОСТ 4328-77, раствор 50 г/дм.
Аммоний надсернокислый (персульфат аммония) по ГОСТ 20478-75, раствор 100 г/дм.
Диметилглиоксим по ГОСТ 5828-77, раствор 10 г/дм в растворе 50 г/дм
гидрата окиси натрия: 10 г диметилглиоксима растворяют в 500 см
раствора 50 г/дм
гидрата окиси натрия. Полученный раствор разбавляют до 1 дм
раствором 50 г/дм
гидрата окиси натрия; перед употреблением раствор фильтруют.
Остальные реактивы и растворы - по п. 2.1
.2.
2.2.3. Проведение анализа
Навеску массой 0,1 г помещают в стакан вместимостью 250-300 см, растворяют при нагревании в 30 см
серной кислоты (1:5) и окисляют азотной кислотой, прибавляя ее по каплям. Если сталь не растворяется в серной кислоте (1:5), навеску растворяют в 30 см
смеси кислот. Раствор кипятят до удаления окислов азота, охлаждают, переносят в мерную колбу вместимостью 100 см
при массовой доле никеля от 0,1 до 1,5% или в мерную колбу вместимостью 200 см
при массовой доле никеля свыше 1,5% доливают до метки водой, перемешивают и отфильтровывают через сухой фильтр, отбрасывая первые порции фильтрата. Две аликвотные части раствора по 10 см
помещают в мерные колбы вместимостью 100 см
, добавляют 20-30 см
воды и 2-3 капли азотной кислоты. Далее, при постоянном перемешивании, в каждую колбу приливают 10 см
раствора сегнетовой соли, 20 см
раствора гидрата окиси натрия и 10 см
надсернокислого аммония. Через 0,5-1 мин в одну из колб приливают 10 см
раствора диметилглиоксима, в другую колбу приливают 10 см
гидрата окиси натрия и оставляют на 2-3 мин.
Растворы охлаждают, доливают до метки водой и перемешивают. Через 5 мин измеряют оптическую плотность окрашенного раствора на спектрофотометре при длине волны 440 нм или на фотоэлекгроколориметре со светофильтром, имеющим максимум пропускания в интервале длин волн 420-460 нм. Толщину поглощающего свет слоя кюветы выбирают таким образом, чтобы получить оптимальную абсорбцию света, оптимальное значение оптической плотности.
В качестве раствора сравнения используют соответствующую аликвотную часть анализируемого раствора, содержащую все реактивы, кроме диметилглиоксима.
Одновременно с выполнением анализа проводят контрольный опыт на загрязнение реактивов.
Из значения оптической плотности каждого анализируемого раствора вычитают среднее значение оптической плотности контрольного опыта.
Массу никеля находят по градуировочному г
рафику.
2.2.4. В шесть стаканов вместимостью 200-250 см помещают по 0,1 г карбонильного железа или стали, близкой по составу к анализируемой и не содержащей никель. В пять стаканов приливают последовательно 1,0; 5,0; 10,0; 15,0; 20,0 см
стандартного раствора никеля и далее анализ проводят как указано в п. 2.2.3.
В качестве раствора сравнения используют раствор железа или стали в шестом стакане, в который вводят все реактивы за исключением стандартного раствора никеля.
По найденной оптической плотности и соответствующим им массам никеля строят градуировочный график.
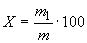
2.3. Обработка результатов
Массовую долю никеля () в процентах вычисляют по формуле
;
где - масса никеля в анализируемой пробе, найденная по градуировочному графику, г;
- масса навески, соответствующая аликвотной части раствора, г.
2.2.2-2.3. (Измененная редакция, Изм. № 1).
3. ГРАВИМЕТРИЧЕСКИЙ МЕТОД ОПРЕДЕЛЕНИЯ НИКЕЛЯ
3.1. Сущность метода
Метод основан на осаждении никеля спиртовым раствором диметилглиоксима в слабоаммиачной среде, высушивании полученного осадка диметилглиоксимата никеля при (120±5)°С и взвешивании.
3.2. Реактивы
Кислота соляная по ГОСТ 3118-77 или по ГОСТ 14261-77 и разбавленная 1:1, 1:4, 1:10, 1:1000.
Кислота азотная по ГОСТ 4461-77 или по ГОСТ 11125-84.
Кислота фтористоводородная по ГОСТ 10484-78.
Кислота серная по ГОСТ 4204-77 или по ГОСТ 14262-78 и разбавленная 1:1, 1:4.
Кислота винная по ГОСТ 5817-77, раствор 500 г/дм.
Аммиак водный по ГОСТ 3760-79.
Аммоний хлористый по ГОСТ 3773-72, насыщенный раствор.
Аммоний надсернокислый по ГОСТ 20478-75, раствор 200 г/дм.
Аммоний роданистый по ГОСТ 19522-74, раствор 50 г/дм.
Натрия гидрат окиси по ГОСТ 4328-77, раствор 50 г/дм.
Диметилглиоксим по ГОСТ 5828-77, этанольный раствор 10 г/дм: 10 г диметилглиоксима растворяют в этиловом спирте в мерной колбе вместимостью 1 дм
, доливают до метки этиловым спиртом и перемешивают; перед употреблением раствор фильтруют.
10 см раствора достаточно для осаждения 0,025 г никеля.
Спирт этиловый по ГОСТ 18300-87 и разбавленный 1:3.
Тиоацетамид, раствор 20 г/дм.
Калий пиросернокислый ПО ГОСТ 7172-76.
Индикатор универсальный, бумага.
(Измененная редакция, Изм. № 1
).
3.3. Проведение анализа
3.3.1. Массу навески стали в зависимости от содержания никеля определяют по табл 2.
Таблица 2*
|
|
|
|
Св. 2,00 " 4,00 | 1 |
" 4,00 " 10,0 | 0,5 |
" 10,0 " 30,0 | 0,2 |
" 30,0 " 45,0 | 0,1 |
___________________
*Табл. 1. (Исключена, Изм. № 1).
3.3.2. Определение никеля в сталях с массовой долей до 0,50% меди и не содержащих кобальт и вольфрам
Навеску стали помещают в стакан вместимостью 400 см и растворяют при нагревании в 25-30 см
соляной кислоты, окисляют 5-7 см
азотной кислоты, добавляя ее по каплям, и выпаривают раствор досуха. К сухому остатку приливают 10 см
соляной кислоты (1:1), выпаривают досуха и выдерживают не менее 1 ч при 130°С.
3.3.2.1. После охлаждения к сухому остатку прибавляют 10 см соляной кислоты (1:1), нагревают до растворения солей, прибавляют 100-150 см
горячей воды, нагревают до кипения и сразу фильтруют через фильтр "белая лента". Фильтр с осадком три раза промывают горячей соляной кислотой (1:10) и затем горячей соляной кислотой (1:1000) до полного удаления ионов железа (контроль проводят по реакции с роданистым аммонием). Полученный основной фильтрат сохраняют для дальнейшего хода анализа.
Фильтр с осадком помещают в платиновый тигель, высушивают, озоляют и сжигают. К осадку в тигле добавляют 2-5 см фтористоводородной кислоты и 0,5 см
серной кислоты (1:1), упаривают до удаления паров серной кислоты, остаток сплавляют с 2-3 г пиросернокислого калия. Плав выщелачивают горячей водой в стакане, добавляют 5 см
соляной кислоты (1:1) и раствор фильтруют через фильтр "белая лента". Осадок промывают 2-3 раза теплой водой. Фильтр отбрасывают, фильтрат присоединяют к основному фильтрату.
3.3.2.2. К объединенному фильтрату прибавляют 40 см раствора винной кислоты и аммиак до рН 8-9 (здесь и далее контроль рН ведут по универсальному индикатору). Раствор разбавляют водой до объема 400 см
, подкисляют соляной кислотой (1:4) до рН 4-6, подогревают до 50°С, прибавляют 25-30 см
раствора диметилглиоксима и при постоянном перемешивании аммиак до рН 8-9. После отстаивания осадка проверяют полноту осаждения никеля добавлением раствора диметилглиоксима. Раствор с осадком оставляют стоять не менее 1 ч при 40-60°С. Затем осадок отфильтровывают на фильтр "белая лента" и промывают горячей водой до полного удаления ионов железа. Осадок на фильтре растворяют горячей соляной кислотой (1:1), фильтр промывают горячей водой. Раствор разбавляют водой до объема 400 см
и повторяют осаждение никеля, добавляя 5-15 см
раствора винной кислоты, 10-25 см
раствора диметилглиоксима и аммиак до рН 8-9. Раствор с осадком оставляют стоять в течение 1 ч при 40-60°С. Осадок отфильтровывают через высушенный при (120±5) °С до постоянной массы и взвешенный стеклянный фильтрующий тигель № 3, промывают теплой водой и 3-4 раза этиловым спиртом (1:3).
Тигель с осадком высушивают в сушильном шкафу лри температуре (120±5) °С до постоянной массы, охлаждают в эксикаторе и взвешивают.
3.3.3. Определение никеля в сталях, содержащих кобальт, с массовой долей меди до 0,50% и не содержащих вольфрам
Навеску стали растворяют в 25-50 см соляной кислоты и до получения объединенного фильтрата определение проводят по п. 3.3.2.
3.3.3.1. К объединенному фильтрату прибавляют 20-25 см насыщенного раствора хлористого аммония, 20-40 см
раствора винной кислоты, аммиак до рН 9-10 и затем добавляют 5 см
аммиака в избыток. К раствору приливают 20 см
раствора надсернокислого аммония, кипятят в течение 10-12 мин, после охлаждения разбавляют водой до объема 400 см
и прибавляют соляную кислоту (1.4) до рН 4-6.
Раствор нагревают до 50°С, приливают 25-50 см раствора диметилглиоксима и при постоянном перемешивании раствор аммиака до рН 8-9. После прекращения выпадения осадка добавляют еще 30-40 см
раствора диметилглиоксима для образования растворимой соли глиоксимата кобальта. Раствор с осадком оставляют стоять при 40-60 °С в течение 1 ч. Осадок отфильтровывают на фильтр "белая лента" и промывают 5-6 раз теплой водой до полного удаления ионов железа. Осадок растворяют на фильтре раствором горячей соляной кислоты (1:1), фильтр промывают 5-7 раз горячей водой, собирая фильтрат в стакан, в котором проводилось осаждение. К раствору приливают 10-20 см
насыщенного раствора хлористого аммония, 5 см
винной кислоты, раствор аммиака до рН 9-10, разбавляют водой до 350-400 см
и приливают соляную кислоту (1:4) до рН 4-6. Раствор нагревают до 50 °С, приливают 25-30 см
раствора диметилглиоксима и при постоянном перемешивании раствор аммиака до рН 8-9. После прекращения выпадения осадка добавляют 10-20 см
раствора диметилглиоксима. Раствор с осадком оставляют стоять при 40-60 °С в течение 1 ч. Осадок отфильтровывают через высушенный при (120±5) °С до постоянной массы и взвешенный стеклянный фильтрующий тигель № 3, промывают теплой водой и 3-4 раза этиловым спиртом (1.3). Тигель с осадком высушивают в сушильном шкафу при (120±5) °С до постоянной массы, охлаждают в эксикаторе и взвеш
ивают.
3.3.4. Определение никеля в сталях, содержащих вольфрам, с массовой долей меди до 0,50% и не содержащих кобальт
Навеску стали помещают в стакан вместимостью 400 см, растворяют при нагревании в 30 см
соляной кислоты и окисляют 5-7 см
азотной кислоты, добавляя ее по каплям.
Раствор с осадком нагревают до 50°С, через 5 мин разбавляют горячей водой до 200-300 см, кипятят и фильтруют через фильтр "синяя лента". Осадок промывают 5-7 раз горячей соляной кислотой (1:10). Фильтрат (основной) сохраняют.
Осадок вольфрамовой кислоты на фильтре растворяют 50 см горячего раствора гидрата окиси натрия и фильтр промывают 5-7 раз горячей водой. Раствор отбрасывают.
Фильтр промывают 5-7 раз горячей соляной кислотой (1:1), присоединяя промывные воды к основному фильтрату. Фильтр отбрасывают.
Полученный раствор выпаривают досуха, остаток смачивают соляной кислотой, выпаривают досуха и выдерживают не менее 1 ч при 130°С, далее анализ проводят как указано в п. 3.3.2.1.
3.3.5. Определение никеля в сталях, с массовой долей меди свыше 0,50% и не содержащих кобальт и вольфрам
Навеску стали помещают в стакан вместимостью 400-500 см и растворяют при нагревании в 30 см
соляной кислоты, окисляют 5-7 см
азотной кислоты, добавляя ее по каплям. К раствору приливают 30 см
серной кислоты (1:4) и выпаривают до паров серной кислоты. Раствор охлаждают, разбавляют водой до объема 150-200 см
, приливают 30-40 см
раствора тиоацетамида и кипятят до полной коагуляции осадка. Через 5-10 мин осадок отфильтровывают на фильтр "белая лента" и промывают 7-8 раз горячей водой. К фильтрату приливают 5 см
надсернокислого аммония, кипятят до разложения тиоацетамида и избытка надсернокислого аммония. Раствор фильтруют через фильтр "белая лента" и далее анализ проводят как указано в п. 3.3.2.2
.
3.3.6. Определение никеля в сталях, содержащих вольфрам, медь и кобальт
Навеску стали помещают в стакан вместимостью 400 см и растворяют при нагревании в 30 см
соляной кислоты, окисляют 5-7 см
азотной кислоты, добавляя ее по каплям. Раствор с осадком нагревают до 50°С, через 5 мин разбавляют горячей водой до 200-300 см
, кипятят и фильтруют через фильтр "синяя лента". Осадок промывают 5-7 раз горячей соляной кислотой (1:10). Фильтрат выпаривают досуха. Остаток смачивают соляной кислотой, выпаривают досуха и выдерживают не менее 1 ч при 130°С. После охлаждения к сухому остатку прибавляют 10 см
соляной кислоты (1:1) и до получения объединенного фильтрата определение проводят по п. 3.3.2. К объединенному фильтрату прибавляют 30 см
серной кислоты (1:4) и выпаривают до появления паров серной кислоты, далее анализ проводят по п. 3.3.5 до разложения тиоацетамида и избытка надсернокислого аммония. Раствор фильтруют через фильтр "белая лента", промывают 4-6 раз горячей водой, прибавляют 20-30 см
соляной кислоты и заканчивают анализ по п. 3.3.3.1
.
3.4. Обработка результатов
Массовую долю никеля в процентах вычисляют по формуле
![]()
где - масса осадка диметилглиоксимата никеля в анализируемой пробе, г;
- масса осадка диметилглиоксимата никеля в контрольном опыте, г;
- масса навески стали, г;
0,2032 - коэффициент пересчета с диметилглиоксимата никеля на никель.
4. АТОМНО-АБСОРБЦИОННЫЙ МЕТОД ОПРЕДЕЛЕНИЯ НИКЕЛЯ
4.1. Сущность метода
Метод основан на измерении поглощения резонансного излучения свободными атомами никеля, образующимися в результате распыления анализируемого раствора в пламени воздух-ацетилен.
4.2. Аппаратура и реактивы
Атомно-абсорбционный пламенный спектрофотометр.
Лампа с полым катодом для определения никеля.
Баллон с ацетиленом.
Компрессор, обеспечивающий подачу сжатого воздуха или баллон со сжатым воздухом.
Кислота соляная по ГОСТ 3118-77 или по ГОСТ 14261-77.
Кислота азотная по ГОСТ 4461-77 или по ГОСТ 11125-84.
Никель металлический по ГОСТ 849-97.
Стандартные растворы никеля.
Раствор А. 0,5 г металлического никеля растворяют в 10 см соляной и 10 см
азотной кислоты. Раствор переносят в мерную колбу вместимостью 1 дм
, охлаждают, доливают до метки водой и перемешивают.
1 см раствора А содержит 0,0005 г никеля.
Раствор Б. 20 см стандартного раствора А помещают в мерную колбу вместимостью 100 см
, доливают до метки водой и перемешивают; готовят в день применения.
1 см раствора Б содержит 0,0001 г никеля.
(Измененная редакция, Изм. № 1)
.
4.3. Подготовка прибора
Подготовку прибора проводят в соответствии с прилагаемой к нему инструкцией.
Настраивают спектрофотометр на резонансную линию 232 нм или 341,5 нм в зависимости от содержания никеля в стали (табл. 3). После включения системы подачи газов и зажигания горелки распыляют воду в пламя и устанавливают нуль прибора.
4.4. Проведение анализа
4.4.1. Массу навески стали в зависимости от содержания никеля определяют по табл. 3.
Таблица 3
|
|
|
|
|
|
Св. 0,50 " 1,0 | 0,1 | 232 |
" 1,0 " 5,0 | 0,2 | 232 |
" 5,0 " 15,0 | 0,1 | 341,5 |
Навеску стали помещают в стакан вместимостью 100-150 см и растворяют при нагревании в 10 см
соляной и 5-7 см
азотной кислот. Раствор выпаривают досуха. Сухой остаток растворяют в 3-5 см
соляной кислоты, переносят в мерную колбу вместимостью 100 см
, доливают до метки водой и перемешивают. Часть раствора фильтруют через сухой фильтр "белая лента" в коническую колбу, отбрасывая первые две порции фильтрата.
При массовой доле никеля в стали свыше 1% аликвотную часть раствора 10 см помещают в мерную колбу вместимостью 100 см
, прибавляют 3-5 см
соляной кислоты, доливают до метки водой и перемешивают.
Допускается другое разбавление растворов таким образом, чтобы окончательная концентрация никеля находилась в интервале, соответствующем прямолинейному участку градуировочного графика.
Распыляют в пламя раствор контрольного опыта, а затем испытуемые растворы в порядке увеличения концентрации никеля до получения стабильных показаний для каждого раствора. Перед введением в пламя каждого анализируемого раствора распыляют воду для промывания системы и проверки нулевой точки.
Из среднего значения абсорбции каждого из испытуемых растворов вычитают среднее значение абсорбции контрольного опыта. Содержание никеля находят по градуировочному график
у.
4.4.2. Построение градуированного графика при массовой доле никеля в стали от 0,10 до 5,0%
В шесть мерных колб вместимостью 100 см приливают по 3-5 см
соляной кислоты. В пять колб приливают последовательно 2,0; 4,0; 6,0; 8,0 и 10,0 см
стандартного раствора Б никеля. Шестую колбу используют для проведения контрольного опыта. Растворы доливают до метки водой, перемешивают и измеряют интенсивность поглощения при длине волны 232 нм. Растворы распыляют в пламя в порядке увеличения концентрации никеля, начиная с контрольного опыта. Перед введением в пламя каждого анализируемого раствора распыляют воду.
Из среднего значения абсорбции каждого анализируемого раствора вычитают среднее значение абсорбции контрольного опыта. По найденным значениям абсорбции растворов и соответствующим массам никеля строят градуировочный график.
4.4.3. Построение градуировочного графика при массовой доле никеля в стали от 5,0 до 15,0%
В шесть мерных колб вместимостью 100 см приливают по 3-5 см
соляной кислоты. В пять колб последовательно приливают 1,0; 1,5; 2,0; 2,5 и 3,0 см
стандартного раствора А никеля. Шестую колбу используют для проведения контрольного опыта. Растворы доливают до метки водой, перемешивают и измеряют интенсивность поглощения при длине волны 341,5 нм. Растворы распыляют в пламя в порядке увеличения концентрации никеля, начиная с контрольного опыта. Перед введением в пламя каждого анализируемого раствора распыляют воду.
Из среднего значения абсорбции каждого анализируемого раствора вычитают среднее значение абсорбции контрольного опыта. По найденным значениям абсорбции растворов и соответствующим массам никеля строят градуировочный график.
4.4.2, 4.4.3. (Измененная редакция, Изм. № 1).
4.5. Обработка результатов
4.5.1. Массовую долю никеля в процентах вычисляют по формуле
![]()
где - масса никеля в анализируемом растворе, найденная по градуировочному графику, г;
- масса навески стали, соответствующая аликвотной части раствора, г.
(Измененная редакция, Изм. № 1).
4.5.2. Абсолютные допускаемые расхождения результатов параллельных определений при доверительной вероятности = 0,95 не должны превышать значений, указанных в табл. 4.
Таблица 4
|
|
|
|
Св. 0,02 " 0,05 | 0,008 |
" 0,05 " 0,10 | 0,01 |
" 0,10 " 0,20 | 0,02 |
" 0,20 " 0,50 | 0,03 |
" 0,50 " 1,00 | 0,05 |
От 1.00 до 2,00 | 0,06 |
" 2,00 " 4,00 | 0,08 |
" 4,00 " 8,00 | 0,12 |
" 8,00 " 15,00 | 0,16 |
" 15,00 " 25,00 | 0,20 |
" 25,00 " 45,00 | 0,25 |
Текст документа сверен по:
официальное издание
М.: ИПК Издательство стандартов, 1999
Разместите заказ
сами сделают вам предложение
