ГОСТы сталей. ГОСТ 12348-78
ГОСТ 12348-78
(ИСО 629-82)
Группа В39
МЕЖГОСУДАРСТВЕННЫЙ СТАНДАРТ
СТАЛИ ЛЕГИРОВАННЫЕ И ВЫСОКОЛЕГИРОВАННЫЕ
Методы определения марганца
Alloyed and high-alloyed steels. Methods of manganese determination
МКС 77.080.20
ОКСТУ 0809
Дата введения 1980-01-01
Постановлением Государственного комитета СССР по стандартам от 23 ноября 1978 г. N 3081 дата установления установлена с 01.01.80
Ограничение срока действия снято по протоколу N 4-93 Межгосударственного совета по стандартизации, метрологии и сертификации (ИУС 4-94)
ВЗАМЕН ГОСТ 12348-66, кроме общих указаний
ИЗДАНИЕ (май 2011 г.) с Изменениями N 1, 2, 3, утвержденными в августе 1980 г., августе 1984 г., октябре 1989 г. (ИУС 11-80, 11-84, 1-90)
Настоящий стандарт устанавливает методы определения марганца:
Фотометрический при массовой доле марганца от 0,005 до 10,0%;
Титриметрический (арсенитно-нитритный) при массовой доле марганца от 0,30 до 10,0%;
Потенциометрический при массовой доле марганца от 4,0 до 40,0%;
Атомно-абсорбционный при массовой доле марганца от 0,01 до 5,0%.
Стандарт полностью соответствует СТ СЭВ 486-88, ИСО 629-82.
(Измененная редакция, Изм. N 1, 3).
1. ОБЩИЕ ТРЕБОВАНИЯ
1. ОБЩИЕ ТРЕБОВАНИЯ
1.1. Общие требования к методам анализа - по ГОСТ 20560-81*.
________________
* С 1 июля 1991 г. заменен на ГОСТ 28473-90.
2. ФОТОМЕТРИЧЕСКИЙ МЕТОД ОПРЕДЕЛЕНИЯ МАРГАНЦА (0,05-10,0%)
2. ФОТОМЕТРИЧЕСКИЙ МЕТОД ОПРЕДЕЛЕНИЯ МАРГАНЦА (0,005-10,0%)
2.1. Сущность метода
Метод основан на окислении ионов марганца (II) при концентрации его в растворе в пределах 0,001-0,012 мг/мл в сернокислой среде (1,0-3,5 н.) йоднокислым калием до марганцовой кислоты и измерении оптической плотности окрашенного раствора при длине волны 535-545 нм.
(Измененная редакция, Изм. N 3).
2.2. Аппаратура, реактивы и растворы
Спектрофотометр или фотоэлектроколориметр.
Кислота соляная по ГОСТ 3118-77.
Кислота азотная по ГОСТ 4461-77 или по ГОСТ 11125-84 и разбавленная 1:1, 1:100.
Кислота серная по ГОСТ 4204-77 или по ГОСТ 14262-78 и разбавленная 1:4.
Кислота ортофосфорная по ГОСТ 6552-80.
Смесь серной и ортофосфорной кислот: к 750 см воды осторожно при непрерывном перемешивании приливают 150 см
серной кислоты, охлаждают, приливают 100 см
ортофосфорной кислоты, перемешивают и охлаждают.
Калий или натрий йоднокислый, 5%-ный раствор: 50 г йоднокислого калия растворяют в 800 см азотной кислоты 1:1, раствор охлаждают, доливают водой до 1 дм
и перемешивают.
Калий марганцовокислый по ГОСТ 20490-75.
Водорода перекись по ГОСТ 10929-76, 30%-ный раствор.
Железо карбонильное особо чистое.
Марганец сернокислый, стандартные растворы А и Б.
Раствор А. 0,5754 г марганцовокислого калия, перекристаллизованного и высушенного на воздухе, помещают в стакан вместимостью 300 см, прибавляют 20 см
серной кислоты 1:4 и осторожно, по каплям, при перемешивании, приливают перекись водорода или соляную кислоту до обесцвечивания раствора. Раствор выпаривают до начала кристаллизации. Остаток растворяют в 20-30 см
воды, охлаждают, переносят в мерную колбу вместимостью 1 дм
, доливают водой до метки и перемешивают.
1 см стандартного раствора А содержит 0,0002 г марганца.
Раствор Б. 100 см стандартного раствора А помещают в мерную колбу вместимостью 200 см
, разбавляют до метки водой и перемешивают.
1 см стандартного раствора Б содержит 0,0001 г марганца.
Раствор В. 50 см раствора Б переносят в мерную колбу вместимостью 250 см
, доливают до метки водой и перемешивают.
1 см стандартного раствора В содержит 0,02 мг марганца.
Раствор В готовят перед применением.
Вода, не содержащая восстановителей. В колбу вместимостью 1,5-2 дм наливают 1 дм
воды, приливают по каплям серную кислоту до pH 3 по универсальной индикаторной бумаге, нагревают до кипения, прибавляют несколько кристаллов йоднокислого калия, кипятят 5-7 мин и охлаждают. Вода, не содержащая восстановителей, применяется для разбавления окисленных растворов, подготовленных для фотометрирования.
2.3. Проведение анализа
Навеску стали в зависимости от массовой доли марганца (табл.1) помещают в стакан вместимостью 250-300 см, приливают 30 см
смеси серной и ортофосфорной кислот, стакан накрывают часовым стеклом и нагревают 5-10 мин. Затем осторожно приливают 10 см
азотной кислоты и нагревают до полного растворения навески.
Таблица 1
Массовая доля марганца, % | Масса навески стали, г | Аликвотная часть, см | ||||
От | 0,005 | до | 0,05 | 2 | 40 | |
" | 0,05 | " | 0,5 | 1 | 50 | |
Св. | 0,5 | " | 2 | 0,5 | 25 | |
" | 2 | " | 5 | 0,25 | 20 | |
" | 5 | " | 10 | 0,1 | 20 | |
Если карбиды не разложились, то, сняв и обмыв стекло, раствор выпаривают до паров серной кислоты, осторожно, по стенке стакана, прибавляют несколько капель азотной кислоты и снова выпаривают до паров серной кислоты.
Нерастворимые в этих условиях стали можно растворять в соляной кислоте или в смеси соляной и азотной кислот. Затем к раствору приливают 30 см смеси серной и ортофосфорной кислот, выпаривают его до паров серной кислоты и охлаждают. Обмывают стенки стакана водой и снова выпаривают раствор до паров серной кислоты.
Содержимое стакана охлаждают, растворяют соли в 50-60 см воды и отфильтровывают осадок кремниевой кислоты на фильтр "белая лента", собирая фильтрат и промывную жидкость в мерную колбу вместимостью 250 см
при массовой доле марганца свыше 0,05% или в мерную колбу вместимостью 100 см
при массовой доле марганца от 0,005 до 0,05%. Стакан и осадок на фильтре промывают 3-5 раз азотной кислотой 1:100. Фильтр с осадком отбрасывают. Содержимое колбы охлаждают, доливают до метки водой и перемешивают.
Аликвотную часть (табл.1) раствора помещают в коническую колбу вместимостью 250 см, приливают воду приблизительно до 50 см
, 25 см
смеси серной и ортофосфорной кислот и 10 см
раствора йоднокислого калия.
Содержимое колбы нагревают до кипения, кипятят 1 мин и оставляют на водяной бане при температуре приблизительно 90 °С в течение 40-50 мин. Затем раствор охлаждают, переносят в мерную колбу вместимостью 100 см, доливают водой, не содержащей восстановителей, до метки и перемешивают.
Оптическую плотность раствора измеряют на спектрофотометре при длине волны 545 нм или на фотоэлектроколориметре со светофильтром, имеющим область пропускания в интервале длин волн 530-550 нм, в кювете с толщиной поглощающего слоя 20 мм.
Для приготовления раствора сравнения аликвотную часть раствора помещают в коническую колбу вместимостью 250 см , приливают воду приблизительно до 70 см
, 2-3 капли соляной кислоты, нагревают до кипения, кипятят 2-3 мин, охлаждают, переносят в мерную колбу вместимостью 100 см
, доливают до метки водой и перемешивают. Массу марганца в миллиграммах находят по градуировочному графику с учетом поправки контрольного опыта.
2.2.; 2.3. (Измененная редакция, Изм. N 2, 3).
2.3.1. Построение градуировочного графика
При массовой доле марганца свыше 0,05%.
2 г карбонильного железа помещают в стакан вместимостью 250-300 см, приливают 50 см
смеси серной и ортофосфорной кислот и нагревают до растворения железа. Раствор окисляют, прибавляя по каплям азотную кислоту, кипятят до удаления окислов азота и охлаждают. Раствор переносят в мерную колбу вместимостью 100 см
, доливают до метки водой и перемешивают.
По 10 см полученного раствора помещают в восемь конических колб вместимостью 250 см
, в семь колб добавляют последовательно 1, 2, 4, 6, 8, 10 и 12 см
стандартного раствора Б сернокислого марганца, что соответствует 0,1; 0,2; 0,4; 0,6; 0,8; 1,0; 1,2 мг марганца. В восьмой колбе проводят контрольный опыт на содержание марганца в реактивах.
Раствор в каждой колбе доливают водой приблизительно до 50 см, прибавляют по 25 см
смеси серной и ортофосфорной кислот и по 10 см
раствора йоднокислого калия. Содержимое колб нагревают до кипения, кипятят 1 мин и оставляют стоять при температуре приблизительно 90 °С в течение 40-50 мин.
При массовой доле марганца от 0,005 до 0,05% в семь стаканов вместимостью 250-300 см помещают по 2 г карбонильного железа, приливают по 50 см
смеси серной и ортофосфорной кислот и нагревают до растворения железа. Раствор окисляют, прибавляя по каплям азотную кислоту, кипятят до удаления окислов азота и охлаждают. Растворы переносят в мерные колбы вместимостью 100 см
, доливают до метки водой и перемешивают.
В семь колб вместимостью 250 см помещают по 40 см
полученного раствора железа и в шесть из них добавляют 1,0; 2,0; 5,0; 10,0 и 20,0 см
стандартного раствора В, что соответствует 0,02; 0,04; 0,10; 0,20 и 0,40 мг марганца.
Раствор в каждой колбе доливают водой приблизительно до 50 см, прибавляют по 5 см
смеси серной и ортофосфорной кислот и по 10 см
йоднокислого калия. Растворы нагревают до кипения, кипятят 1-2 мин и оставляют на 40-50 мин при температуре 90 °С. Раствор в седьмой колбе используют для проведения контрольного опыта и в качестве раствора сравнения.
Растворы охлаждают, переносят в мерные колбы вместимостью по 100 см, доливают водой, не содержащей восстановителей, до метки и перемешивают. Оптическую плотность растворов измеряют на спектрофометре при длине волны 545 нм или на фотоэлектроколориметре со светофильтром, имеющим область пропускания в интервале длин волн 530-550 нм, в кювете с толщиной поглощающего слоя 20 мм. В качестве раствора сравнения используют раствор контрольного анализа.
По найденным величинам оптической плотности и соответствующим им массам марганца строят градуировочный график.
(Измененная редакция, Изм. N 1, 2, 3).
2.4. Обработка результатов
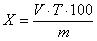
2.4.1. Массовую долю марганца () в процентах вычисляют по формуле
,
где - масса навески стали, соответствующая фотометрируемой аликвотной части раствора, мг;
- масса марганца, найденная по градуировочному графику, мг.
(Измененная редакция, Изм. N 2).
2.4.2. Абсолютные допускаемые расхождения между крайними из трех параллельных результатов при доверительной вероятности
не должны превышать значений, указанных в табл.2.
Таблица 2
Массовая доля марганца, % | Абсолютные допускаемые расхождения, % | |||||
От | 0,005 | до | 0,01 | 0,003 | ||
Св. | 0,01 | " | 0,05 | 0,005 | ||
От | 0,05 | " | 0,15 | 0,01 | ||
Св. | 0,15 | " | 0,40 | 0,02 | ||
" | 0,40 | " | 0,80 | 0,03 | ||
" | 0,80 | " | 2,00 | 0,05 | ||
" | 2,00 | " | 5,00 | 0,08 | ||
" | 5,00 | " | 10,00 | 0,10 | ||
(Измененная редакция, Изм. N 3).
3. ТИТРИМЕТРИЧЕСКИЙ МЕТОД ОПРЕДЕЛЕНИЯ МАРГАНЦА (0,3-10%) В СТАЛЯХ, НЕ СОДЕРЖАЩИХ КОБАЛЬТА
3.1. Определение марганца в сталях, содержащих до 1% хрома
3.1.1. Сущность метода
Метод основан на окислении ионов марганца (II) надсернокислым аммонием до марганцевой кислоты в кислой среде в присутствии азотнокислого серебра. Ионы
оттитровывают раствором арсенит-нитрита натрия.
3.1.2. Реактивы и растворы
Кислота азотная по ГОСТ 4461-77.
Кислота серная по ГОСТ 4204-77 и разбавленная 1:4.
Кислота ортофосфорная по ГОСТ 6552-80.
Смесь кислот: к 550 см воды осторожно, при непрерывном перемешивании, приливают 90 см
серной кислоты, охлаждают, приливают 100 см
ортофосфорной кислоты, перемешивают и приливают 260 см
азотной кислоты.
Индикатор универсальный, бумага.
Аммоний надсернокислый (персульфат аммоний) по ГОСТ 20478-75, 20%-ный раствор.
Серебро азотнокислое по ГОСТ 1277-75, 0,5%-ный раствор.
Натрий хлористый по ГОСТ 4233-77, 0,2%-ный раствор.
Мышьяковистый ангидрид по ГОСТ 1973-77.
Натрий мышьяковистокислый орто (
).
Натрий двууглекислый по ГОСТ 4201-79.
Натрия гидрат окиси по ГОСТ 4328-77, 15%-ный раствор.
Натрий азотистокислый по ГОСТ 4197-74.
Натрия арсенит-нитрит, стандартный раствор: 1,5 г мышьяковистого ангидрида помещают в стакан вместимостью 400-600 см, содержащий 25 см
горячего 15%-ного раствора гидроокиси натрия, растворяют при умеренном нагревании, разбавляют водой до 120-130 см
и охлаждают. Затем к раствору приливают серную кислоту 1:4 до рН 7 по универсальному индикатору и еще 2-3 см
. Добавляют двууглекислый натрий до рН 7 по универсальному индикатору. В полученном растворе растворяют 0,85 г азотистокислого натрия, переносят раствор в мерную колбу вместимостью 1 дм
, добавляют воду до метки и перемешивают.
Допускается приготовление стандартного раствора из мышьяковистокислого натрия орто, 2,91 г мышьяковистокислого натрия орто помещают в стакан вместимостью 400-600 см, приливают 120-150 см
воды и перемешивают до полного растворения соли.
Далее подготовку раствора проводят так же, как из мышьяковистокислого ангидрида. При содержании в соли кристаллизационной воды ее учитывают при расчете навески, необходимой для приготовления стандартного раствора.
Массовую концентрацию раствора арсенит-нитрита натрия устанавливают по стандартному образцу стали, близкому по составу и содержанию марганца к анализируемому образцу, проведенному через все стадии анализа, как указано в п.3.1.3.
Массовую концентрацию раствора арсенит-нитрита натрия (), выраженную в граммах марганца, вычисляют по формуле
,
где - масса навески стандартного образца, г;
- массовая доля марганца в стандартном образце, %;
- объем раствора арсенит-нитрита натрия, израсходованный на титрование, см
.
(Измененная редакция, Изм. N 1, 2).
3.1.3. Проведение анализа
Навеску стали в зависимости от массовой доли марганца (табл.3) помещают в коническую колбу вместимостью 250 см, приливают 40 см
смеси кислот и растворяют при нагревании. Раствор кипятят до удаления окислов азота, разбавляют водой приблизительно до 150 см
, прибавляют 10 см
азотнокислого серебра, 10 см
раствора надсернокислого аммония, нагревают до кипения и выдерживают на теплом месте плиты 1 мин. Затем раствор охлаждают до комнатной температуры, приливают 10 см
раствора хлористого натрия и сразу же титруют раствором арсенит-нитрита натрия до исчезновения малиновой окраски.
Таблица 3
Массовая доля марганца, % | Масса навески стали, г | Разведение, см | Аликвотная часть, см | |||
От | 0,3 | до | 1 | 0,5 | - | - |
Св. | 1 | " | 2 | 0,25 | - | - |
" | 2 | " | 5 | 0,1 | - | - |
" | 5 | " | 10 | 0,1 | 200 | 100 |
(Измененная редакция, Изм. N 1).
3.1.4. Обработка результатов
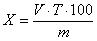
3.1.4.1. Массовую долю марганца () в процентах вычисляют по формуле
,
где - количество раствора арсенит-нитрита натрия, израсходованное на титрование, мл;
- массовая концентрация раствора арсенит-нитрита натрия, выраженная в граммах марганца;
- масса навески стали, соответствующая аликвотной части раствора, взятой для титрования, г.
3.1.4.2. Абсолютные допускаемые расхождения между крайними из трех параллельных результатов при доверительной вероятности 0,95 не должны превышать значений, указанных в табл.2.
3.2. Определение марганца в сталях, содержащих более 1% хрома
3.2.1. Сущность метода
Мешающие определению марганца элементы осаждают окисью цинка, затем в фильтрате после добавления кислоты марганец (II) окисляют надсернокислым аммонием в присутствии азотнокислого серебра до марганца (VII) и последний оттитровывают раствором арсенит-нитрита натрия.
3.2.2. Реактивы и растворы
Кислота соляная по ГОСТ 3118-77.
Аммиак водный по ГОСТ 3760-79.
Окись цинка по ГОСТ 10262-73, суспензия в воде: 50 г окиси цинка, не содержащей марганца, карбонатов и восстановителей, помещают в фарфоровую ступку, приливают горячей воды и тщательно растирают пестиком, затем добавляют 250-300 см горячей воды и перемешивают.
Окись цинка, содержащую карбонаты и восстановители, предварительно прокаливают при 800 °С.
Остальные реактивы и растворы - по п.3.1.2.
(Измененная редакция, Изм. N 2).
3.2.3. Проведение анализа
Навеску стали в зависимости от массовой доли марганца (табл.4) помещают в коническую колбу вместимостью 250 см, приливают 40-50 см
серной кислоты 1:4 и нагревают до растворения. Прибавляют по каплям азотную кислоту до прекращения вспенивания раствора и избыток 2-3 см
. Раствор выпаривают до появления паров серной кислоты. Если карбиды не разложились, то осторожно прибавляют несколько капель азотной кислоты и снова выпаривают раствор до паров серной кислоты. Раствор охлаждают, стенки колбы обмывают водой и растворяют соли при нагревании.
Таблица 4
Массовая доля марганца, % | Масса навески стали, г | |||||
От | 0,3 | до | 1 | 1 | ||
Св. | 1 | " | 2 | 0,5 | ||
" | 2 | " | 5 | 0,25 | ||
" | 5 | " | 10 | 0,1 | ||
Если сталь трудно растворяется в серной и азотной кислотах, навеску ее помещают в стакан вместимостью 300-400 см, приливают 30 см
смеси соляной и азотной кислот 3:1 и нагревают до растворения навески. Приливают 10 см
серной кислоты, выпаривают раствор до появления паров серной кислоты и охлаждают. Стенки стакана обмывают водой, раствор выпаривают до появления паров серной кислоты, охлаждают, прибавляют около 50 см
воды и растворяют соли при нагревании.
Раствор, полученный любым из этих способов, переносят в мерную колбу вместимостью 250 см, прибавляют раствор аммиака до появления красно-бурой окраски. В случае появления осадка гидроокисей добавляют по каплям серную кислоту 1:4 до растворения осадка.
К раствору прибавляют небольшими порциями суспензию окиси цинка до появления на дне колбы небольшого белого осадка. Содержимое колбы охлаждают, доливают водой до метки, перемешивают и дают осадку отстояться.
Раствор фильтруют через сухой фильтр "белая лента" в мерную колбу вместимостью 100 см, сполоснув ее первыми порциями фильтрата. Наполнив колбу до метки, раствор переносят в коническую колбу вместимостью 250-300 см
, прибавляют 40 см
смеси кислот и заканчивают определение, как указано в п.3.1.3, начиная со слов: "...прибавляют 10 см
раствора азотнокислого серебра...".
(Измененная редакция, Изм. N 1).
3.2.4. Обработка результатов
3.2.4.1. Массовую долю марганца в процентах вычисляют по формуле
,
где - количество раствора арсенит-нитрита натрия, израсходованное на титрование, мл;
- массовая концентрация раствора арсенит-нитрита натрия, выраженная в граммах марганца;
- масса навески стали, соответствующая аликвотной части раствора, взятой для титрования, г.
3.2.4.2. Абсолютные допускаемые расхождения между крайними из трех параллельных результатов при доверительной вероятности 0,95 не должны превышать значений, указанных в табл.4а.
Таблица 4а
Массовая доля марганца, % | Абсолютные допускаемые расхождения, % | |||||
Св. | 0,3 | до | 0,6 | 0,03 | ||
" | 0,6 | " | 1,0 | 0,04 | ||
" | 1,0 | " | 2,5 | 0,05 | ||
" | 2,5 | " | 4,0 | 0,08 | ||
" | 4,0 | " | 10,0 | 0,10 | ||
(Измененная редакция, Изм. N 1).
4. ОПРЕДЕЛЕНИЕ МАРГАНЦА (5,00-40,0%) МЕТОДОМ ПОТЕНЦИОМЕТРИЧЕСКОГО ТИТРОВАНИЯ В СТАЛЯХ, СОДЕРЖАЩИХ МЕНЕЕ 0,1% ВАНАДИЯ И МЕНЕЕ 0,5% КОБАЛЬТА
4. ОПРЕДЕЛЕНИЕ МАРГАНЦА (4,0-40,0%) МЕТОДОМ ПОТЕНЦИОМЕТРИЧЕСКОГО ТИТРОВАНИЯ В СТАЛЯХ, СОДЕРЖАЩИХ МЕНЕЕ 0,1% ВАНАДИЯ И МЕНЕЕ 0,5% КОБАЛЬТА
4.1. Сущность метода
Метод основан на реакции окисления марганца (II) до марганца (III) марганцовокислым калием в нейтральной среде (при рH около 7). Железо, хром и другие элементы, мешающие определению марганца, связывают в пирофосфатные комплексы.
4.2. Аппаратура, реактивы и растворы
Установка для потенциометрического титрования:
пара электродов: индикаторный платиновый электрод и электрод сравнения - каломельный, хлорсеребряный или вольфрамовый;
магнитная мешалка;
милливольтметр постоянного тока или рН-метр, позволяющий четко фиксировать изменение потенциала в точке эквивалентности при титровании с выбранной парой электродов. При необходимости к прибору последовательно подключают переменное сопротивление, которое позволяет производить измерения в пределах шкалы прибора.
Кислота соляная по ГОСТ 3118-77 и разбавленная 1:1.
Кислота азотная по ГОСТ 4461-77.
Кислота серная по ГОСТ 4204-77 и разбавленная 1:10, 1:19.
Кислота ортофосфорная по ГОСТ 6552-80.
Аммиак водный по ГОСТ 3760-79 и разбавленный 1:1.
Мочевина по ГОСТ 6691-77, 5%-ный раствор.
Натрий фосфорнокислый пиро по ГОСТ 342-77, насыщенный при комнатной температуре раствор, или калий пирофосфорнокислый 10%-ный раствор.
Индикатор универсальный, бумага.
Натрий щавелевокислый по ГОСТ 5839-77, перекристаллизованный и высушенный при 105-110 °C до постоянной массы.
Калий марганцовокислый по ГОСТ 20490-75, стандартный раствор с молярной концентрацией 0,01 моль/дм. 15,8 г перекристаллизованного и высушенного при 120 °С марганцовокислого калия растворяют в 1 дм
воды. К раствору приливают 25 см
ортофосфорной кислоты и разбавляют водой до 10 дм
. Раствор оставляют стоять на 6 сут в закрытой склянке, затем его декантируют или фильтруют через асбестовый фильтр в склянку из темного стекла.
Массовую концентрацию стандартного раствора марганцовокислого калия устанавливают по щавелевокислому натрию и выражают в граммах марганца путем соответствующего пересчета. Для этого в коническую колбу вместимостью 500 см помещают 200 см
серной кислоты 1:19, нагревают до 70-75 °С и прибавляют по каплям раствор марганцовокислого калия до устойчивой розовой окраски.
К содержимому колбы прибавляют 0,1340 г щавелевокислого натрия и после растворения навески титруют при перемешивании раствором марганцовокислого калия до устойчивой в течение 1 мин розовой окраски. К концу титрования температура раствора должна быть не ниже 60 °С.
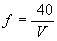
0,1340 г щавелевокислого натрия соответствует 40 мл 0,01 М раствора марганцовокислого калия. Коэффициент (f) пересчета стандартного раствора марганцовокислого калия на 0,04 М раствор вычисляют по формуле
,
где - количество раствора марганцовокислого калия, израсходованное на титрование, см
.
При потенциометрическом титровании марганца в присутствии пирофосфат-ионов 1 мл 0,01 М раствора марганцовокислого калия соответствует 0,002197 г марганца.
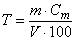
Массовую концентрацию раствора марганцовокислого калия (Т), выраженную в граммах марганца, вычисляют по формуле
,
(Измененная редакция, Изм. N 2).
4.3. Проведение анализа
Навеску стали массой 0,25 г помещают в стакан вместимостью 400 см, приливают 30 см
соляной кислоты 1:1, 5 см
азотной кислоты и нагревают до растворения навески. Раствор выпаривают до объема приблизительно 3-5 см
, добавляют 50 см
воды, растворяют соли, добавляют 5 см
раствора мочевины и охлаждают.
К раствору прибавляют раствор аммиака по каплям до появления красно-бурой окраски. Если появится осадок гидроокисей металлов, то его растворяют, прибавляя по каплям серную кислоту 1:10. Затем к раствору приливают 150 см насыщенного раствора пирофосфорнокислого натрия или раствора пирофосфорнокислого калия и устанавливают рН среды около 7 по универсальной индикаторной бумаге, прибавляя, если необходимо, по каплям серную кислоту 1:10 или раствор аммиака 1:1.
В стакан с испытуемым раствором помещают электроды, включают магнитную мешалку, перемешивают раствор 0,5-1 мин и, не выключая мешалку, титруют марганец раствором марганцовокислого калия. Вначале раствор марганцовокислого калия приливают быстро, а вблизи точки эквивалентности - по каплям, записывая объем раствора в бюретке и показания прибора после прибавления каждой капли. Объем раствора марганцовокислого калия, затраченный на титрование до максимального изменения показаний прибора, принимают за объем, пошедший на титрование.
После каждого титрования электроды промывают серной кислотой 1:10 и водой. По окончании работы электроды оставляют погруженными в стакан с водой.
4.4. Обработка результатов
4.4.1. Массовую долю марганца () в процентах вычисляют по формуле
,
где - объем раствора марганцовокислого калия, израсходованный на титрование, мл;
- массовая концентрация раствора марганцовокислого калия, выраженная в граммах марганца;
- масса навески стали, г.
4.4.2. Абсолютные допускаемые расхождения между крайними из трех параллельных результатов при доверительной вероятности Р = 0,95 не должны превышать значений, указанных в таблице 5.
Таблица 5
Массовая доля марганца, % | Абсолютные допускаемые расхождения, % | |||||
От | 4,0 | до | 10,00 | 0,10 | ||
Св. | 10,00 | " | 20,00 | 0,20 | ||
" | 20,0 | " | 40,00 | 0,30 | ||
(Измененная редакция, Изм. N 3).
5. АТОМНО-АБСОРБЦИОННЫЙ МЕТОД ОПРЕДЕЛЕНИЯ МАРГАНЦА (0,10-5,00%)
5. АТОМНО-АБСОРБЦИОННЫЙ МЕТОД ОПРЕДЕЛЕНИЯ МАРГАНЦА (0,01-5,0%)
5.1 Сущность метода
Метод основан на измерении степени поглощения резонансного излучения свободными атомами марганца, образующимися в результате распыления анализируемого раствора в пламени воздух-ацителен или ацетилен-закись азота.
Навеску образца растворяют в смеси соляной и азотной кислот, выпаривают раствор досуха и сухой остаток растворяют в соляной кислоте. После соответствующего разбавления часть раствора используют для определения марганца атомно-абсорбционным методом.
(Измененная редакция, Изм. N 3).
5.2. Аппаратура, реактивы и растворы
Атомно-абсорбционный пламенный спектрофотометр.
Лампа с полым катодом для определения марганца.
Ацетилен по ГОСТ 5457-75.
Баллон с закисью азота.
Компрессор, обеспечивающий подачу сжатого воздуха, или баллон со сжатым воздухом.
Кислота соляная по ГОСТ 3118-77.
Кислота азотная по ГОСТ 4461-77.
Железо карбонильное особой чистоты.
Марганец металлический марки Мр 00 по ГОСТ 6008-82.
________________
* На территории Российской Федерации документ не действует. Действует ГОСТ 6008-90. - Примечание изготовителя базы данных.
Марганец солянокислый, стандартные растворы А и Б.
Раствор А. 1 г металлического марганца растворяют при нагревании в 20 см соляной кислоты, осторожно, по каплям, прибавляют 1-2 см
азотной кислоты и кипятят до удаления окислов азота. Раствор переносят в мерную колбу вместимостью 1 дм
, охлаждают, доливают водой до метки и перемешивают.
1 мл стандартного раствора А содержит 1 мг марганца.
Раствор Б. 10 см раствора А помещают в мерную колбу вместимостью 100 см
, доливают до метки водой и перемешивают.
1 см стандартного раствора Б содержит 0,1 мг марганца.
Раствор В: 20 см стандартного раствора Б помещают в мерную колбу вместимостью 100 см
, доливают до метки водой и перемешивают.
1 см стандартного раствора В содержит 0,02 мг марганца
(Измененная редакция, Изм. N 2, 3).
5.3. Подготовка прибора
Подготовку прибора производят в соответствии с прилагаемой к нему инструкцией. Настраивают спектрофотометр на резонансную линию 279,5 нм или 403,0 нм в зависимости от содержания марганца в образце (табл.6). После включения подачи газа и зажигания горелки распыляют воду и устанавливают нуль прибора.
Таблица 6
Массовая доля марганца, % | Масса навески, г (при разбавлении 100 см | Аналитическая линия, нм | |||||
От | 0,1 | до | 0,2 | 0,2 | 279,5 | ||
Св. | 0,2 | " | 0,5 | 0,1 | 279,5 | ||
" | 0,5 | " | 2,0 | 0,2 | 403,0 | ||
" | 2,0 | " | 5,0 | 0,1 | 403,0 | ||
5.4. Проведение анализа
Навеску стали в зависимости от массовой доли марганца (табл.6) помещают в стакан вместимостью 100 см и растворяют в смеси 10 см
соляной и 3-5 см
азотной кислот. Раствор выпаривают досуха. Сухой остаток растворяют в 4 см
соляной кислоты, раствор переносят в мерную колбу вместимостью 100 см
, доливают до метки водой и перемешивают. Часть раствора фильтруют через сухой фильтр "белая лента" в коническую колбу, сполоснув ее первыми порциями фильтрата.
Через весь ход анализа проводят контрольный опыт.
Распыляют раствор контрольного опыта и раствор пробы до получения стабильных результатов для каждого раствора.
Перед распылением каждого раствора распыляют воду до получения нулевого показания прибора.
(Измененная редакция, Изм. N 2).
5.5. Построение градуировочных графиков
5.5.1. Построение градуировочного графика для массовой доли марганца от 0,1 до 0,5%
В мерные колбы вместимостью 100 см помещают 2, 4, 6, 8 и 10 см
стандартного раствора Б солянокислого марганца, что соответствует 0,2; 0,4; 0,6; 0,8 и 1 мг марганца. Прибавляют по 4 см
соляной кислоты, доливают до метки водой и перемешивают.
Для приготовления нулевого раствора в мерную колбу вместимостью 100 см помещают 4 см
соляной кислоты, доливают до метки водой и перемешивают.
Настраивают прибор на резонансную линию 279,5 нм.
Растворы распыляют в порядке увеличения абсорбции, начиная с нулевого раствора. Перед распылением каждого раствора распыляют воду.
Из среднего значения оптической плотности каждого раствора вычитают среднее значение оптической плотности нулевого раствора.
По найденным значениям оптической плотности и соответствующим им массам марганца строят градуировочный график.
5.5.2. Построение градуировочного графика для массовой доли марганца от 0,5 до 5,00%.
В мерные колбы вместимостью 100 см помещают 1, 2, 3, 4 и 5 см
стандартного раствора А, что соответствует 1, 2, 3, 4 и 5 мг марганца, прибавляют по 4 см
соляной кислоты, разбавляют до метки водой и перемешивают. Для приготовления нулевого раствора в мерную колбу вместимостью 100 см
помещают 4 см
соляной кислоты, доливают до метки водой и перемешивают.
Настраивают прибор на резонансную линию 403,0 нм.
Далее поступают, как указано в п.5.5.1.
5.5.3. Построение градуировочного графика для массовой доли марганца от 0,01 до 0,1%.
В шесть стаканов вместимостью 250-300 см помещают по 0,2 г железа и растворяют в 10 см
соляной и 3-5 см
азотной кислот. Растворы выпаривают досуха. Сухой остаток растворяют в 4 см
соляной кислоты и растворы переносят в мерные колбы вместимостью 100 см
. В пять мерных колб прибавляют 1,0; 2,0; 4,0; 6,0 и 10,0 см
стандартного раствора В, что соответствует 0,02; 0,04; 0.08; 0,12 и 0,20 мг марганца, доливают до метки водой и перемешивают. Далее поступают как указано в п.5.5.1.
В качестве нулевого раствора используют раствор в шестой колбе, не содержащий марганец.
(Введен дополнительно, Изм. N 3).
5.6. Обработка результатов
Подсчитывают среднее значение оптической плотности контрольного раствора и вычитают это значение из среднего значения оптической плотности испытуемых растворов.
По градуировочному графику находят массу марганца в миллиграммах в испытуемом растворе.
5.6.1. Массовую долю марганца () в процентах вычисляют по формуле
,
где - масса навески стали, соответствующая фотометрируемой аликвотной части анализируемого раствора, мг;
- масса марганца, найденная по градуировочному графику, мг.
5.6.2. Абсолютные допускаемые расхождения между крайними из трех параллельных результатов при доверительной вероятности
не должны превышать значений, указанных в табл.2.
(Измененная редакция, Изм. N 1).
Электронный текст документа
подготовлен ЗАО "Кодекс" и сверен по:
официальное издание
М.: Стандартинформ, 2011
Разместите заказ
сами сделают вам предложение
