ГОСТы сталей. ГОСТ 12349-83
ГОСТ 12349-83
(СТ СЭВ 1507-79)
Группа В39
ГОСУДАРСТВЕННЫЙ СТАНДАРТ СОЮЗА ССР
СТАЛИ ЛЕГИРОВАННЫЕ И ВЫСОКОЛЕГИРОВАННЫЕ
Методы определения вольфрама
Alloyed and high-alloyed steels.
Methods for determination of tungsten
ОКСТУ 0809
Дата введения 1983-06-01
УТВЕРЖДЕН И ВВЕДЕН В ДЕЙСТВИЕ постановлением комитета СССР по стандартам от 19 января 1983 г. N 240
Срок действия продлен постановлением Госстандарта от 14.09.87 N 3513 до 01.01.98 г.*
____________________
* Ограничение срока действия снято по протоколу N 7-95 Межгосударственного Совета по стандартизации, метрологии и сертификации (ИУС N 11, 1995 год). - Примечание изготовителя базы данных.
ВЗАМЕН ГОСТ 12349-66*
____________________
* Вероятно ошибка оригинала. Следует читать: ВЗАМЕН ГОСТ 12349-66, кроме части общих указаний. - Примечание изготовителя базы данных.
ПЕРЕИЗДАНИЕ (декабрь 1988 г.) с Изменением N 1, утвержденным в сентябре 1987 г. (ИУС 12-87).
Настоящий стандарт устанавливает методы определения вольфрама в легированных и высоколегированных сталях:
экстракционно-фотометрический - при массовой доле вольфрама от 0,002 до 0,5%; фотометрический - при массовой доле вольфрама от 0,1 до 6,0%; фотометрический на фоне сопутствующих элементов - при массовой доле вольфрама от 0,3 до 18,0%;
гравиметрический - при массовой доле вольфрама от 3 до 20%.
Стандарт соответствует СТ СЭВ 1507-79 в части фотометрического метода при массовой доле вольфрама от 0,1 до 3% и гравиметрического метода.
1. ОБЩИЕ ТРЕБОВАНИЯ
1. ОБЩИЕ ТРЕБОВАНИЯ
1.1. Общие требования к методам анализа - по ГОСТ 20560-81 со следующим дополнением.
Весы лабораторные общего назначения по ГОСТ 24104-80 второго класса точности с наибольшим пределом взвешивания до 200 г или другие любые весы, отвечающие указанному ГОСТ 24104-80 по своим точностным характеристикам.
(Измененная редакция, Изм. N 1).
2. ЭКСТРАКЦИОННО-ФОТОМЕТРИЧЕСКИЙ МЕТОД (ПРИ МАССОВОЙ ДОЛЕ ВОЛЬФРАМА ОТ 0,002 ДО 0,5%)
2.1. Сущность метода
Экстракционно-фотометрический метод основан на образовании ионного ассоциата роданидного комплекса вольфрама (V) с триметилцетиламмонием (или с цетилпиридинием), экстракции его хлороформом и последующем измерении оптической плотности экстракта при длине волны 400 нм.
Масса вольфрама составляет 10-100 мкг в 25 см экстракта. Оптимальная кислотность водной фазы 8 моль/дм
по соляной кислоте.
Влияние железа и молибдена устраняется введением в раствор восстановителей: треххлористого титана и двухлористого олова;
влияние ниобия - промыванием экстракта бифторидом калия.
2.2. Aппapатура, реактивы и растворы
Спектрофотометр или фотоэлектроколориметр со всеми принадлежностями.
Кислота серная по ГОСТ 4204-77, разбавленная 1:1.
Кислота соляная по ГОСТ 3118-77, разбавленная 1:1 и 2:1.
Кислота азотная по ГОСТ 4461-77.
Кислота ортофосфорная по ГОСТ 6552-80.
Олово двухлористое 2-водное по ТУ 6-09-5384-88*, раствор с массовой концентрацией 100 г/дм. 10 г двухлористого олова растворяют в 100 см
соляной кислоты при слабом нагревании.
________________
* Документ в информационных продуктах не содержится. За информацией о документе Вы можете обратиться в Службу поддержки пользователей. - Примечание изготовителя базы данных.
Титан треххлористый (раствор) по ГОСТ 311-78: 5 см раствора титана треххлористого смешивают с 45 см
соляной кислоты, разбавленной 2:1, прибавляют 2 гранулы металлического цинка до просветления фиолетового окрашивания раствора.
Или приготовленный раствор титана треххлористого: 0,5 г металлического титана по ГОСТ 19807-74 растворяют в 20 см соляной кислоты. Раствор охлаждают и сохраняют в склянке из темного стекла с притертой пробкой. Перед употреблением раствор разбавляют в отношении 1:5 соляной кислотой и добавляют 2 гранулы металлического цинка до просветления фиолетового окрашивания раствора.
Цинк гранулированный.
Натрия гидроокись по ГОСТ 4328-77, раствор с массовой концентрацией 440 г/дм.
Ниобий металлический по ГОСТ 16099-80 или ГОСТ 16100-79.
Раствор ниобия с массовой концентрацией 0,001 г/см: 0,25 г ниобия сплавляют с 2-3 г калия углекислого - натрия углекислого при 1000°С. Тигель с плавом помещают в стакан, плав выщелачивают в воде при нагревании. Раствор фильтруют в мерную колбу вместимостью 250 см
, доводят до метки водой и перемешивают.
Натрий вольфрамовокислый по ГОСТ 18289-78.
Стандартные растворы вольфрама
Раствор А: 1,7942 г вольфрамовокислого натрия растворяют в 50 см воды, прибавляют 50 см
раствора гидроокиси натрия с массовой концентрацией 440 г/дм
, переливают в мерную колбу вместимостью 1 дм
, доливают до метки водой и перемешивают.
Массовая концентрация вольфрама в растворе А равна 0,001 г/см. Раствор хранят в посуде из полиэтилена. Массовую концентрацию вольфрама в растворе А проверяют по п. 4.
Раствор Б: 10 см раствора А помещают в мерную колбу вместимостью 100 см
, доливают до метки водой и перемешивают.
Массовая концентрация вольфрама в растворе Б равна 0,0001 г/см.
Раствор В: 10 см раствора Б помещают в мерную колбу вместимостью 100 см
, доливают до метки водой и перемешивают.
Массовая концентрация вольфрама в растворе В равна 0,00001 г/см.
Растворы Б и В готовят перед употреблением и хранят в полиэтиленовой посуде.
Хлороформ технический по ГОСТ 20015-74.
Триметилцетиламмоний бромистый с молярной концентрацией раствора 0,01 моль/дм: 0,369 г триметилцетиламмония растворяют в 100 см
воды при слабом нагревании или N-цетилпиридиний хлористый с молярной концентрацией раствора 0,01 моль/дм
: 0,339 г цетилпиридиния растворяют в 100 см
воды без нагревания.
Гидрохинон (парадиоксибензол) по ГОСТ 19627-74, раствор в хлороформе с массовой концентрацией 0,65 г/дм: 0,65 г гидрохинона растворяют при перемешивании в 80 см
этилового спирта, прибавляют 920 см
хлороформа и перемешивают.
Спирт этиловый ректификованный по ГОСТ 5962-67.
Калий фтористый кислый (бифторид).
Железо карбонильное радиотехническое марки ПС по ГОСТ 13610-79.
Калий роданистый по ГОСТ 4139-75, раствор с массовой концентрацией 200 г/дм.
Калий углекислый - натрий углекислый по ГОСТ 4332-76.
2.3. Проведение анализа
2.3.1. Дробную навеску стали (табл. 1) помещают в коническую колбу или стакан вместимостью 250 см, прибавляют 20 см
соляной кислоты, 1 см
азотной кислоты и нагревают до полного растворения навески. Прибавляют 10 см
разбавленной серной кислоты, 5 см
ортофосфорной кислоты и дважды выпаривают до паров серной кислоты, охлаждают, соли растворяют в 15-20 см
воды.
В случае определения содержания вольфрама в диапазоне массовых долей от 0,01 до 0.5% (табл. 1), раствор переносят в мерную колбу вместимостью 100 см, разбавляют до метки водой и перемешивают. Раствор фильтруют через сухой фильтр средней плотности.
Таблица 1
Массовая доля вольфрама, % | Масса навески, г | Аликвотная часть раствора, см |
0,002-0,005 | 1 | Вся навеска |
0,005-0,010 | 0,5 | Вся навеска |
0,01-0,05 | 1 | 10 |
0,05-0,1 | 0,5 | 10 |
0,1-0,2 | 0,5 | 5 |
0,2-0,5 | 0,3 | 5 |
Аликвотную часть раствора (табл. 1) помещают в стакан вместимостью 100 или 250 см и разбавляют водой приблизительно до 20 см
.
Затем в раствор аликвотной части или в весь раствор пробы добавляют 12 см соляной кислоты (для получения кислотности по соляной кислоте 8 моль/дм
), 15 см
раствора двухлористого олова и 10 см
раствора треххлористого титана. Раствор кипятят в течение 5 мин, охлаждают и переносят в делительную воронку вместимостью 100-200 см
, смывая стенки стакана 10 см
разбавленной соляной кислоты (1:1). К раствору в делительной воронке прибавляют 1см
раствора триметилцетиламмония бромистого (или цетилпиридиния хлористого) и 2 см
раствора роданистого калия.
Экстрагируют ионный ассоциат в течение 1 мин, прибавляя 25,0 см хлороформа, содержащего гидрохинон. Экстракт фильтруют через слой ваты в кювету и измеряют оптическую плотность экстракта на спектрофотометре при длине волны 400 нм или фотоэлектроколориметре в области светопропускания от 390 до 420 нм, используя в качестве раствора сравнения хлороформ, содержащий гидрохинон.
Если образец стали содержит ниобий, экстракт сливают в полиэтиленовый сосуд, прибавляют 1 г бифторида калия и встряхивают в течение 30 с. Экстракт фильтруют через вату и измеряют оптическую плотность, как указано выше.
Одновременно с проведением анализа, в тех же условиях, проводят контрольный опыт на загрязнение реактивов.
В зависимости от массовой доли вольфрама отбирают равные аликвотные части анализируемой пробы и контрольного опыта, указанные в табл. 1.
Значение оптической плотности контрольного опыта вычитают из значения оптической плотности анализируемого раствора.
Массу вольфрама находят по градуировочному гра
фику.
2.3.2. Для построения градуировочного графика в стаканы вместимостью 250 см помещают навеску карбонильного железа 0,5 г и прибавляют 1,0; 2,0; 5,0; 8,0 см
раствора В вольфрама при массовой доле менее 0,01% или 1,0; 3,0; 5,0; 7,0; 10,0 см
раствора Б вольфрама при массовой доле 0,01-0,5%, приливают раствор ниобия, если он присутствует в пробе в количестве, соответствующем его массе в навесках проб, и далее поступают, как описано в п. 2.3.1. Аликвотная часть раствора при построении градуировочного графика 10 см
.
В качестве раствора сравнения применяют хлороформ, содержащий гидрохинон.
Градуировочный график строят по найденным значениям оптических плотностей и соответствующим им массам вольфрама.
2.4. Обработка результатов
2.4.1. Массовую долю вольфрама () в процентах вычисляют по формуле
,
где - масса вольфрама, найденная по градуировочному графику, г;
- масса навески, соответствующая аликвотной части раствора, г.
2.4.2. Абсолютные расхождения результатов параллельных определений не должны превышать допускаемых значений, указанных в табл. 2.
Таблица 2
Массовая доля вольфрама, % | Абсолютное допускаемое расхождение, % |
От 0,002 до 0,005 | 0,002 |
Св. 0,005 " 0,010 | 0,003 |
" 0,010 " 0,020 | 0,006 |
" 0,020 " 0,050 | 0,010 |
" 0,05 " 0,10 | 0,015 |
" 0,10 " 0,20 | 0,020 |
" 0,20 " 0,50 | 0,030 |
Разд.2. (Измененная редакция, Изм. N 1).
3. ФОТОМЕТРИЧЕСКИЙ МЕТОД (при массовой доле вольфрама от 0,1 до 6,0%)
3.1. Сущность метода
Метод основан на образовании в солянокислой среде окрашенного в зеленовато-желтый цвет комплексного соединения пятивалентного вольфрама с роданистым аммонием в присутствии восстановителя треххлористого титана и измерении оптической плотности раствора на спектрофотометре при длине волны 400 нм или фотоэлектроколориметре в области светопропускания от 390 до 420 нм. Железо, хром и никель предварительно отделяют гидроксидом натрия.
Метод применим для сталей, содержащих молибден и ванадий не более 10-кратных количеств по отношению к вольфраму.
3.2. Аппаратура, реактивы и растворы
Спектрофотометр или фотоэлектроколориметр.
Кислота соляная по ГОСТ 3118-77 или по ГОСТ 14261-77, разбавленная 2:1 и 1:100.
Кислота азотная по ГОСТ 4461-77 или ГОСТ 11125-84.
Кислота серная по ГОСТ 4204-77 или ГОСТ 14262-78.
Кислота ортофосфорная по ГОСТ 6552-80.
Смесь серной и фосфорной кислот: к 600 см воды осторожно при перемешивании приливают 150 см
серной кислоты и затем 150 см
фосфорной кислоты. Охлаждают, разбавляют водой до 1 дм
и перемешивают.
Двойная сернокислая соль закиси железа и аммония (соль Мора) по ГОСТ 4208-72.
Гидроокись натрия по ГОСТ 4328-77, растворы с массовой концентрацией 40 г/дм, 200 г/дм
.
Аммоний роданистый по ГОСТ 27067-86, растворы с массовой концентрацией 200 г/дм, 500 г/дм
.
Титан треххлористый (раствор) по ГОСТ 311-78: 5 см раствора титана треххлористого смешивают с 45 см
соляной кислоты, разбавленной (2:1), прибавляют 2 гранулы металлического цинка до просветления фиолетового окрашивания раствора.
Или приготовленный раствор титана треххлористого: 0,5 г металлического титана по ГОСТ 19807-74 растворяют в 20 см соляной кислоты. Раствор охлаждают и сохраняют в склянке из темного стекла с притертой пробкой. Перед употреблением раствор разбавляют в отношении 1 : 5 соляной кислотой и добавляют 2 гранулы металлического цинка до просветления фиолетового окрашивания раствора.
Цинк гранулированный.
Натрий вольфрамовокислый по ГОСТ 18289-78, стандартный раствор. 1,7942 г вольфрамовокислого натрия растворяют в 100 см раствора гидроокиси натрия с массовой концентрацией 20 г/дм
. Раствор переливают в мерную колбу вместимостью 1 дм
, доливают до метки раствором гидроокиси натрия с массовой концентрацией 20 г/дм
, перемешивают.
Массовая концентрация вольфрама в растворе равна 0,001 г/дм. Раствор хранят в полиэтиленовой посуде.
Аммоний молибденовокислый по ГОСТ 3765-78, раствор с массовой концентрацией молибдена 0,001 г/дм: 1,8402 г аммония молибденовокислого растворяют в воде при нагревании, раствор охлаждают, доливают водой до 1 дм
, перемешивают.
Аммоний ванадиевокислый (мета) по ГОСТ 9336-75, раствор с массовой концентрацией ванадия 0,001 г/см: 2,296 г аммония ванадиевокислого растворяют при нагревании в 10 см
серной кислоты (1 : 4), разбавляют водой до 1 дм
,
перемешивают.
3.1, 3.2. (Измененная редакция, Изм. N 1).
3.3. Проведение анализа
3.3.1. Для определения массовой доли вольфрама берут навески стали:
1 г - при массовой доле вольфрама от 0,1 до 1,0%;
0,5 г - при массовой доле вольфрама от 1,0 до 3,0%;
0,25 г - при массовой доле вольфрама от 3,0 до 6,0%, помещают в стакан вместимостью 300 см, приливают 30 см
соляной кислоты, 10 см
азотной кислоты, накрывают стакан часовым стеклом и нагревают до растворения навески.
После растворения навески содержимое стакана охлаждают, приливают 30 см смеси кислот и выпаривают до выделения паров серной кислоты. Стенки стакана осторожно обмывают водой и снова выпаривают раствор до выделения паров серной кислоты. После охлаждения раствор осторожно разбавляют водой до 100 см
и нагревают до растворения осадка солей. При анализе сталей, содержащих ванадий, к раствору добавляют 1-2 г соли Мора. К полученному раствору приливают 90 см
20%-ного раствора гидроокиси натрия, содержимое стакана переносят в мерную колбу вместимостью 250 см
, охлаждают, доливают до метки водой и перемешивают. Через 20-30 мин часть раствора отфильтровывают через два сухих фильтра "белая лента". Первые порции фильтрата отбрасывают. В мерную колбу вместимостью 100 см
помещают аликвотную часть полученного фильтрата, равную 20 см
(при массовой доле вольфрама от 0,1 до 0,5%) и 10 см
(при массовой доле вольфрама свыше 0,5 до 6,0%), приливают 15 см
4%-ного раствора гидроокиси натрия, 2 см
50%-ного раствора роданистого аммония, 45 см
соляной кислоты (2:1), перемешивают и охлаждают до 14-17°С. К содержимому колбы добавляют 12-15 капель раствора треххлористого титана порциями по 4-5 капель, тщательно перемешивая раствор после каждого прибавления реактива. При анализе сталей, содержащих молибден, раствор треххлористого титана добавляют порциями по 4-5 капель через 0,5-1 мин до исчезновения окраски комплексного соединения молибдена с роданид-ионом и добавляют 5 капель в избыток. Колбу с раствором оставляют на 10 мин до образования устойчивой желто-зеленой окраски, затем доливают до метки раствор соляной кислотой (2: 1), перемешивают и через 10 мин измеряют оптическую плотность раствора на спектрофотометре при длине волны 400 нм или фотоэлектроколориметре в области светопропускания от 390 до 420 нм в кювете с толщиной слоя 50 мм. В качестве раствора сравнения используют раствор контрольного опыта.
После вычитания значения оптической плотности раствора контрольного опыта из значения оптической плотности раствора пробы находят массу вольфрама по градуировочному г
рафику.
3.3.2. Построение градуированного графика для массовой доли вольфрама от 0,1 до 0,5%
В шесть стаканов вместимостью 300 см каждый помещают по 1 г карбонильного (электролитического) железа или низкоуглеродистой стали, не содержащих вольфрам. В пять стаканов приливают последовательно 1; 2; 3; 4; 5 см
стандартного раствора вольфрама. При анализе сталей, содержащих молибден и ванадий, во все шесть стаканов прибавляют их раствор с массовой концентрацией молибдена или ванадия по 0,001 г/см
в количествах, соответствующих массовой доле в анализируемом образце.
Затем приливают по 30 см соляной кислоты, по 10 см
азотной кислоты, накрывают стаканы часовым стеклом и нагревают до растворения навески. Содержимое стаканов охлаждают, приливают по 30 см
смеси кислот и выпаривают до выделения паров серной кислоты. Стенки стаканов осторожно обмывают водой и снова выпаривают растворы до выделения паров серной кислоты. После охлаждения растворы осторожно разбавляют водой до 100 см
и нагревают до растворения осадка солей и далее по п. 3.3.1.
В качестве раствора сравнения используют раствор карбонильного (электролитического) железа без добавления стандартного раствора вольфрама (навеска в шестом стакане)
.
3.3.3. Построение градуировочного графика для массовой доли вольфрама от 1 до 3%
В семь стаканов вместимостью 300 см каждый помещают по 0,5 г карбонильного (электролитического) железа или низкоуглеродистой стали, не содержащих вольфрам. В шесть стаканов приливают последовательно 5; 7; 9; 11; 13; 15 см
стандартного раствора вольфрама. Затем приливают в семь стаканов по 30 см
смеси кислот и далее поступают, как описано в п. 3.3.1.
По найденным значениям оптической плотности растворов и соответствующим им массам вольфрама строят градуировочный график.
3.3.1-3.3.3. (Измененная редакция, Изм. N 1).
3.4. Обработка результатов
3.4.1. Массовую долю вольфрама () вычисляют по п. 2.4.1.
3.4.2. Абсолютные допускаемые расхождения не должны превышать величин, указанных в табл. 2 и 4.
3.4.1, 3.4.2. (Измененная редакция, Изм. N 1).
3а. ФОТОМЕТРИЧЕСКИЙ МЕТОД (при массовой доле вольфрама от 0,3 до 18 %)
3а.1. Сущность метода
Метод основан на образовании окрашенного в зеленовато-желтый цвет комплексного соединения пятивалентного вольфрама с роданид ионами в присутствии восстановителей - двухлористого олова и трехвалентного титана в растворе соляной кислоты с молярной концентрацией 4-6 моль/дм и последующем измерении оптической плотности раствора при длине волны 400-410 нм. Вольфрам определяют на фоне сопутствующих элементов.
Влияние молибдена и ванадия компенсируется введением их в раствор градуировочного графика, в варианте дифференциальной фотометрии - введением их в раствор сравнения.
3а.2. Аппapатура, реактивы и растворы
Спектрофотометр или фотоэлектроколориметр со всеми принадлежностями.
Кислота соляная по ГОСТ 3118-77, разбавленная 2 : 1.
Кислота азотная по ГОСТ 4461-77.
Кислота серная по ГОСТ 4204-77, разбавленная 1:1, 1:9.
Натрия гидроокись по ГОСТ 4328-77, растворы с массовой концентрацией 200 г/дм; 40 г/дм
; 440 г/дм
.
Калий-натрий виннокислый 4-водный по ГОСТ 5845-79 (сегнетовая соль), раствор с массовой концентрацией 250 г/дм.
Олово двухлористое 2-водное по ТУ 6-09-5384-88, раствор с массовой концентрацией 250 г/дм: 250 г олова двухлористого растворяют в 200 см
соляной кислоты, разбавляют до 1 дм
водой, перемешивают. Раствор фильтруют и прибавляют 2-3 гранулы олова металлического.
Олово гранулированное по ГОСТ 860-75.
Аммоний роданистый по ГОСТ 27067-86, раствор с массовой концентрацией 500 г/дм, свежеприготовленный.
Титан треххлористый по ГОСТ 311-78, раствор: 1 часть раствора треххлористого титана разбавляют 75 частями разбавленной серной кислоты 1 : 9. Раствор готовят перед употреблением.
Железо карбонильное радиотехническое марки ПС по ГОСТ 13610-79.
Натрий вольфрамовокислый 2-водный по ГОСТ 18289-78.
Стандартный раствор вольфрама с массовой концентрацией 0,001 г/см, приготовленный по п. 3.2.
Аммоний молибденовокислый по ГОСТ 3765-78, раствор с массовой концентрацией молибдена 0,001 г/см: 1,84 г молибденовокислого аммония помещают в стакан и растворяют в воде при нагревании. После охлаждения раствор переносят в мерную колбу вместимостью 1 дм
, доливают до метки водой и перемешивают.
Аммоний ванадиевокислый мета по ГОСТ 9336-75, раствор с массовой концентрацией ванадия 0,001 г/см: 2,3 г аммония ванадиевокислого растворяют в 50 см
воды, добавляют 150 см
азотной кислоты, раствор охлаждают, переносят в мерную колбу вместимостью 1 дм
и перемешивают.
3а.3. Проведение анализа
3а.3.1. Вариант спектрофотометрии при массовой доле вольфрама от 0,3 до 10%
Дробную навеску стали (табл. 2а) помещают в стакан, прибавляют 30 см смеси соляной и азотной кислот в соотношении 3:1 и кипятят до полного растворения навески, затем прибавляют 20 см
разбавленной 1:1 серной кислоты и выпаривают до паров серной кислоты. После охлаждения соли растворяют в 50 см
воды при нагревании. К охлажденному раствору прибавляют раствор гидроксида натрия (200 г/дм
) до выпадения осадка гидроксида железа и 10 см
в избыток, прибавляют 20 см
раствора калия-натрия виннокислого и 25 см
разбавленной серной кислоты 1:1. Раствор тщательно перемешивают после добавления каждого реактива. Охлажденный раствор переносят в мерную колбу вместимостью 250 см
, разбавляют водой до метки и перемешивают.
Аликвотную часть раствора (табл. 2а) помещают в мерную колбу вместимостью 100 см, добавляют 2 см
раствора двухлористого олова, через 2 мин прибавляют 15 см
раствора гидроксида натрия (40 г/дм
), 45 см
разбавленной 2:1 соляной кислоты, 2 см
раствора роданистого аммония и 2 см
раствора треххлористого титана, через 5 мин разбавляют водой до метки и перемешивают.
Таблица 2а
Массовая доля вольфрама, % | Масса навески, г | Аликвотная часть раствора, см |
От 0,3 до 1,0 | 1 | 10 |
Св. 1,0 " 3,0 | 0,5 | 5 |
" 3,0 " 6,0 | 0,25 | 5 |
" 6,0 " 10 | 0,25 | 2 |
Оптическую плотность раствора измеряют на фотоэлектроколориметре в области длин волн 390-420 нм или спектрофотометре при длине волны 400-410 нм. В качестве раствора сравнения используют аликвотную часть раствора, содержащую все реактивы, кроме роданистого аммония и треххлористого титана.
Одновременно в тех же условиях проводят контрольный опыт на загрязнение реактивов. Значение оптической плотности контрольного опыта вычитают из значения оптической плотности анализируемого раствора.
Для построения градуировочного графика в стаканы помещают навеску карбонильного железа, растворы ванадия и молибдена в количестве, соответствующем их массе в навеске анализируемого образца, стандартный раствор вольфрама в возрастающих количествах с таким расчетом, чтобы масса вольфрама в испытуемой пробе была в середине графика, приливают 30 см смеси соляной и азотной кислот в соотношении 3: 1 и далее по п. 3а.3.1.
3а.3.2. Вариант дифференциальной фотометрии при массовой доле вольфрама от 10 до 18%
Навеску стали 0,5 г помещают в стакан, прибавляют 30 см смеси соляной и азотной кислот в соотношении 3 : 1 и далее по п. За.3.1.
Аликвотную часть раствора 5 см, содержащую 1100-2000 мкг вольфрама, помещают в мерную колбу вместимостью 100 см
, прибавляют 2 см
раствора двухлористого олова, через 2 мин 15 см
раствора гидроксида натрия (40 г/дм
), 45 см
разбавленной 2 : 1 соляной кислоты, 2 см
раствора роданистого аммония и 2 см
раствора треххлористого титана, через 5 мин разбавляют водой до метки и перемешивают.
Оптическую плотность раствора измеряют на спектрофотометре или фотоэлектроколориметре в кювете с толщиной слоя 10-30 мм в области волн 390-420 нм относительно раствора сравнения.
Для приготовления раствора сравнения в стакан помещают навеску карбонильного железа, растворы ванадия и молибдена в количествах, соответствующих их массе в навеске анализируемого образца, 40-50 см стандартного раствора вольфрама с массовой концентрацией 0,001 г/см
, прибавляют 30 см
смеси соляной и азотной кислот в соотношении 3: 1 и далее поступают, как описано в п. За.3.1.
Для построения градуировочного графика к аликвотной части раствора сравнения прибавляют стандартный раствор вольфрама с массовой концентрацией 0,0001 г/см в возрастающих количествах с таким расчетом, чтобы масса вольфрама в испытуемой пробе была в середине графика, прибавляют 2 см
раствора двухлористого олова, через 2 мин 15 см
раствора гидроксида натрия (40 г/дм
), 45 см
разбавленной 2: 1 соляной кислоты, 2 см
раствора роданистого аммония и 2 см
треххлористого титана. Через 5 мин разбавляют до метки водой и перемешивают. Оптическую плотность раствора измеряют через 10 мин относительно раствора сравнения.
Градуировочный график строят по найденным значениям оптической плотности и соответствующим значениям массы вольфрама в стандартных растворах, добавленных к аликвотной части раствора сравнения.
3а.4. Обработка результатов
3а.4.1. Массовую долю вольфрама () в процентах для диапазона определимых содержаний от 0,3 до 10,0% вычисляют, как указано в п. 2.4.1.
Массовую долю вольфрама () в варианте дифференциальной спектрофотометрии вычисляют по формуле
,
где - сумма массы вольфрама, найденная по градуировочному графику, и массы, введенной в раствор сравнения, г;
- масса навески, соответствующая аликвотной части раствора, г.
3а.4.2. Абсолютные расхождения результатов параллельных определений не должны превышать допускаемых значений, указанных в табл. 2 и 2б.
Таблица 2б
Массовая доля вольфрама, % | Абсолютное допускаемое расхождение, % |
От 0,50 до 1,0 | 0,05 |
Разд.3а. (Введен дополнительно, Изм. N 1).
4. ГРАВИМЕТРИЧЕСКИЙ МЕТОД
4.1. Сущность метода
Метод основан на гидролитическом осаждении вольфрамовой кислоты в присутствии желатины и гравиметрическом определении в виде трехокиси вольфрама с введением поправок на содержание вольфрама в фильтрате от вольфрамовой кислоты, определяемого фотометрическим методом, и поправок на содержание примесей: FeO
; TiO
; Сr
O
; МоО
; V
O
; Ta
O
; Nb
O
в трехокиси воль
фрама.
4.2. Aппapатура, реактивы и растворы
Спектрофотометр или фотоэлектроколориметр с принадлежностями.
Кислота соляная по ГОСТ 3118-77 или ГОСТ 14261-77, разбавленная 1:1, 1:10 и раствор с молярной концентрацией 3 моль/дм.
Кислота азотная по ГОСТ 4461-77 или ГОСТ 11125-84, разбавленная 1:1.
Кислота серная по ГОСТ 4204-77 или ГОСТ 14262-78, разбавленная 1:1, 1: 3, 1: 5 и 1:9.
Кислота фтористоводородная по ГОСТ 10484-78, раствор с массовой концентрацией 400 г/дм.
Кислота ортофосфорная по ГОСТ 6552-80, разбавленная 1: 1.
Аммиак водный по ГОСТ 3760-79, разбавленный 1:3 и 1:1.
Желатин пищевой по ГОСТ 11293-78, раствор 5 г/дм.
Натрий углекислый по ГОСТ 83-79, раствор с массовой концентрацией 5 г/дм.
Калий кислый сернокислый по ГОСТ 4223-75.
Железо карбонильное.
Стандартные растворы железа
Раствор А: 0,2500 г железа растворяют при умеренном нагревании в 10 см соляной кислоты. После охлаждения переносят раствор в мерную колбу вместимостью 500 см
, доливают водой до метки и перемешивают.
1 см раствора содержит 0,0005 г железа.
Раствор Б: 25,0 см раствора А переносят в мерную колбу вместимостью 500 см
, разбавляют водой до метки и перемешивают.
1 см раствора содержит 0,000025 г железа.
Гидроксиламина гидрохлорид по ГОСТ 5456-79, раствор с массовой концентрацией 10 г/дм.
1,10-фенантролин, раствор с массовой концентрацией 1,5 г/дм.
Кислота уксусная по ГОСТ 61-75.
Натрий уксуснокислый 3-водный по ГОСТ 199-78, раствор: 272 г уксуснокислого натрия растворяют в 500 см воды, добавляют 240 см
уксусной кислоты, разбавляют водой до 1000 см
и, в случае необходимости, фильтруют.
Смесь реакционная: 1 часть раствора солянокислого гидроксиламина, 1 часть раствора 1,10-фенантролина смешивают с 3 частями раствора уксуснокислого натрия; готовят перед употреблением.
Кислота аскорбиновая, раствор с массовой концентрацией 50 г/дм.
Диантипирилметан, раствор с массовой концентрацией 30 г/дм.
Титан по ГОСТ 19807-74.
Стандартные растворы титана
Раствор А: 0,100 г титана растворяют при нагревании в 100 см раствора серной кислоты (1 : 5). После растворения раствор окисляют, добавляя по каплям азотной кислоты и коротким кипячением удаляют окислы азота. После охлаждения раствор переносят в мерную колбу вместимостью 1000 см
, доливают до метки раствором серной кислоты (1:5) и перемешивают.
1 см раствора содержит 0,0001 г титана.
Раствор Б: 10,0 см раствора А переносят в мерную колбу вместимостью 100 см
, доливают до метки раствором серной кислоты (1:5) и перемешивают.
1 см раствора содержит 0,0001 г титана.
Серебро азотнокислое по ГОСТ 1277-75, раствор с массовой концентрацией 5 г/дм.
Аммоний надсернокислый по ГОСТ 20478-75, раствор с массовой концентрацией 100 г/дм свежеприготовленный.
Спирт этиловый по ГОСТ 5962-67.
Дифенилкарбазид по ГОСТ 5859-78, раствор с массовой концентрацией 1 г/дм в этиловом спирте.
Калий двухромовокислый по ГОСТ 4220-75.
Стандартный раствор хрома: 0,0566 г двухромовокислого калия, предварительно высушенного при 150°С, растворяют в воде, раствор переносят в мерную колбу вместимостью 1000 см, доливают водой до метки и перемешивают.
1 см раствора содержит 0,00002 г хрома.
Калий-натрий виннокислый по ГОСТ 5845-79.
Калий роданистый, с массовой концентрацией 100 г/дм по ГОСТ 4139-75.
Олово металлическое в гранулах по ГОСТ 860-75.
Олово двухлористое 2-водное по ГОСТ 36-78, раствор с массовой концентрацией 100 г/дм: 100 г хлористого олова растворяют в 100 см
соляной кислоты и раствор разбавляют водой до 1000 см
. К приготовленному таким образом раствору прибавляют несколько гранул металлического олова.
Молибден металлический высокой чистоты по нормативно-технической документации.
Стандартные растворы молибдена.
Раствор А: 0,500 г молибдена растворяют в 10 см раствора серной кислоты (1:1) и 10 см
азотной кислоты. Раствор упаривают до выделения белых паров серной кислоты, после охлаждения переносят в мерную колбу вместимостью 1000 см
, доливают водой до метки и перемешивают.
1 см раствора содержит 0,0005 г молибдена.
Раствор Б: 10 см раствора А переносят в мерную колбу вместимостью 100 см
, разбавляют водой до метки и перемешивают.
1 см раствора содержит 0,00005 г молибдена.
Натрий вольфрамовокислый по ГОСТ 18289-78, раствор с массовой концентрацией 160 г/дм.
Ванадия пятиокись.
Стандартные растворы ванадия.
Раствор А: 0,4462 г пятиокиси ванадия растворяют в 50 см раствора серной кислоты (1:9) и 5 см
азотной кислоты. Раствор упаривают до выделения белых паров серной кислоты, после охлаждения переносят в мерную колбу вместимостью 500 см
, доливают до метки раствором серной кислоты (1:9) и перемешивают.
1 см раствора содержит 0,0005 г ванадия.
Раствор Б: 10 см раствора А переносят в мерную колбу вместимостью 100 см
, доливают до метки раствором серной кислоты (1:9) и перемешивают.
1 см раствора содержит 0,00005 г ванадия.
Калий углекислый по ГОСТ 4221-76.
Аммоний азотнокислый по ГОСТ 22867-77, раствор с массовой концентрацией 10 г/дм, с добавкой 1 см
аммиака на 1000 см
раствора.
Фенолфталеин по ТУ 6-09-5360-87, раствор с массовой концентрацией 1 г/дм в этиловом спирте.
4.1, 4.2. (Измененная редакция, Изм. N 1).
4.3. Проведение анализа
4.3.1. Массу навески стали в зависимости от массовой доли вольфрама определяют по табл. 3.
Таблица 3
Массовая доля вольфрама, % | Масса навески, г |
От 3 до 8 | 2 |
Навеску помещают в стакан вместимостью 600 см, накрывают часовым стеклом и растворяют в 50-70 см
раствора соляной кислоты (1:1) при температуре, близкой к точке кипения (90°С), до прекращения выделения пузырьков водорода. В случае труднорастворимой стали, во время растворения пробы прибавляют раствор соляной кислоты (1:1), доливая его в стакан до первоначального объема. После окончания разложения пробы нагревание прекращают и раствор окисляют, добавляя по каплям раствор азотной кислоты до прекращения выделения окислов азота; затем прибавляют избыток около 1 см
раствора азотной кислоты. Раствор нагревают до 60-80°С, периодически перемешивая его, до выделения желтого осадка вольфрамовой кислоты. Затем раствор разбавляют горячей водой до объема около 150 см
, прибавляют 10 см
раствора желатина, небольшое количество бумажной массы и нагревают раствор, периодически перемешивая, до температуры около 90°С в течение 30 мин. При массовой доле молибдена свыше 1 % раствор оставляют стоять 36 ч для полного выделения осадка вольфрамовой кислоты.
Раствор над осадком отфильтровывают через фильтр средней плотности, содержащий небольшое количество бумажной массы, осадок вольфрамовой кислоты в стакане промывают сначала 2-3 раза декантированием, затем промывают осадок на фильтре 10-12 раз водой.
Фильтр с осадком переносят во взвешенный платиновый тигель. Остаток вольфрамовой кислоты со стенок стакана оттирают куском фильтровальной бумаги, насыщенной раствором аммиака (1 : 3), присоединяют к осадку в тигле, сжигают и остаток в тигле прокаливают при (800±50)°С. По охлаждении прибавляют 1-2 капли раствора серной кислоты (1:1) и 1-3 см раствора фтористоводородной кислоты, выпаривают досуха, прокаливают при (800±50)°С до постоянной массы и после охлаждения в эксикаторе взвешивают осадок трехокиси вольфрама.
Фильтрат выпаривают до небольшого объема и далее поступают, как указано в п. 3.3. При анализе сталей, содержащих более 1% молибдена и ванадия для добора вольфрама, используют экстракционно-фотометрический метод по тексту п. 2.3. Найденную массу вольфрама в граммах пересчитывают на трехокись вольфрама, умножая на 1,2619 и прибавляя к результату гравиметрического определения трехокиси вольфрама.
(Измененная редакция, Изм. N 1).
4.3.2. Определение примесей FeO
, Сr
O
, МоО
, V
O
, TiO
, Nb
O
и Ta
O
в осадке трехокиси вольфрама проводят следующим об
разом.
4.3.2.1. При анализе сталей, не содержащих ниобия и тантала, трехокись вольфрама в платиновом тигле сплавляют с 5 г безводного углекислого натрия. Плав выщелачивают 100 см горячей воды и раствор с осадком фильтруют через фильтр средней плотности с бумажной массой. Остаток на фильтре промывают сначала 5-8 раз раствором углекислого натрия и затем 2-3 раза водой. Осадок на фильтре применяют для определения Fe
O
и TiO
, в фильтрате определяют Сr
O
, МоО
и V
O
.
Для определения FeO
и TiO
фильтр с осадком сжигают в платиновом тигле и остаток сплавляют с 2 г кислого сернокислого калия. Плав растворяют в 20 см
раствора соляной кислоты (1:1), раствор переносят в мерную колбу вместимостью 100 см
, доливают водой до метки и перемешивают.
Определение FeO
: аликвотную часть объемом от 10 до 20 см
основного раствора переносят в мерную колбу вместимостью 100 см
, разбавляют водой до объема около 50 см
, нейтрализуют раствором аммиака (1:1) по фенолфталеину и затем подкисляют 2 см
раствора соляной кислоты (1 : 1). Прибавляют 25 см
реакционной смеси, доливают водой до метки и перемешивают. По истечении 30 мин измеряют оптическую плотность раствора при длине волны 510 нм. Раствором сравнения служит вода. Массу железа в анализируемом растворе в граммах находят по градуировочному графику, после вычитания значения оптической плотности раствора контрольного опыта из значения оптической плотности раствора пробы.
Для построения графика в шесть из семи мерных колб вместимостью по 100 см добавляют 1,0; 2,0; 4,0; 8,0; 12,0 и 16,0 см
стандартного раствора железа Б. Во все колбы добавляют воды до 50 см
и далее поступают вышеуказанным способом.
Массу FeO
в граммах вычисляют по формуле
,
где - масса железа в анализируемом растворе, найденная по градуировочному графику, после вычитания значения оптической плотности раствора контрольного опыта из значения оптической плотности раствора пробы, г;
- масса навески, соответствующая отобранной части основного раствора, г;
- масса навески стали, г;
1,430 - коэффициент пересчета Fe на FeO
.
Определение TiO: в две мерные колбы вместимостью 50 см
переносят по 20 см
основного раствора, прибавляют 5 см
раствора аскорбиновой кислоты и через 3 мин по 10 см
3 М раствора соляной кислоты. Затем к одной из колб прибавляют 10 см
раствора диантипирилметана. После прибавления каждого из растворов содержимое колб перемешивают, доливают водой до метки и вновь перемешивают. По истечении 60 мин измеряют оптическую плотность окрашенного раствора при длине волны 395 нм. Раствором сравнения служит часть основного раствора с добавлением всех реактивов, за исключением диантипирилметана. Массу титана в анализируемом растворе в граммах находят по градуировочному графику, после вычитания значения оптической плотности раствора контрольного опыта из значения оптической плотности раствора пробы.
Для построения графика в шесть из семи мерных колб вместимостью по 50 см добавляют по 1,0; 2,0; 4,0; 8,0; 12,0 и 16,0 см
стандартного раствора титана Б. Во все колбы добавляют воды до 20 см
, по 5 см
раствора аскорбиновой кислоты и далее поступают вышеуказанным способом.
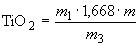
Массу TiO в граммах вычисляют по формуле
,
где - масса титана в анализируемом растворе, найденная по градуировочному графику, после вычитания значения оптической плотности раствора контрольного опыта из значения оптической плотности раствора пробы, г;
- масса навески, соответствующая отобранной части основного раствора, г;
- масса навески стали, г;
1,668- коэффициент пересчета Ti на TiO.
Для определения СrO
, МоО
и V
O
к фильтрату, полученному после выделения железа и титана, прибавляют раствор соляной кислоты (1:1) до кислой реакции (контроль индикаторной бумажкой) и кипятят приблизительно 20 мин, затем разбавляют раствор 30-40 см
горячей воды, кипятят еще 5 мин и фильтруют через фильтр средней плотности. Фильтр с осадком вольфрамовой кислоты промывают раствором соляной кислоты (1 : 10). К фильтрату прибавляют 6 см
раствора серной кислоты (1 : 1) и выпаривают до выделения белых паров серной кислоты. После охлаждения прибавляют 50 см
воды, раствор фильтруют через фильтр средней плотности в мерную колбу вместимостью 250 см
, охлаждают, доводят водой до метки и перемешивают. Из полученного таким образом основного раствора отбирают аликвотные части для определения Сr
O
, МоО
и V
O
.
Определение СrO
: из основного раствора переносят аликвотную часть 25 см
в стакан вместимостью 100 см
, прибавляют 3 см
раствора азотнокислого серебра, 10 см
раствора надсернокислого аммония, нагревают до кипения и кипятят до полного разрушения избытка надсернокислого аммония. После охлаждения переносят раствор в мерную колбу вместимостью 50 см
, прибавляют 2 см
раствора дифенилкарбазида, доводят водой до метки и перемешивают. По истечении 5 мин измеряют оптическую плотность раствора при длине волны 520 нм. Раствором сравнения служит вода. Массу хрома в анализируемом растворе в граммах находят по градуировочному графику, после вычитания значения оптической плотности раствора контрольного опыта из значения оптической плотности раствора пробы. Для построения графика в шесть из семи мерных колб вместимостью по 50 см
добавляют 0,5; 1,0; 2,0; 3,0; 5,0 и 7,0 см
стандартного раствора хрома. Во все колбы добавляют по 1 см
раствора серной кислоты (1:3), разбавляют водой до 20 см
и далее поступают вышеуказанным способом.
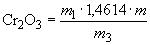
Массу СrO
в граммах вычисляют по формуле
,
где - масса хрома в анализируемом растворе, найденная по градуировочному графику, после вычитания значения оптической плотности раствора контрольного опыта из значения оптической плотности раствора пробы, г;
- масса навески, соответствующая отобранной части основного раствора, г;
- масса навески стали, г;
1,4614- коэффициент пересчета Сr на СrO
.
Определение МоО: из основного раствора переносят аликвотную часть 25 см
раствора в мерную колбу вместимостью 50 см
, прибавляют 2 г виннокислого калия-натрия, 10 см
раствора роданистого калия и перемешивают. Затем прибавляют 10 см
раствора хлористого олова, содержимое колбы доводят водой до метки и перемешивают. По истечении 5 мин измеряют оптическую плотность раствора при длине волны 490 нм. Раствором сравнения служит вода. Массу молибдена в анализируемом растворе в граммах находят по градуировочному графику, после вычитания значения оптической плотности раствора контрольного опыта из значения оптической плотности раствора пробы. Для построения графика в шесть из семи мерных колб вместимостью по 50 см
добавляют 0,5; 1,0; 2,0; 3,0; 5,0 и 7,0 см
стандартного раствора молибдена Б. Во все колбы добавляют воды до 25 см
и далее поступают вышеуказанным способом.
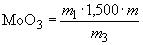
Массу МоО в граммах вычисляют по формуле
,
где - масса молибдена в анализируемом растворе, найденная по градуировочному графику, после вычитания значения оптической плотности раствора контрольного опыта из значения оптической плотности раствора пробы, г;
- масса навески пробы, соответствующая отобранной части основного раствора, г;
- масса навески стали, г;
1,500- коэффициент пересчета Мо на МоО.
Определение VO
: из основного раствора переносят аликвотную часть 75 см
в стакан вместимостью 200 см
, прибавляют 5 см
раствора фосфорной кислоты, 2 см
раствора вольфрамовокислого натрия и нагревают до кипения. После охлаждения переносят раствор в мерную колбу вместимостью 100 см
, доводят водой до метки и перемешивают. Измеряют оптическую плотность раствора при длине волны 365 нм. Раствором сравнения служит вода. Массу ванадия в анализируемом растворе в граммах находят по градуировочному графику, после вычитания значения оптической плотности раствора контрольного опыта из значения оптической плотности раствора пробы.
Для построения графика в шесть из семи стаканов вместимостью по 200 см добавляют 0,5; 1,0; 2,0; 3,0; 5,0 и 7,0 см
стандартного раствора ванадия Б. Во все стаканы добавляют воды до объема 75 см
, по 5 см
раствора фосфорной кислоты и далее поступают вышеуказанным способом.
Массу VO
в граммах вычисляют по формуле
,
где - масса ванадия в анализируемом растворе, найденная по градуировочному графику, после вычитания значения оптической плотности раствора контрольного опыта из значения оптической плотности раствора пробы, г;
- масса навески пробы, соответствующая отобранной части основного раствора, г;
- масса навески стали, г;
1,785 - коэффициент пересчета V на VO
.
(Измененная редакция, Изм. N 1).
4.3.2.2. При анализе сталей, содержащих ниобий и тантал, трехокись вольфрама сплавляют в платиновом тигле с 5 г безводного углекислого калия. Плав выщелачивают 100 см горячей воды и раствор с осадком фильтруют через фильтр средней плотности с бумажной массой, собирая фильтрат в мерной колбе вместимостью 250 см
. Фильтр с осадком промывают раствором углекислого калия и затем применяют его для определения Fe
O
и TiO
по п. 4.3.2.1. Фильтрат в мерной колбе доливают водой до метки, перемешивают и применяют для определения Nb
O
, Ta
O
, Сr
O
, МоО
и V
O
.
Для определения NbO
и Ta
O
из фильтрата переносят аликвотную часть 100 см
в стакан вместимостью 400 см
. Подкисляют азотной кислотой до кислой реакции (контроль индикаторной бумажкой), кипятят в течение недолгого времени и нейтрализуют аммиаком. Затем осаждают ниобий и тантал прибавлением 15 см
раствора аммиака (1:3), вновь недолго кипятят и раствору с осадком дают стоять 30 мин при температуре около 80°С. Осадок отфильтровывают на фильтр средней плотности и несколько раз промывают раствором азотнокислого аммония. Фильтр с осадком переносят во взвешенный платиновый тигель, сжигают, прокаливают и после охлаждения взвешивают Nb
O
+ Ta
O
.
Массу NbO
+ Ta
O
в граммах вычисляют по формуле
,
где - масса Nb
O
+ Ta
O
в анализируемой части раствора, г;
- масса Nb
O
+ Ta
O
в контрольном опыте, г;
- масса навески, соответствующая отобранной части раствора, г;
- масса навески стали, г.
Для определения СrO
, МоО
и V
O
из фильтрата в мерной колбе отбирают аликвотную часть 100 см
и анализ проводят по
п. 4.3.2.1.
4.4. Обработка результатов
4.4.1. Массовую долю вольфрама () в процентах вычисляют по формуле
,
где - масса трехокиси вольфрама в анализируемом растворе, г;
- масса трехокиси вольфрама в растворе контрольного опыта, г;
- масса трехокиси вольфрама, определенная фотометрическим методом в фильтрате после отделения вольфрамовой кислоты, г;
- масса примесей (Fe
O
+ TiO
+ Nb
O
+ Ta
O
+ Сr
O
+ МоО
+ V
O
), г;
- масса навески стали, г;
0,7931 - коэффициент пересчета трехокиси вольфрама н
а вольфрам.
4.4.2. Абсолютные допускаемые расхождения результатов параллельных определений не должны превышать значений, указанных в табл. 2б и 4.
Таблица 4
Массовая доля вольфрама, % | Абсолютное допускаемое расхождение, % |
От 10,0 до 20,0 | 0,30 |
(Измененная редакция, Изм. N 1).
Электронный текст документа
подготовлен АО "Кодекс" и сверен по:
официальное издание
М.: Издательство стандартов, 1989
Разместите заказ
сами сделают вам предложение
