ГОСТы сталей. ГОСТ 12350-78
ГОСТ 12350-78
(СТ СЭВ 961-78)
Группа В39
ГОСУДАРСТВЕННЫЙ СТАНДАРТ СОЮЗА ССР
СТАЛИ ЛЕГИРОВАННЫЕ И ВЫСОКОЛЕГИРОВАННЫЕ
Методы определения хрома
Alloyed and high-alloyed steels.
Methods of chromium determination
ОКСТУ 0809
Дата введения 1980-01-01
ВВЕДЕН В ДЕЙСТВИЕ постановлением Государственного комитета СССР по стандартам от 23 ноября 1978 г. N 3081
Проверен в 1984 г. постановлением Госстандарта от 15.08.84 N 2877 срок действия продлен до 01.01.95*
_______________
* Ограничение срока действия снято постановлением Госстандарта СССР N 1211 от 05.07.91 (ИУС N 10 1991 г.). - Примечание "КОДЕКС".
ВЗАМЕН ГОСТ 12350-66, кроме общих указаний
ПЕРЕИЗДАНИЕ июль с Изменениями 1, 2, утвержденными в декабре 1980 г., августе 1984 г. (ИУС 3-81; 11-84)
ВНЕСЕНО Изменение N 3, утвержденное постановлением Комитета стандартизации и метрологии СССР от 05.07.91 N 1211, введенное в действие с 01.03.92 и опубликованное в ИУС N 10, 1991 г.
Изменение N 3 внесено юридическим бюро "Кодекс" по тексту ИУС N 10, 1991 г.
Настоящий стандарт устанавливает фотометрический метод определения хрома (при массовых долях от 0,01 до 0,50%), титриметрический метод определения хрома (при массовых долях от 0,20 до 35,0%).
Стандарт полностью соответствует СТ СЭВ 961-78.
(Измененная редакция, Изм. N 1).
1. ОБЩИЕ ТРЕБОВАНИЯ
1. ОБЩИЕ ТРЕБОВАНИЯ
1.1. Общие требования к методам анализа - по ГОСТ 28473-90.
(Измененная редакция, Изм. N 3).
2. ФОТОМЕТРИЧЕСКИЙ МЕТОД ОПРЕДЕЛЕНИЯ ХРОМА (0,01-0,50%)
2.1. Сущность метода
Метод основан на окислении дифенилкарбазида хромом (VI) в сернокислой среде до окрашенного в красно-фиолетовый цвет соединения и измерении оптической плотности окрашенного раствора при длине волны 546 нм.
Железо, никель, марганец и другие элементы, мешающие анализу, отделяют осаждением углекислым натрием.
2.2. Аппаратура и реактивы
Фотоэлектроколориметр и спектрофотометр.
Кислота соляная по ГОСТ 3118-77 или по ГОСТ 14261-77.
Кислота азотная по ГОСТ 4461-77 или по ГОСТ 11125-84.
Кислота серная по ГОСТ 4204-77 или по ГОСТ 14265-79 и разбавленная 1:1, 1:4.
Кислота уксусная по ГОСТ 61-75.
Калий марганцовокислый по ГОСТ 20490-75, 1%-ный раствор.
Натрий углекислый безводный по ГОСТ 83-79, 20%-ный раствор.
Дифенилкарбазид, 0,1%-ный свежеприготовленный раствор, 0,1 г дифенилкарбазида растворяют в 10 см уксусной кислоты, приливают 90 см
воды и перемешивают.
Калий двухромовокислый по ГОСТ 4220-75, стандартные растворы А и Б.
Приготовление раствора А. 0,2829 г свежеперекристаллизованного и высушенного при 170-180 °С до постоянной массы двухромовокислого калия растворяют в 200 см воды. Раствор переносят в мерную колбу вместимостью 1 дм
, доливают водой до метки и перемешивают.
1 см раствора содержит 0,0001 г хрома.
Приготовление раствора Б. 200 см раствора А помещают в мерную колбу вместимостью 1 дм
, доливают водой до метки и перемешивают.
1 см раствора содержит 0,00002 г хрома.
(Измененная редакция, Изм. N 3).
2.3. Проведение анализа
Навеску стали 0,2 г при массовой доле хрома от 0,01 до 0,3% и 0,1 г при массовой доле хрома свыше 0,3 до 0,5% помещают в коническую колбу вместимостью 100 см, приливают 10 см
соляной кислоты и умеренно нагревают до растворения. Затем приливают по каплям азотную кислоту до прекращения вспенивания раствора и избыток 2-3 см
. Раствор кипятят до удаления окислов азота, охлаждают, осторожно приливают 5 см
серной кислоты 1:1 и выпаривают до появления ее паров. По охлаждении приливают 25-30 см
воды и нагревают до растворения солей. В горячий раствор приливают 2 см
раствора марганцовокислого калия, кипятят до полного выпадания осадка двуокиси марганца и разбавляют водой до 40-50 см
. Затем осторожно, небольшими порциями при перемешивании, приливают 30 см
раствора углекислого натрия. Раствор с осадком нагревают до коагуляции осадка, охлаждают, переносят в мерную колбу вместимостью 250 см
, доливают водой до метки и перемешивают.
Раствор отфильтровывают через два сухих фильтра "белая лента" в колбу, первые порции фильтрата отбрасывают.
Аликвотную часть раствора 50 см при массовой доле хрома от 0,01 до 0,05% или 10 см
при массовой доле хрома свыше 0,05 до 0,5% помещают в мерную колбу вместимостью 100 см
и приливают 3 см
серной кислоты 1:4. Раствор перемешивают, приливают 5 см
раствора дифенилкарбазида, доливают водой до метки и перемешивают. Если в стали содержится ванадий, растворы после прибавления раствора дифенилкарбазида выдерживают в течение 15 мин.
Через 5 мин измеряют оптическую плотность раствора на спектрофотометре при 546 нм или на фотоэлектроколориметре со светофильтром, имеющим максимум пропускания в интервале длин волн 530-550 нм в кювете с толщиной поглощающего слоя 50 мм, используя в качестве раствора сравнения воду.
Из значений оптической плотности анализируемых растворов вычитают значение оптической плотности раствора контрольного опыта. Содержание хрома определяют по градуировочному графику.
Построение градуировочного графика.
В шесть мерных колб вместимостью 250 см приливают последовательно 2,0; 4,0; 6,0; 8,0; 10,0 и 12,0 см
стандартного раствора Б, содержащих 0,04; 0,08; 0,12; 0,16; 0,20 и 0,24 мг хрома. Раствор в каждой колбе доливают водой до метки и перемешивают.
Из каждой мерной колбы отбирают три аликвотные части раствора по 25 см и помещают в мерные колбы вместимостью 100 см
. В каждую колбу приливают 3 см
серной кислоты 1:4, 5 см
0,1%-ного раствора дифенилкарбазида, перемешивают, доливают водой до метки и вновь перемешивают. Через 5 мин оптическую плотность раствора измеряют на спектрофотометре при
546 нм или на фотоэлектроколориметре со светофильтром, имеющим максимум пропускания в интервале длин волн 530-550 нм в кювете с толщиной поглощающего слоя 50 мм.
Для приготовления раствора сравнения в мерную колбу вместимостью 100 см приливают 25-30 см
воды, 3 см
серной кислоты 1:4 и 5 см
0,1%-ного раствора дифенилкарбазида, перемешивая раствор после прибавления каждого реактива. Раствор доливают водой до метки и перемешивают.
По найденным величинам оптической плотности и соответствующим им массам хрома строят градуировочный график.
(Измененная редакция, Изм. N 1, 2, 3).
2.4. Обработка результатов
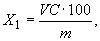
2.4.1. Массовую долю хрома в процентах вычисляют по формуле
![]()
где - масса навески стали, соответствующая аликвотной части раствора, мг;
- масса хрома, найденная по градуировочному графику, мг.
(Измененная редакция, Изм. N 2).
2.4.2. Нормы точности и нормативы контроля точности определения массовой доли хрома указаны в таблице.
| Нормы точности и | ||||||||
|
|
|
|
| |||||
От | 0,010 | до | 0,025 | включ. | 0,004 | 0,004 | 0,005 | 0,005 | 0,003 |
Св. | 0,025 | " | 0,05 | " | 0,006 | 0,007 | 0,008 | 0,008 | 0,004 |
" | 0,05 | " | 0,12 | " | 0,008 | 0,008 | 0,010 | 0,010 | 0,005 |
" | 0,12 | " | 0,25 | " | 0,016 | 0,016 | 0,020 | 0,020 | 0,010 |
" | 0,25 | " | 0,50 | " | 0,024 | 0,025 | 0,030 | 0,030 | 0,015 |
" | 0,50 | " | 1,0 | " | 0,03 | 0,03 | 0,04 | 0,04 | 0,02 |
" | 1,0 | " | 2,0 | " | 0,04 | 0,04 | 0,05 | 0,05 | 0,03 |
" | 2,0 | " | 5,0 | " | 0,06 | 0,07 | 0,08 | 0,08 | 0,04 |
" | 5,0 | " | 10,0 | " | 0,10 | 0,10 | 0,12 | 0,12 | 0,06 |
" | 10,0 | " | 20,0 | " | 0,16 | 0,16 | 0,20 | 0,20 | 0,10 |
" | 20,0 | " | 35,0 | " | 0,20 | 0,20 | 0,25 | 0,25 | 0,13 |
(Измененная редакция, Изм. N 3).
3. ТИТРИМЕТРИЧЕСКИЙ МЕТОД ОПРЕДЕЛЕНИЯ ХРОМА (0,20-35,0%)
3.1. Сущность метода
Хром (III) окисляют надсернокислым аммонием до хрома (VI) в кислой среде в присутствии азотнокислого серебра. Хромовую кислоту титруют раствором соли железа (II) и устанавливают конечную точку потенциометрически или визуально методом обратного титрования. В последнем случае избыток железа (II) оттитровывают раствором марганцовокислого калия.
Присутствующий в растворе ванадий после окисления титруют потенциометрически раствором соли железа (II) и учитывают при расчете массовой доли хрома.
(Измененная редакция, Изм. N 1).
3.2. Аппаратура и реактивы
Установка для потенциометрического титрования:
пара электродов: индикаторный платиновый электрод и электрод сравнения - каломельный, хлорсеребряный или вольфрамовый;
магнитная мешалка;
милливольтметр постоянного тока или рН-метр, позволяющие четко фиксировать скачок потенциала в конечной точке при титровании с выбранной парой электродов. При необходимости к прибору последовательно подключают переменное сопротивление, которое позволяет производить измерения в пределах шкалы прибора.
Кислота соляная по ГОСТ 3118-77 или по ГОСТ 14261-77.
Кислота азотная по ГОСТ 4461-77 или по ГОСТ 11125-84.
Кислота серная по ГОСТ 4204-77 или по ГОСТ 14265-79 и разбавленная 1:1, 1:4, 1:20.
Кислота ортофосфорная по ГОСТ 6552-80.
Смесь кислот: к 720 см воды осторожно, при непрерывном перемешивании, приливают 200 см
серной кислоты, охлаждают, приливают 80 см
ортофосфорной кислоты и перемешивают.
Кислота фтористоводородная (плавиковая) по ГОСТ 10484-78.
Калий пиросернокислый по ГОСТ 7172-76.
Серебро азотнокислое по ГОСТ 1277-75, 0,2%-ный раствор.
Аммоний надсернокислый (персульфат аммония) по ГОСТ 20478-75, 25%-ный раствор, свежеприготовленный.
Марганец сернокислый по ГОСТ 435-77, 0,5%-ный раствор.
Натрий хлористый по ГОСТ 4233-77, 5%-ный раствор.
Карбамид по ГОСТ 6691-77, 10%-ный раствор, свежеприготовленный.
Калий марганцовокислый по ГОСТ 20490-75, 2%-ный раствор.
Натрий азотистокислый по ГОСТ 4197-74, раствор 20 г/дм, свежеприготовленный.
Натрий щавелевокислый по ГОСТ 5839-77, перекристаллизованный и высушенный при 105-110 °С до постоянной массы.
Калий двухромовокислый по ГОСТ 4220-75, перекристаллизованный и высушенный при 180-200 °С до постоянной массы.
Двойная сернокислая соль закиси железа и аммония (соль Мора) по ГОСТ 4208-72, 0,1 молярной концентрации эквивалента моль/дм, стандартный раствор. 40 г соли Мора растворяют в 200 см
серной кислоты 1:20, раствор переносят в мерную колбу вместимостью 1 дм
, доливают до метки серной кислотой 1:20 и перемешивают.
0,05 молярную концентрацию эквивалента моль/дм стандартный раствор: 500 см
0,1 молярную концентрацию эквивалента моль/дм
стандартного раствора соли Мора переносят в мерную колбу вместимостью 1 дм
, доливают до метки серной кислотой 1:20 и перемешивают.
Массовую концентрацию 0,1 молярную концентрацию эквивалента моль/дм раствора соли Мора устанавливают по двухромовокислому калию, 0,1000-0,2000 г двухромовокислого калия помещают в стакан вместимостью 500 см
, растворяют в 200 см
воды, приливают 40 см
серной кислоты 1:4 и перемешивают. В стакан с раствором погружают электроды, включают мешалку и быстро приливают раствор соли Мора до получения слабо-желтой окраски. Затем раствор соли Мора прибавляют медленно по каплям, записывая объем раствора в бюретке и показания прибора после прибавления каждой капли раствора. Объем раствора в бюретке, соответствующий максимальному изменению показаний прибора принимают за объем, пошедший на титрование.
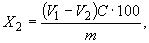
Массовую концентрацию раствора соли Мора , выраженную в граммах хрома, вычисляют по формуле
![]()
где - масса навески двухромовокислого калия, г;
0,3535 - коэффициент пересчета двухромовокислого калия на хром;- объем раствора соли Мора, израсходованный на титрование, см
.
Калий марганцовокислый 0,1 молярной концентрации эквивалента моль/дм, стандартный раствор. 31,6 г марганцовокислого калия растворяют в воде, раствор переносят в бутыль из темного стекла вместимостью 10 дм
, доливают водой до объема 10 дм
, перемешивают и оставляют на 7-10 дней. Отстоявшийся раствор переливают, пользуясь стеклянным сифоном, не доходящим до дна бутыли на 10-15 мм, в другую бутыль из темного стекла.
0,05 молярной концентрации эквивалента моль/дм, стандартный раствор. 15,8 г марганцовокислого калия растворяют в воде и далее поступают, как при приготовлении 0,1 молярную концентрацию эквивалента моль/дм
стандартного раствора.
Устанавливают соотношение между растворами марганцовокислого калия и соли Мора. Для этого в коническую колбу вместимостью 250 см приливают из бюретки 25 см
раствора соли Мора, 100-120 мл серной кислоты 1:20 и титруют 0,1 молярной концентрации эквивалента моль/дм
раствора марганцовокислого калия до появления слабо-розовой окраски, устойчивой в течение 1 мин.
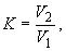
Соотношение между растворами марганцовокислого калия и солью Мора вычисляют по формуле
![]()
где - объем раствора соли Мора, взятый для титрования, мл;
- объем раствора марганцовокислого калия, израсходованный на титрование, см
.
Массовую концентрацию раствора марганцовокислого калия устанавливают по щавелевокислому натрию. В коническую колбу вместимостью 500 см помещают 200 см
серной кислоты 1:20, нагревают до 70-75 °С и прибавляют по каплям раствор марганцовокислого калия до устойчивой розовой окраски. К содержимому колбы прибавляют 0,2000 г щавелевокислого натрия и после растворения навески титруют при перемешивании раствором марганцовокислого калия до устойчивой в течение 1 мин розовой окраски. К концу титрования температура раствора должна быть не ниже 60 °С.
Массовую концентрацию 0,1 молярную концентрацию эквивалента моль/дм раствора марганцовокислого калия
, выраженную в граммах хрома, вычисляют по формуле, выраженную в граммах хрома, вычисляют по формуле
![]()
где 0,2 - масса навески щавелевокислого натрия, г;
0,2588 - коэффициент пересчета щавелевокислого натрия на хром;
- объем раствора марганцовокислого калия, израсходованный на титрование, см
.
(Измененная редакция, Изм. N 2, 3).
3.3. Проведение анализа
3.3.1. Подготовка раствора к титрованию
Навеску стали
1 г при | массовой | доле | хрома | от | 0,2 | до | 2%, | |||
0,5 г | " | " | " | " | 2 | " | 5%, | |||
0,25 г | " | " | " | " | 5 | " | 10%, | |||
0,2 г | " | " | " | " | 10 | " | 35% | |||
помещают в коническую колбу или стакан вместимостью 500-600 см, приливают 50-70 см
смеси серной и фосфорной кислот, нагревают до разложения навески. Приливают 3-5 см
азотной кислоты и выпаривают раствор до появления паров серной кислоты.
Если сталь не растворяется в смеси серной и фосфорной кислот, навеску растворяют в 20-30 см соляной кислоты, затем прибавляют 3-5 см
азотной кислоты и продолжают нагревать до удаления окислов азота. К раствору приливают 50-70 см
смеси серной и фосфорной кислот (при содержании в стали свыше 5% вольфрама, приливают еще 5-10 см
ортофосфорной кислоты) и выпаривают его до появления паров серной кислоты.
Стенки стакана обмывают водой и раствор вновь выпаривают до паров серной кислоты. Содержимое колбы охлаждают, приливают 100 см воды и нагревают до растворения солей.
При анализе сталей, содержащих большое количество карбидов, нерастворимый остаток фильтруют на фильтр "белая лента", содержащий небольшое количество фильтробумажной массы. Фильтрат собирают в колбу вместимостью 500 см. Осадок на фильтре промывают 5-6 раз горячей водой, собирая промывную жидкость в ту же колбу.
Фильтр с осадком помещают в платиновый тигель, высушивают и озоляют. Осадок прокаливают при 900-950 °С и охлаждают.
Осадок в тигле смачивают 2-3 каплями воды, прибавляют 2-3 капли серной кислоты и 3-4 мл фтористоводородной кислоты. Содержимое тигля осторожно выпаривают досуха и прокаливают при 550-600 °С. Остаток в тигле сплавляют с 2-3 г пиросернокислого калия. Тигель охлаждают, помещают в стакан вместимостью 300 см и плав выщелачивают при нагревании в 30-40 см
воды. Полученный раствор присоединяют к основному фильтрату.
При анализе сталей с массовой долей марганца, менее 0,1% к раствору прибавляют 1 мл 0,5%-ного раствора сернокислого марганца.
Раствор разбавляют водой до 250 см, приливают 10-15 см
0,2%-ного раствора азотнокислого серебра, 30-40 см
25%-ного раствора надсернокислого аммония и нагревают до появления малиновой окраски. Затем раствор кипятят до полного разрушения избытка надсернокислого аммония, приливают 10 см
5%-ного раствора хлористого натрия и осторожно кипятят до исчезновения малиновой окраски. Раствор охлаждают до комнатной температуры, перемешивают и титруют (см. пп.3.3.2 и 3.3.3).
(Измененная редакция, Изм. N 1, 2).
3.3.2. Потенциометрическое титрование
В стакан с испытуемым раствором погружают электроды, включают мешалку, раствор перемешивают и быстро приливают 0,1 молярную концентрацию эквивалента моль/дм раствора соли Мора до получения слабо-желтой окраски. Затем раствор соли Мора прибавляют медленно по каплям, записывая объем раствора в бюретке и показания прибора после прибавления каждой капли. Объем раствора в бюретке, соответствующий максимальному изменению показаний прибора, принимают за объем, пошедший на титрование.
В присутствии ванадия вначале оттитровывают суммарное содержание хрома и ванадия, затем прибавляют по каплям 2%-ный раствор марганцовокислого калия до появления розовой окраски, устойчивой в течение 2 мин. Избыток марганцовокислого калия восстанавливают 1-2 каплями 2%-ного раствора азотистокислого натрия до исчезновения розовой окраски, прибавляют 20 см 10%-ного раствора карбамида, 25 см
серной кислоты 1:1 (при этом стрелка милливольтметра возвращается в исходное положение) и титруют раствором соли Мора, прибавляя его по каплям, как указано выше. Разность в объемах раствора в бюретке между первым и вторым титрованием принимают за объем, пошедший на титрование хрома.
При массовой доле хрома в стали менее 2% для титрования применяют 0,05 молярную концентрацию эквивалента моль/дм раствора соли Мора.
(Измененная редакция, Изм. N 1, 3).
3.3.3. Визуальное титрование
В колбу с испытуемым раствором приливают из бюретки 0,1 молярную концентрацию эквивалента моль/дм раствора соли Мора до перехода окраски из желто-оранжевой в зеленую и избыток 7-10 см
. Ионы железа (II) оттитровывают 0,1 молярную концентрацию эквивалента моль/дм
раствором марганцовокислого калия до появления розовой окраски, устойчивой в течение 2 мин.
При массовой доле хрома в стали менее 2% для титрования применяют 0,05 молярную концентрацию эквивалента моль/дм раствов соли Мора и марганцовокислого калия.
3.4. Обработка результатов
3.4.1. При потенциометрическом титровании массовую долю хрома в процентах в сталях, не содержащих ванадий, вычисляют по формуле
![]()
где - объем раствора соли Мора, пошедший на титрование хрома, см
;
- массовая концентрация раствора соли Мора, выраженная в граммах хрома;
- масса навески, г.
Массовую долю хрома в процентах в сталях, содержащих ванадий, вычисляют по формуле
![]()
где - объем раствора соли Мора, пошедший на титрование хрома и ванадия, см
;
- объем раствора соли Мора, пошедший на титрование ванадия, см
;
- массовая концентрация раствора соли Мора, выраженная в граммах хрома;
- масса навески, г.
3.4.2. Нормы точности и нормативы контроля точности определения массовой доли хрома указаны в таблице.
(Измененная редакция, Изм. N 3).
Текст документа сверен по:
официальное издание
Стали легированные и высоколегированные.
Методы химического анализа: Сб. ГОСТов. -
М.: Издательство стандартов, 1987 год
Юридическим бюро "Кодекс" в
текст документа внесено Изменение N 3,
утвержденное постановлением Комитета
стандартизации и метрологии
СССР от 05.07.91 N 1211
Разместите заказ
сами сделают вам предложение
