ГОСТы сталей. ГОСТ Р 52204-2004
ГОСТ Р 52204-2004
Группа В33
НАЦИОНАЛЬНЫЙ СТАНДАРТ РОССИЙСКОЙ ФЕДЕРАЦИИ
ЖЕСТЬ ХОЛОДНОКАТАНАЯ ЧЕРНАЯ И БЕЛАЯ
Технические условия
Cold-rolled blackplate and tinplate.
Specifications
ОКС 77.140.45
ОКП 11 1400
11 1500
Дата введения 2004-09-01
Предисловие
1 РАЗРАБОТАН ФГУП ЦНИИчермет им. И.П.Бардина
ВНЕСЕН Техническим комитетом по стандартизации ТК 375 "Металлопродукция из черных металлов и сплавов"
2 УТВЕРЖДЕН И ВВЕДЕН В ДЕЙСТВИЕ Постановлением Госстандарта России от 19 января 2004 г. N 21-ст
3 ВВЕДЕН ВПЕРВЫЕ
ВНЕСЕНА поправка, опубликованная в ИУС N 7, 2004 год
Поправка внесена изготовителем базы данных
1 Область применения
1 Область применения
Настоящий стандарт распространяется на холоднокатаную однократной и двукратной прокатки черную и белую (электрического и горячего лужения) жесть, применяемую для изготовления консервной тары, тароупаковочных и других изделий.
2 Нормативные ссылки
В настоящем стандарте использованы ссылки на следующие стандарты:
ГОСТ 427-75 Линейки измерительные металлические. Технические условия
ГОСТ 860-75 Олово. Технические условия
ГОСТ 2789-73 Шероховатость поверхности. Параметры и характеристики
ГОСТ 3118-77 Кислота соляная. Технические условия
ГОСТ 3778-98 Свинец. Технические условия
ГОСТ 4202-75 Калий йодноватокислый. Технические условия
ГОСТ 4204-77 Кислота серная. Технические условия
ГОСТ 4206-75 Калий железосинеродистый. Технические условия
ГОСТ 4232-74 Калий йодистый. Технические условия
ГОСТ 4328-77 Натрия гидроокись. Технические условия
ГОСТ 4530-76 Кальций углекислый. Технические условия
ГОСТ 6709-72 Вода дистиллированная. Технические условия
ГОСТ 7502-98 Рулетки измерительные металлические. Технические условия
ГОСТ 7566-94 Металлопродукция. Приемка, маркировка, упаковка, транспортирование и хранение
ГОСТ 10163-76 Крахмал растворимый. Технические условия
ГОСТ 11098-75 Скобы с отсчетным устройством. Технические условия
ГОСТ 11293-89 Желатин. Технические условия
ГОСТ 11701-84 Металлы. Методы испытания на растяжение тонких листов и лент
ГОСТ 12026-76 Бумага фильтровальная лабораторная. Технические условия
ГОСТ 14192-96 Маркировка грузов
ГОСТ 15846-2002 Продукция, отправляемая в районы Крайнего Севера и приравненные к ним местности. Упаковка, маркировка, транспортирование и хранение
ГОСТ 18300-87 Спирт этиловый ректификованный технический. Технические условия
ГОСТ 19300-86 Средства измерения шероховатости поверхности профильным методом. Профилографы-профилометры контактные. Типы и основные параметры
ГОСТ 23932-90 Посуда и оборудование лабораторные стеклянные. Общие технические условия
ГОСТ 24363-80 Калия гидроокись. Технические условия
ГОСТ 26877-91 Металлопродукция. Методы измерения отклонений формы
ГОСТ 29169-91 (ИСО 648-77) Посуда лабораторная стеклянная. Пипетки с одной отметкой
ГОСТ 29251-91 (ИСО 385-1-84) Посуда лабораторная стеклянная. Бюретки. Часть 1. Общие требования
ГОСТ 29252-91 (ИСО 385-2-84) Посуда лабораторная стеклянная. Бюретки. Часть 2. Бюретки без времени ожидания
ГОСТ 30415-96 Сталь. Неразрушающий контроль механических свойств и микроструктуры металлопродукции магнитным методом
3 Термины и определения
В настоящем стандарте применены следующие термины с соответствующими определениями:
3.1 жесть однократной прокатки: Полоса из нелегированной низкоуглеродистой стали, прокатанная способом холодной прокатки до требуемой толщины, отожженная и дрессированная, которая используется как самостоятельный материал или для последующего нанесения защитного покрытия.
Примечание - Термин распространяется на черную жесть и белую жесть с различными видами покрытий в рулонах и листах.
3.2 жесть двукратной прокатки: Полоса, получаемая из черной холоднокатаной отожженной жести однократной прокатки путем повторной холодной прокатки.
Примечание - Термин распространяется на черную жесть и белую жесть с различными видами покрытий в рулонах и листах.
3.3 белая жесть горячего лужения: Черная жесть с двусторонним покрытием оловом, нанесенным горячим способом.
3.4 белая жесть электролитического лужения: Черная жесть с двусторонним покрытием оловом, нанесенным электролитическим способом. В зависимости от соотношения толщины покрытия по сторонам жесть может производиться с одинаковой или дифференцированной (различной) толщиной покрытия.
3.5 консервная жесть: Черная или белая жесть с оговоренным уровнем технических характеристик, обеспечивающих возможность ее использования для изготовления консервной тары.
3.6 разная жесть: Товарная черная или белая жесть с уровнем технических характеристик, обеспечивающих возможность ее переработки и использования для любых целей, исключая изготовление консервной тары.
3.7 отжиг в колпаковых печах: Процесс, при котором смотанная в рулон полоса подвергается отжигу в атмосфере защитного газа по специальному температурно-временному циклу.
3.8 отжиг в непрерывных (проходных) печах: Процесс, при котором отжиг полосы происходит при ее транспортировании через проходную печь в атмосфере защитного газа после разматывания рулона.
3.9 группа отделки поверхности: Характеристика исполнения поверхности черной жести и оловянного покрытия на белой жести электролитического лужения.
3.9.1 полированная поверхность: Поверхность, получаемая при дрессировке черной жести с использованием полированных рабочих валков; оплавлении нанесенного на нее оловянного покрытия - для белой жести электролитического лужения.
3.9.2 шлифованная поверхность: Поверхность, получаемая при дрессировке черной жести с использованием шлифованных рабочих валков; оплавлении нанесенного на нее оловянного покрытия - для белой жести электролитического лужения.
3.9.3 насеченная поверхность: Поверхность, получаемая при дрессировке черной жести с использованием насеченных рабочих валков; оплавлении нанесенного на нее оловянного покрытия - для белой жести электролитического лужения.
3.9.4 матовая поверхность: Поверхность белой жести электролитического лужения, получаемая при нанесении на черную жесть со шлифованной или насеченной поверхностью неоплавленного оловянного покрытия.
3.10 масса покрытия: Масса слоя покрытия, выраженная в граммах, приходящаяся на 1 м поверхности листа или полосы.
3.11 базовое исполнение: Вариант исполнения заказа при отсутствии в нем специальных требований, оговоренных заказчиком.
Базовое исполнение предусматривает:
- шлифованную поверхность;
- выбор изготовителем способа отжига;
- черную жесть без промасливания;
- при поставке жести в листах любой из двух заказанных номинальных линейных размеров может быть шириной;
- промасливание белой жести электролитического лужения диоктилсебацинатом;
- обозначение стороны с большей массой покрытия на белой жести с дифференцированным покрытием двумя непрерывными линиями;
- пассивацию электролитически луженой белой жести электролитическим способом катодно в растворе бихромата натрия.
3.12 теоретическая масса: Масса листовой и рулонной жести, определяемая умножением площади, рассчитываемой по 8.11.1, на номинальную толщину жести и плотность основного металла, равную 7,85 т/мм. Масса покрытия не учитывается.
4 Классификация
4.1 Жесть подразделяют:
по способу производства на виды:
- Ч - черная (без покрытия),
- Э - белая электролитического лужения,
- Г - белая горячего лужения;
по маркам:
- ЖК - консервная,
- ЖР - разная;
по видам продукции:
- лист,
- рулон;
по способу прокатки:
- Т - жесть однократной прокатки,
- ДП - жесть двукратной прокатки;
по способу отжига:
- КП - в колпаковых печах,
- НО - в непрерывных (проходных) печах.
При отсутствии в заказе требований к способу отжига изготовитель может использовать любой способ, обеспечивающий требуемый уровень твердости и механических свойств;
по степени твердости и механическим свойствам:
- жесть черная и белая однократной прокатки по твердости на степени: Т1, Т2, Т3, Т4, Т5, Т6, Т7;
- жесть черная и белая двукратной прокатки по механическим свойствам на классы прочности: ДП520, ДП550, ДП580, ДП620, ДП690;
по качеству отделки поверхности:
- жесть черная однократной прокатки на группы: П, Ш, Н;
- жесть белая электролитического лужения однократной прокатки на группы: П, Ш, Н, М;
- жесть черная и белая двукратной прокатки группы Ш;
по массе покрытия оловом белой жести:
- электролитического лужения с одинаковой массой оловянного покрытия по сторонам на классы: Е1,0; Е1,4; Е2,0; Е2,8; Е4,0; Е5,6; Е8,4; Е11,2;
-электролитического лужения с дифференцированной массой покрытия по сторонам на классы: Д1,0/1,4; Д1,0/2,0; Д1,0/2,8; Д1,4/2,0; Д1,4/2,8; Д1,4/4,0; Д2,0/2,8; Д2,0/4,0; Д2,0/5,6; Д2,8/4,0; Д2,8/5,6; Д2,8/8,4; Д4,0/5,6; Д4,0/8,4; Д5,6/8,4; Д5,6/11,2; Д8,4/11,2;
- горячего лужения на классы: I, II и III.
5 Сортамент
5.1 Толщина жести
5.1.1 Жесть изготовляют толщиной от 0,14 до 0,36 мм с интервалом между размерами 0,01 мм.
5.1.2 Предельные отклонения по толщине для жести марки ЖК не должны превышать ±5,0%, а для жести марки ЖР - ±10% номинальной толщины.
5.1.3 Разнотолщинность в разных точках листа или полосы в рулоне на участке длиной 1 м для жести марки ЖК не должна превышать:
0,01 мм - для жести толщиной от 0,14 до 0,28 мм включительно;
0,02 мм - для жести толщиной от 0,29 до 0,36 мм включительно.
Для жести марки ЖР допускается увеличение нормы разнотолщинности на 0,01 мм по сравнению с жестью марки ЖК.
5.2 Линейные размеры листа и полосы в рулоне
5.2.1 Жесть изготовляют:
- в рулонах шириной полосы 600-1050 мм;
- в листах шириной 600-1050 мм и длиной 400-1200 мм.
Основные типоразмеры жести приведены в таблице 1.
Таблица 1
В миллиметрах
Вид жести | Ширина листа и полосы в рулоне | Длина листа |
Черная | 712 | 512 |
724 | 820 | |
820 | 712 | |
836 | 716 | |
1000 | 712 | |
1024 | 910 | |
Белая электролитического лужения | 712 | 512 |
724 | 820 | |
820 | 712 | |
836 | 716 | |
1000 | 712 | |
1024 | 910 | |
Белая горячего лужения* | 712 | 512 |
________________ | ||
Допускается по согласованию с заказчиком:
- замена ширины листа на длину;
- изготовление жести промежуточных размеров кратностью 1 мм.
5.2.2 Предельные отклонения по ширине листов и полос в рулоне и длине листов не должны превышать значений, приведенных в таблице 2.
Таблица 2
Марка жести | Предельное отклонение, мм, не более | |
по ширине | по длине | |
ЖК | 0 | 0 |
ЖР | 0 | 0 |
5.3 Косина реза листов не должна превышать 0,20% ширины для жести марки ЖК, 0,25% - для жести марки ЖР.
5.4 Серповидность жести не должна превышать 1,0 мм на длине 1 м для полосы в рулоне или 0,15% длины листа жести марки ЖК и 2,0 мм или 0,20% соответственно - для жести марки ЖР.
5.5 Отклонение от плоскостности листов или полос в рулоне на длине 1 м для жести марки ЖК не должно превышать 5 мм, для жести марки ЖР - 10 мм.
5.6 Жесть изготовляют с обрезной кромкой. По согласованию с потребителем допускается поставка черной жести в рулонах с необрезной кромкой.
Примеры условных обозначений:
Жесть белая электролитического лужения (Э), марки ЖК, в рулонах, размерами 0,22x820 мм, однократной прокатки, с твердостью степени Т2, с отжигом в колпаковых печах (КП), класса покрытия Д2,8/5,6; с отделкой поверхности по группе П:
Рулон ЭЖК-0,22х820-Т2-КП-Д2,8/5,6-П ГОСТ Р 52204-2004
Жесть белая горячего лужения (Г), марки ЖР, в листах, размерами 0,25x712x512 мм, однократной прокатки, с твердостью степени Т3, способ отжига не оговорен, класса покрытия II:
Лист ГЖР-0,25х712х512-ТЗ-II ГОСТ Р 52204-2004
Жесть белая электролитического лужения (Э), марки ЖК, в листах, размерами 0,28x836x716 мм, однократной прокатки, с твердостью степени Т6, с отжигом в непрерывных (проходных) печах (НО), класса покрытия Е1,4, с отделкой поверхности по группе М:
Лист ЭЖК-0,28х836х716-T6-HO-E1,4-М ГОСТ Р 52204-2004
Жесть черная (Ч), марки ЖК, в листах, размерами 0,15x836x716 мм, двукратной прокатки, класса прочности ДП550, с отжигом в непрерывных (проходных) печах (НО):
Лист ЧЖК-0,15х836х716-ДП550-НО ГОСТ Р 52204-2004
6 Технические требования
6.1 Исходные материалы
6.1.1 Для изготовления жести следует использовать низкоуглеродистую сталь с химическим составом по плавочному анализу, приведенным в таблице 3.
Таблица 3
Массовая доля элементов, % | |||||||||
Углерод, не более | Марганец | Кремний | Сера | Фосфор | Хром | Никель | Медь | Азот |
|
не более | |||||||||
0,06 | 0,20-0,35 | 0,020 | 0,022 | 0,015 | 0,06 | 0,06 | 0,10 | 0,008 | 0,02-0,07 |
6.1.1.1 В готовой жести допускаются отклонения по массовой доле элементов от норм, приведенных в таблице 3, в соответствии с таблицей 4.
Таблица 4
Предельно допустимое отклонение массовой доли элементов, % | ||||||
Углерод | Марганец | Кремний | Сера | Фосфор | Хром | Никель |
+0,01 | +0,05 | +0,01 | +0,005 | +0,005 | +0,04 | +0,04 |
6.1.2 Для изготовления белой жести следует использовать олово марок О1 и О1пч по ГОСТ 860 или олово с массовой долей основного элемента не менее:
99,90% - для белой жести горячего лужения;
99,85% - для белой жести электролитического лужения.
Массовая доля примесей в олове не должна превышать значений, приведенных в таблице 5.
Таблица 5
Массовая доля олова, %, не менее | Массовая доля примесей в олове,%, не более (каждой) | Всего примесей*, %, не более | ||||||||
Мышьяк | Медь | Свинец | Висмут | Сурьма | Сера | Железо | Цинк | Алюминий | ||
99,85 | 0,01 | 0,03 | 0,04 | 0,015 | 0,015 | 0,020 | 0,020 | 0,002 | 0,002 | 0,15 |
99,90 | 0,01 | 0,01 | 0,04 | 0,015 | 0,015 | 0,010 | 0,009 | 0,002 | 0,002 | 0,10 |
________________ | ||||||||||
Олово, используемое для изготовления жести, должно быть разрешено Минздравом Российской Федерации.
6.2 Механические свойства
6.2.1 Механические свойства черной и белой жести однократной и двукратной прокатки должны соответствовать нормам, приведенным в таблице 6.
Таблица 6
Степень твердости, класс прочности | Твердость HR30TA (алмазный столик*) при толщине жести, мм | Предел текучести** | Временное сопротивление** | Относительное удлинение** | ||
<0,21 | 0,21-0,28 | >0,28 | ||||
Жесть однократной прокатки | ||||||
Т1 | <53 | <52 | <51 | 230±40 | 325±40 | 25 |
Т2 | 53±3 | 52±3 | 51±3 | 245±40 | 340±140 | 25 |
ТЗ | 56±3 | 55±3 | 54±3 | 260±40 | 360±40 | 25 |
Т4 | 58±3 | 57±3 | 56±3 | 275±40 | 375±40 | 20 |
Т5 | 60±3 | 59±3 | 58±3 | 290±40 | 390±40 | 15 |
Т6 | 62±3 | 61±3 | 60±3 | 415±40 | 435±40 | 15 |
Т7 | 66±3 | 65±3 | 64±3 | 435±40 | 460±40 | 10 |
Жесть двукратной прокатки | ||||||
ДП520 | - | 520±40 | 540±40 | 5 | ||
ДП550 | - | 550±40 | 570±40 | 1 | ||
ДП580 | - | 580±40 | 590±40 | 0,3 | ||
ДП620 | - | 620±40 | 625±40 | 0,2 | ||
ДП690 | - | 690±40 | 700±40 | 0,1 | ||
________________ | ||||||
6.3 Масса оловянного покрытия
6.3.1 Масса оловянного покрытия на белой жести горячего лужения должна соответствовать нормам, приведенным в таблице 7.
Таблица 7
Класс покрытия | Масса покрытия общая (с двух сторон), г/м | |
номинальная | минимальная | |
I | 25,0 | 23,0 |
II | 33,6 | 28,0 |
III | 39,2 | 33,5 |
6.3.2 Масса оловянного покрытия на белой жести электролитического лужения с одинаковой толщиной покрытия по сторонам должна соответствовать нормам, приведенным в таблице 8, с дифференцированным покрытием - в таблице 9.
Таблица 8
Класс покрытия | Масса покрытия, г/м | |||
номинальная | минимальная | |||
с каждой стороны | общая | с каждой стороны | общая | |
Е1,0 | 1,0/1,0 | 2,0 | 0,75/0,75 | 1,5 |
Е1,4 | 1,4/1,4 | 2,8 | 1,15/1,15 | 2,3 |
Е2,0 | 2,0/2,0 | 4,0 | 1,70/1,70 | 3,4 |
Е2,8 | 2,8/2,8 | 5,6 | 2,45/2,45 | 4,9 |
Е4,0 | 4,0/4,0 | 8,0 | 3,60/3,60 | 7,2 |
Е5,6 | 5,6/5,6 | 11,2 | 5,10/5,10 | 10,2 |
Е8,4 | 8,4/8,4 | 16,8 | 7,80/7,80 | 15,6 |
Е11,2 | 11,2/11,2 | 22,4 | 10,30/10,30 | 20,6 |
Таблица 9
Класс покрытия | Масса покрытия, г/м | |||
номинальная | минимальная | |||
с каждой стороны | общая | с каждой стороны | общая | |
Д1,0/1,4 | 1,0/1,4 | 2,4 | 0,75/1,15 | 1,90 |
Д1,0/2,0 | 1,0/2,0 | 3,0 | 0,75/1,70 | 2,45 |
Д1,0/2,8 | 1,0/2,8 | 3,8 | 0,75/2,45 | 3,20 |
Д1,4/2,0 | 1,4/2,0 | 3,4 | 1,15/1,70 | 2,85 |
Д1,4/2,8 | 1,4/2,8 | 4,2 | 1,15/2,45 | 3,60 |
Д1,4/4,0 | 1,4/4,0 | 5,4 | 1,15/3,60 | 4,75 |
Д2,0/2,8 | 2,0/2,8 | 4,8 | 1,70/2,45 | 4,15 |
Д2,0/4,0 | 2,0/4,0 | 6,0 | 1,70/3,60 | 5,30 |
Д2,0/5,6 | 2,0/5,6 | 7,6 | 1,70/5,10 | 6,80 |
Д2,8/4,0 | 2,8/4,0 | 6,8 | 2,45/3,60 | 6,05 |
Д2,8/5,6 | 2,8/5,6 | 8,4 | 2,45/5,10 | 7,55 |
Д2,8/8,4 | 2,8/8,4 | 11,2 | 2,45/7,80 | 10,25 |
Д4,0/5,6 | 4,0/5,6 | 9,6 | 3,60/5,10 | 8,90 |
Д4,0/8,4 | 4,0/8,4 | 12,4 | 3,60/7,80 | 11,40 |
Д5,6/8,4 | 5,6/8,4 | 14,0 | 5,10/7,80 | 12,90 |
Д5,6/11,2 | 5,6/11,2 | 16,8 | 5,10/10,30 | 15,40 |
Д8,4/11,2 | 8,4/11,2 | 19,6 | 7,80/10,30 | 18,10 |
6.3.3 Превышение норм массы покрытия, указанных в таблицах 7-9, не является браковочным признаком.
6.4 Качество отделки поверхности жести
6.4.1 Черную жесть и белую жесть электролитического лужения однократной прокатки следует выпускать со следующими видами отделки поверхности:
- П - полированная поверхность для черной жести; для белой жести электролитического лужения - черная жесть с полированной поверхностью и оплавленным оловянным покрытием; шероховатость поверхности черной жести поперек направления прокатки - 0,40 мкм;
- Ш - шлифованная поверхность для черной жести; для белой жести электролитического лужения - черная жесть с шлифованной поверхностью и оплавленным оловянным покрытием; шероховатость поверхности черной жести поперек направления прокатки - 0,63 мкм;
- Н - насеченная поверхность для черной жести; для белой жести электролитического лужения - черная жесть с насеченной поверхностью и оплавленным оловянным покрытием; шероховатость поверхности черной жести не нормируется;
- М (только для белой жести электролитического лужения) - черная жесть с поверхностью групп Ш или Н с неоплавленным оловянным покрытием.
6.4.2 Для черной и белой жести двукратной прокатки отделку поверхности осуществляют только по группе Ш.
6.5 Требования к качеству поверхности
6.5.1 Требования к черной жести
Характеристика поверхности и допустимые дефекты приведены в таблице 10.
Таблица 10
Вид и марка жести; группа отделки поверхности | Характеристика поверхности | Допустимые дефекты поверхности на 1 листе или 1 м длины полосы |
ЧЖК; П, Ш, Н | Поверхность должна быть гладкой, чистой, без пятен ржавчины, плен, расслоений и загрязнений | Отдельные отпечатки от валков и роликов, рванины на кромках глубиной не более 1,5 мм, легкие царапины и скобки, цвета побежалости, легкая разнотонность и налет коррозии, не препятствующие выявлению поверхностных дефектов |
ЧЖР; П, Ш, Н | Поверхность должна быть гладкой, чистой, без пятен ржавчины, плен, расслоений и загрязнений | Кроме дефектов, указанных для жести марки ЖК, допускаются: рванины на кромках глубиной не более 5 мм, темные пятна, проколы не более 6 шт., заусенцы высотой не более половины толщины жести, для рулонов - выступающие витки не более 5 мм; для листов - загнутые уголки со стороной до 25 мм, мятость и скобки без заворотов и рванин |
6.5.2 Требования к белой жести электролитического лужения
Характеристика поверхности и допустимые дефекты оловянного покрытия приведены в таблице 11.
Таблица 11
Вид и марка жести; группа отделки поверхности | Характеристика поверхности | Допустимые дефекты поверхности на 1 листе или 1 м длины полосы |
ЭЖК; П, Ш, Н, М | Поверхность должна быть блестящей (для групп поверхности П и Ш), чистой, без пятен ржавчины, незалуженных участков, плен | Отдельные незначительные дефекты, не нарушающие целостность оловянного покрытия: разнотонность оловянного покрытия, легкие царапины, потертости, скобки, капли олова диаметром не более 1 мм, пузырьки диаметром не более 1 мм в количестве не более 3 шт., неоплавленная кромка шириной до 3 мм, рванины на кромках глубиной не более 1,5 мм, до двух загнутых уголков размером стороны не более 2 мм или отсутствие уголков того же размера, отпечатки от валков, надавы. На поверхности жести классов покрытия Е1,0-Е2,0 допускается древовидный рисунок |
ЭЖР; П, Ш, Н, М | Поверхность должна быть блестящей (для групп поверхности П и Ш), чистой с отдельными дефектами поверхности | Кроме дефектов, указанных для жести марки ЖК, допускаются: царапины, скобки, два загнутых уголка размером стороны до 25 мм или отсутствие уголков того же размера, темные шероховатые осадки олова площадью не более 30 см |
6.5.3 Требования к белой жести горячего лужения
Характеристика поверхности и допустимые дефекты оловянного покрытия приведены в таблице 12.
Таблица 12
Вид и марка жести | Характеристика поверхности | Допустимые дефекты поверхности на 1 листе или 1 м длины полосы |
ГЖК | Поверхность должна быть чистой, блестящей, без пятен ржавчины, незалуженных участков, плен и загрязнений | Незначительные дефекты, не нарушающие целостность покрытия, разнотонность оловянного покрытия, легкие надавы и отпечатки от валков, отдельные поверхностные загрязнения в виде точек, легкие царапины и скобки, крупинки олова диаметром до 2 мм, пузырьки диаметром до 2 мм в количестве не более 3 шт., рванины на кромках глубиной не более 1,5 мм, наплывы олова (облой) на кромках листов шириной не более 3 мм, до двух загнутых уголков размером стороны не более 2 мм или отсутствие уголков того же размера |
ГЖР | Поверхность должна быть чистой, с отдельными дефектами поверхности | Кроме дефектов, указанных для жести марки ЖК, допускаются: поверхностные царапины и скобки, непролуженные пятна общей площадью не более 50 см |
6.6 Жесть горячего лужения марки ЖК класса покрытия I не должна иметь более пяти пор, классов покрытия II и III - более трех пор на 1 см поверхности.
Для жести горячего лужения марки ЖР всех классов покрытия количество пор на поверхности не нормируют.
6.7 Белую жесть электролитического лужения следует подвергать пассивации и промасливанию.
6.8 Изготовитель гарантирует, что для черной и белой жести марки ЖК доля полосы в рулоне, соответствующая требованиям настоящего стандарта к марке ЖК, должна быть не менее 85%, к марке ЖР - не более 15%. Сварные швы не вырезают. В рулоне не допускается более двух, отмеченных закладками, сварных швов.
6.9 Обозначение стороны с большей массой покрытия на жести с дифференцированным покрытием следует осуществлять путем нанесения двух продольных полос в центральной части полосы до порезки на листы. Допускаются по согласованию с потребителем другие способы обозначения дифференцированного покрытия или указание стороны с большей массой покрытия на ярлыке.
6.10 Маркировка и упаковка
6.10.1Маркировка и упаковка - по ГОСТ 7566 со следующими дополнениями.
6.10.2 Листы жести упаковывают в пачки. Пачка жести должна состоять из листов в количестве, кратном 50, уложенных на одном поддоне.
6.10.3 Для листовой жести допускается в пачке жести марки ЖК не более 3,5% листов, имеющих отклонения от плоскостности, по толщине, длине листа, а также дефекты поверхности и покрытия в пределах норм, установленных для жести марки ЖР; мятость кромок и скобки без заворотов и рванин, рванины на кромках глубиной не более 5 мм, заусенцы высотой не более половины толщины жести.
6.10.4 Количество листов в пачках одной партии должно быть одинаковым. Масса брутто одной пачки не должна превышать 1,5 т.
6.10.5 Упаковка листовой и рулонной жести должна предотвращать попадание внутрь упаковки атмосферных осадков и обеспечить сохранность жести при транспортировании и хранении. Рекомендуемые схемы упаковки листов и рулонов жести приведены в приложении А.
6.10.6 Размеры рулонов и их масса приведены в таблице 13.
Таблица 13
Ширина полосы, мм | Внутренний диаметр рулонов, мм | Максимальный наружный диаметр | Масса брутто, кг, не более, для транспорта вида | |
закрытого | открытого | |||
От 600 до 1050 | 400, 500 | До 1200 | 1500 | 15000 |
Примечание - По согласованию изготовителя с потребителем допускается транспортирование закрытым видом транспорта рулонов большим наружным диаметром и большей массой брутто. | ||||
6.10.7 При транспортировании жести в районы Крайнего Севера и приравненные к ним местности упаковку проводят в соответствии с ГОСТ 15846.
7 Правила приемки
7.1 Общие правила приемки - по ГОСТ 7566.
Жесть принимают партиями.
7.2 Партия должна состоять из жести одного вида, одной марки, одной толщины, одних линейных размеров, одного способа прокатки, одной степени твердости или одного класса прочности, одной группы отделки поверхности, одного способа отжига и одного класса покрытия. Партию оформляют одним документом о качестве.
В документе о качестве указывают:
- товарный знак предприятия-изготовителя;
- вид и марку жести;
- толщину жести;
- линейные размеры жести;
- способ прокатки, степень твердости или класс прочности;
- способ отжига;
- группу отделки поверхности;
- класс покрытия (для белой жести);
- знак "ТМ" и теоретическую массу;
- число пачек или рулонов;
- результаты испытаний на соответствие жести требованиям стандарта;
- дату изготовления;
- обозначение настоящего стандарта;
- наименование потребителя.
7.3 Для проверки показателей качества жести из партии отбирают 1% массы или площади партии, но не менее одной пачки или одного рулона.
7.4 Объем выборки
7.4.1 Рулоны
Проверку размеров и отклонений формы проводят на внешней части рулона. Проверку качества поверхности проводят в потоке технологических линий и осмотром внешней части рулона.
От каждого контрольного рулона отбирают два отрезка полосы длиной не менее 1 м для проверки отклонений формы, массы оловянного покрытия, твердости и механических свойств, шероховатости.
7.4.2 Листы
Из разных мест контрольной пачки отбирают 1% листов для проверки качества поверхности. Проверку линейных размеров и отклонений формы проводят на половине листов, отобранных для оценки качества поверхности.
Для проверки механических свойств, массы покрытия оловом, шероховатости, пористости (для жести горячего лужения) отбирают по 2 листа от контрольной пачки.
8 Методы испытаний
8.1 Качество поверхности листов и рулонов на соответствие требованиям 6.5 проверяют внешним осмотром без применения увеличительных приборов.
8.2 Толщину жести и разнотолщинность на соответствие 5.1 определяют не менее чем в пяти точках, равномерно расположенных поперек направления прокатки, на расстоянии от кромки не менее 15 мм скобой с отсчетным устройством по ГОСТ 11098 с погрешностью не более 0,002 мм или другими средствами измерения, обеспечивающими указанную погрешность измерения. Результат измерения записывают в миллиметрах с тремя значащими цифрами после запятой.
При определении толщины за результат испытания принимают среднеарифметическое значение. Результат в миллиметрах округляют до второй значащей цифры после запятой.
При оценке разнотолщинности за результат испытания принимают максимальную разность между результатами отдельных измерений в миллиметрах, округляя его до второй значащей цифры после запятой.
8.3 Линейные размеры листовой и рулонной жести на соответствие 5.2 проверяют измерительной металлической линейкой по ГОСТ 427, металлической рулеткой по ГОСТ 7502 или другими измерительными инструментами с погрешностью измерения не более 0,5 мм.
Измерение ширины листов и рулонов проводят под прямым углом к направлению прокатки через середину листа или отрезка полосы, лежащих на плоской подставке.
Измерение длины листа проводят параллельно направлению прокатки посередине листа, лежащего на плоской подставке.
8.4 Измерение косины реза, серповидности и отклонений от плоскостности на соответствие 5.3, 5.4, 5.5 проводят по ГОСТ 26877.
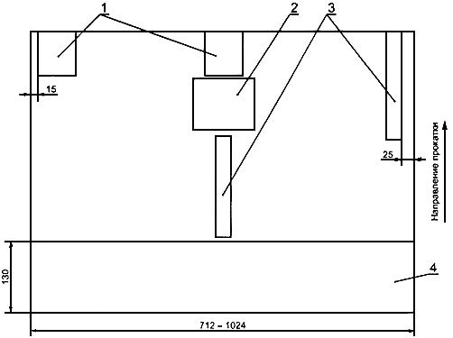
8.5 Заготовки и образцы для испытаний вырезают из листа или отрезка полосы в соответствии с рисунками 1 и 2. Предельно допустимые отклонения линейных размеров заготовок и образцов - от 0 до +2 мм.
Рисунок 1 - Вырезка заготовок и образцов из листов и полос черной жести и белой жести электролитического лужения

1 - образцы 70x70 мм для измерения твердости на жести однократной прокатки; 2 - образец 100x100 мм
для определения шероховатости; 3 - заготовка 25x200 мм для испытаний механических свойств жести
однократной и двукратной прокатки; 4 - заготовка шириной 130 мм либо 260 мм
для определения массы оловянного покрытия
Рисунок 1 - Вырезка заготовок и образцов из листов и полос черной жести и белой жести электролитического лужения
Рисунок 2 - Вырезка заготовок и образцов из листов белой жести горячего лужения

1 - образцы 70x70 мм для измерения твердости; 2 - образцы 100x100 мм для определения
пористости покрытия; 3 - заготовка шириной 130 мм для определения массы оловянного покрытия;
4 - заготовка 25x200 мм для испытаний механических свойств
Рисунок 2 - Вырезка заготовок и образцов из листов белой жести горячего лужения
8.6 Измерение твердости на соответствие 6.2.1 проводят методом Супер-Роквелла в соответствии с приложением Б. Измерение проводят после снятия защитных покрытий и удаления смазки.
8.7 Определение механических свойств жести на соответствие 6.2 проводят на образцах шириной 12,5 мм и начальной расчетной длиной 50 мм по ГОСТ 11701. Испытания образцов белой жести проводят после снятия покрытия по методике, изложенной в Б.1.3 приложения Б. За результат испытаний принимают среднеарифметическое значение испытаний по двум образцам.
8.8 Измерение шероховатости на соответствие 6.4.1 проводят по ГОСТ 2789 поперек направления прокатки контактными профилографами-профилометрами по ГОСТ 19300. За результат испытаний принимают среднеарифметическое значение шероховатости каждой стороны, измеренной на двух образцах. Изготовитель может не проводить контроль шероховатости белой жести при условии гарантии этой характеристики в соответствии с 6.4.1.
При проверке шероховатости на белой жести электролитического лужения оловянное покрытие снимают по методике, изложенной в Б.1.3 приложения Б.
8.9 Измерение массы оловянного покрытия на соответствие 6.3 проводят йодометрическим методом с погрешностью не более ±0,1 г/м по методике, приведенной в приложении В.
Допускается использование других методов определения массы оловянного покрытия, имеющих необходимую точность. При любом методе определения массы оловянного покрытия площадь, на которой проводят измерение, не должна быть менее 6000 мм, а зоны измерения должны равномерно распределяться по ширине полосы, исключая кромочные участки шириной 25 мм.
При возникновении разногласий массу оловянного покрытия определяют йодометрическим методом.
8.10 Испытание на пористость жести горячего лужения марки ЖК на соответствие 6.6 проводят по методике, приведенной в приложении Г.
8.11 Определение теоретической массы и площади
8.11.1 Площадь листовой жести определяют умножением номинальных размеров листов с прибавлением к каждому размеру половины предельного отклонения.
Площадь рулонной жести определяют умножением длины полосы в рулоне на ширину полосы с прибавлением половины предельного отклонения по ширине полосы.
8.11.2 Значения теоретической массы и площади листовой и рулонной жести в зависимости от ее линейных размеров приведены в приложении Д.
8.12 При определении механических свойств допускается применение неразрушающего контроля магнитным методом в соответствии с ГОСТ 30415.
9 Транспортирование и хранение
9.1 Транспортирование и хранение - по ГОСТ 7566 со следующими дополнениями.
9.2 Транспортная маркировка - по ГОСТ 14192.
9.3 К каждой единице транспортной тары прикрепляют ярлык, в котором указывают:
- товарный знак предприятия-изготовителя;
- вид жести;
- марку жести;
- толщину и линейные размеры жести;
- степень твердости или класс прочности;
- группу поверхности;
- класс покрытия (для белой жести);
- количество листов в пачке или количество метров полосы в рулоне;
- количество швов для жести в рулонах;
- теоретическую или фактическую массу жести в пачке или рулоне;
- при отгрузке по теоретической массе - знак "ТМ";
- номер партии;
- номер сортировщика, контролера отдела технического контроля;
- номер упаковщика или номер бригады;
- дату изготовления;
- обозначение настоящего стандарта.
По согласованию с потребителем допускается поставка жести по фактической массе. При поставке жести по фактической массе количество листов в пачке или количество метров полосы в рулоне на ярлыке и в документе о качестве не указывают.
9.4 С наружной стороны упаковочной тары несмываемой краской наносят данные из ярлыка или наклеивают второй экземпляр этого ярлыка. Для жести, предназначенной для длительного хранения, маркировку наносят с наружной стороны упаковочной тары несмываемой краской с дополнительным указанием массы нетто каждого места.
9.5 Транспортирование жести проводят всеми видами транспорта в крытых и открытых транспортных средствах в соответствии с правилами перевозки грузов, действующими на данном виде транспорта, и условиями погрузки и крепления грузов, утвержденными Министерством путей сообщения РФ. Отгрузка в открытых транспортных средствах разрешается по согласованию с потребителем.
9.6 При транспортировании рулонов водным транспортом упаковку проводят с вертикальной осью.
9.7 Хранение жести проводят в сухих закрытых помещениях в условиях, исключающих попадание на нее влаги.
9.8 На предприятиях, осуществляющих длительное хранение, жесть должна храниться при температуре воздуха не ниже плюс 4 °С и относительной влажности воздуха не более 80%.
10 Гарантии изготовителя
10.1 Изготовитель гарантирует соответствие жести требованиям настоящего стандарта при соблюдении условий транспортирования и хранения.
10.2 Гарантийный срок хранения жести с даты изготовления - один год.
По истечении срока хранения проводят дополнительную проверку жести на соответствие требованиям настоящего стандарта.
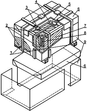
ПРИЛОЖЕНИЕ А (рекомендуемое). Схемы упаковки жести
ПРИЛОЖЕНИЕ А
(рекомендуемое)
Рисунок А.1 - Схема упаковки листов черной жести

1 - поддон;
2 - разъемный кожух; 3 - замки; 4 - металлическая крышка; 5 - обвязки;
6 - уголки; 7 - пачка листов черной жести
Рисунок А.1 - Схема упаковки листов черной жести
Рисунок А.2 - Схема упаковки листов белой жести

1 - поддон;
2 - уголки;
3 - замки;
4 - обвязки;
5 - лист коробочного картона или бракованный
лист жести; 6 - металлическая крышка; 7 - упаковочный материал; 8 - пачка листов белой жести;
9 - разъемный кожух
Рисунок А.2 - Схема упаковки листов белой жести
Рисунок А.3 - Схема упаковки рулонов черной и белой жести с горизонтальной осью

1 - рулон черной или белой жести с горизонтальной осью; 2 - упаковочный материал;
3 - металлическая упаковка; 4 - обвязки; 5 - замки; 6 - поддон
Рисунок А.3 - Схема упаковки рулонов черной и белой жести с горизонтальной осью
Рисунок А.4 - Схема упаковки рулонов черной и белой жести с вертикальной осью

1 - поддон;
2 - рулон черной или белой жести с вертикальной осью; 3 - упаковочный материал;
4 - замки; 5 - обвязки; 6 - лист коробочного картона или бракованный лист жести
Рисунок А.4 - Схема упаковки рулонов черной и белой жести с вертикальной осью
ПРИЛОЖЕНИЕ Б (обязательное). Метод определения твердости по Супер-Роквеллу
ПРИЛОЖЕНИЕ Б
(обязательное)
Б.1 Подготовка образцов
Б.1.1 Образцы жести для контроля твердости вырезают из каждого контрольного листа или отрезка полосы по схемам, приведенным на рисунках 1 и 2 настоящего стандарта.
Б.1.2 Образец должен быть плоским, с чистой сухой поверхностью, без царапин, выбоин, следов смазки, ржавчины или каких-либо покрытий. Образцы с изогнутой поверхностью, следами деформации, а также с промасленной поверхностью к испытаниям на твердость не допускаются.
Б.1.3 Оловянное покрытие снимают в подогретом до 50 °С-70 °С водном растворе смеси гидроокиси натрия и метанитробензойной кислоты. Раствор приготавливают, растворяя в 1 л дистиллированной воды по ГОСТ 6709 50 г гидроокиси натрия по ГОСТ 4328 и 25 г метанитробензойной кислоты по НД. Допускается использование для снятия олова других растворов, не вызывающих растравливания стальной основы.
После снятия покрытия образцы промывают водой и протирают спиртом по ГОСТ 18300.
Б.2 Средства измерений
Б.2.1 Измерение твердости проводят на приборе типа ТКС-1 или других аналогичных приборах, которые прошли испытания и внесены в Государственный реестр средств измерений в соответствии с [1].
Б.2.2 Измерение твердости проводят по шкале 30Т при нагрузке 294 Н (30 кгс) шариком диаметром 1,588 мм на точечном опорном столике с алмазной контактной поверхностью.
Б.3 Проведение измерений
Б.3.1 Измерение твердости должно проводиться с соблюдением указаний, приведенных в инструкции по эксплуатации используемого прибора.
Б.3.2 Центры отпечатков следует располагать на расстоянии не менее 6 мм друг от друга или от кромки образца.
Б.3.3 На обратной стороне испытуемого образца допускаются заметные следы отпечатков.
Б.3.4 После каждой замены наконечника проводят проверку показаний прибора с помощью образцовых мер твердости.
Б.3.5 Оценку твердости проводят в условных единицах в зависимости от глубины проникновения шарика в испытуемое тело под действием двух последовательно прилагаемых нагрузок: предварительной - 29,4 Н (3 кгс) и основной - 294 Н (30 кгс).
Б.3.6 Отсчет результатов измерения твердости проводят по шкале индикатора автоматического снятия основной нагрузки (в приборе это фиксируется щелчком) при продолжающемся действии предварительной нагрузки.
Числом твердости считают показание стрелки на шкале индикатора в целых единицах с округлением до ближайшего целого числа.
Б.3.7 За результат измерения принимают среднеарифметическое значение не менее трех определений твердости, полученных на одном образце.
Первые два измерения на образцах после смены наконечника или опорного точечного столика в расчет не принимают.
Б.3.8 Общий разброс значений твердости на испытуемом образце не должен превышать 4 ед. Если разброс составляет более 4 ед., допускается повторное измерение.
Б.3.9 За результат испытания принимают среднеарифметическое значение результатов измерения твердости на четырех образцах.
ПРИЛОЖЕНИЕ В (обязательное). Йодометрический метод определения массы оловянного покрытия жести
ПРИЛОЖЕНИЕ В
(обязательное)
В.1 Сущность метода
Метод основан на реакции окисления йодом двухвалентного олова в солянокислой среде.
В.2 Лабораторная стеклянная посуда, реактивы и растворы
Пипетки с одной отметкой по ГОСТ 29169.
Бюретки по ГОСТ 29251.
Бюретки без времени ожидания по ГОСТ 29252.
Кислота соляная по ГОСТ 3118, плотность 1,19 г/см.
Кальций углекислый по ГОСТ 4530.
Калий йодистый по ГОСТ 4232.
Калий йодноватокислый по ГОСТ 4202.
Калия гидроокись по ГОСТ 24363.
Сурьма треххлористая по НД.
Крахмал растворимый по ГОСТ 10163, 1%-ный раствор свежеприготовленный.
Вода дистиллированная по ГОСТ 6709.
Олово по ГОСТ 860.
Свинец марки С0 по ГОСТ 3778.
Цинк гранулированный по НД.
Трехокись сурьмы по НД.
Все реактивы должны иметь квалификацию не ниже ч.д.а.
В.3 Рабочие растворы для титрования
В 3.1 Йодид-йодатная смесь, титрованный раствор: навеску йодноватокислого калия 5,1 г помещают в мерную колбу вместимостью 1000 см. Приливают 500 см
дистиллированной воды. После полного растворения добавляют 0,2 г гидроокиси калия. Раствор перемешивают. Добавляют 80 г йодистого калия. После полного растворения йодистого калия объем раствора доводят дистиллированной водой до 1000 см
.
В.3.2 Калибровочный раствор олова: 7 г олова в виде пластин или мелкого порошка растворяют в 500 см соляной кислоты в конической колбе вместимостью 1000 см
без нагревания в вытяжном шкафу, прикрыв колбу воронкой. Изредка раствор взбалтывают. После полного растворения олова (прекращения выделения пузырьков газа) объем раствора доводят до 1000 см
дистиллированной водой. Масса олова в 1 см
раствора равна 0,007 г.
В.3.3 Определение титра рабочего раствора по олову (массовой концентрации раствора йодид-йодатной смеси): пипеткой отбирают 10-20 см или 5 см
(для жести с покрытием 2,0 г/м
и менее) стандартного раствора олова, помещают в коническую колбу вместимостью 250 см
, добавляют 70 см
дистиллированной воды, восемь гранул металлического цинка (4-5 г) или 10-15 г свинца без мышьяка, колбу закрывают пробкой с клапаном. Раствор выдерживают при слабом нагревании, пока олово не восстановится до губчатого состояния. Затем помещают в колбу 1-2 кусочка мрамора (углекислого кальция), добавляют 80 см
соляной кислоты (плотность 1,19 г/см
) и нагревают до полного растворения губки. Затем еще раз помещают мрамор и раствор охлаждают проточной водой (в вытяжном шкафу). После охлаждения содержимое колбы титруют раствором йодид-йодатной смеси в присутствии 1-2 см
раствора крахмала массовой долей 1%. Титрование заканчивают после достижения устойчивой синей окраски.
Титр рабочего раствора , г/см
олова, вычисляют по формуле
, (B.1)
где - масса олова в 1 см
стандартного раствора, г;
- объем стандартного раствора, взятый для титрования, см
;
- объем раствора йодид-йодатной смеси, израсходованный на титрование, см
.
Определение титра проводят по трем-пяти пробам; объемы растворов, израсходованных на титрование, не должны отличаться более чем на 0,2 см. За окончательный результат принимают среднеарифметическое значение полученных результатов.
В.4 Подготовка образцов
В.4.1 Для определения массы оловянного покрытия на жести горячего лужения и электролитически луженой жести из каждого листа или отрезка полосы вырезают заготовки по схемам, приведенным на рисунках 1 и 2 настоящего стандарта.
В.4.2 Для определения массы оловянного покрытия на электролитически луженой жести с одинаковой толщиной покрытия по сторонам из каждой заготовки калиброванным штампом на равном расстоянии друг от друга выштамповывают 10 или 20 образцов диаметром (20±0,5) мм.
В.4.3 Для определения массы оловянного покрытия на электролитически луженой жести с дифференцированным покрытием на вырезанной заготовке с одной из сторон удаляют олово наждачной бумагой или методом химического растворения. При возникновении разногласий олово удаляют методом химического растворения. После снятия олова с одной из сторон выштамповывают образцы по В.4.2.
В.4.4 Растворитель для снятия олова: 32 г треххлористой сурьмы или 20 г трехокиси сурьмы растворяют в 1000 см соляной кислоты плотностью 1,19 г/см
.
Растворителем при помощи ваты удаляют олово с одной стороны полоски, затем выштамповывают 10 или 20 образцов диаметром (20±0,5) мм и определяют массу покрытия. Определение массы оловянного покрытия с другой стороны проводят аналогично.
В. 5 Проведение анализа
В.5.1 В колбу вместимостью 100 см наливают 10 см
или 20 см
соляной кислоты и нагревают до кипения. В кипящий раствор опускают кусочек мрамора (углекислого кальция) и образцы жести. Колбу закрывают пробкой с клапаном и выдерживают в течение 5 мин при слабом нагревании.
В.5.2 В полученный раствор опускают кусочек мрамора и добавляют 50 см свежекипяченой и охлажденной дистиллированной воды.
В.5.3 После охлаждения приливают 1-2 см раствора крахмала массовой долей 1% и титруют до неисчезающей синей окраски раствором йодид-йодатной смеси.
В.6 Обработка результатов измерений
В.6.1 Общую массу оловянного покрытия , г/м
, для каждой заготовки жести с одинаковым покрытием по сторонам вычисляют по формуле
, (В.2)
где - объем раствора, израсходованный на титрование, см
;
- титр рабочего раствора, г/см
олова;
- суммарная площадь (по фактическому диаметру) 10 образцов жести или 20 образцов (для жести с покрытиями массой 2,0 г/м
и менее), см
(площадь считается с одной стороны).
В.6.2 За результат испытания принимают среднеарифметическое значение результатов измерений массы покрытия на образцах от двух заготовок.
В.6.3 Массу оловянного покрытия по сторонам , г/м
, для каждой заготовки жести с дифференцированным покрытием вычисляют по формуле
, (В.3)
где - объем раствора, израсходованный на титрование, см
;
- титр рабочего раствора, г/см
олова;
- суммарная площадь (по фактическому диаметру) 10 образцов жести или 20 образцов (для жести с покрытиями массой 2,0 г/м
и менее), см
.
В.6.4 Для жести с дифференцированным покрытием массу олова определяют последовательно на каждой стороне и одновременно проводят контрольную проверку массы оловянного покрытия определением общего количества олова на обеих сторонах листа по методике определения и расчета, изложенной в В.6.1. Результат должен соответствовать сумме масс оловянного покрытия, полученных на каждой стороне образца. Результат контрольной проверки общей массы оловянного покрытия с двух сторон - не более ±5% суммы масс оловянного покрытия, полученных на каждой стороне.
В.6.5 Результат испытаний вычисляют аналогично В.6.2.
ПРИЛОЖЕНИЕ Г (обязательное). Метод определения пористости на белой жести горячего лужения
ПРИЛОЖЕНИЕ Г
(обязательное)
Г.1 Подготовка образцов
Из каждого контрольного листа вырезают образцы по схеме, приведенной на рисунке 2 настоящего стандарта.
Г.2 Аппаратура и реактивы
Посуда лабораторная стеклянная по ГОСТ 23932.
Желатин по ГОСТ 11293.
Калий железосинеродистый по ГОСТ 4206.
Кислота серная по ГОСТ 4204 с молярной концентрацией эквивалента 0,5 моль/дм.
Спирт этиловый ректифицированный технический по ГОСТ 18300.
Дистиллированная вода по ГОСТ 6709.
Г.3 Приготовление растворов
Раствор А: 20 г желатина заливают 500 см дистиллированной воды и оставляют набухать. Затем нагревают при помешивании на водяной бане при температуре 65 °С-70 °С до образования коллоидного раствора.
Раствор Б: 2 г железосинеродистого калия растворяют в 290 см дистиллированной воды. Затем к раствору добавляют 10 см
серной кислоты с молярной концентрацией эквивалента 0,5 моль/дм
и 200 см
этилового спирта.
Раствор для определения пористости: в раствор А при помешивании приливают раствор Б.
Г.4 Проведение измерений
Перед проведением испытаний на пористость образцы промывают в горячей воде и протирают спиртом. На центральную часть образца накладывают лист фильтровальной бумаги по ГОСТ 12026 размером не менее 70x70 мм, обильно смоченный раствором для определения пористости по Г.3. Подсчет пор проводят через 10 мин по выявившимся на поверхности образца жести или наложенного листа фильтровальной бумаги (со стороны образца жести) синим точкам.
Г.5 Обработка результатов
Количество пор на поверхности в 1 см
определяют по формуле
, (Г.1)
где - количество пор на поверхности наложенной фильтровальной бумаги;
- площадь наложенной фильтровальной бумаги, см
.
ПРИЛОЖЕНИЕ Д (обязательное). Теоретическая масса и площадь листовой и рулонной жести
ПРИЛОЖЕНИЕ Д
(обязательное)
Таблица Д.1
Номи- нальные размеры листов, мм | Пло- щадь лис- тов, | Масса 1000 листов, кг, при толщине жести, мм | ||||||||||||||||||||||
0,14 | 0,15 | 0,16 | 0,17 | 0,18 | 0,19 | 0,20 | 0,21 | 0,22 | 0,23 | 0,24 | 0,25 | 0,26 | 0,27 | 0,28 | 0,29 | 0,30 | 0,31 | 0,32 | 0,33 | 0,34 | 0,35 | 0,36 | ||
712x512 | 366,4 | 403 | 431 | 460 | 489 | 518 | 546 | 575 | 604 | 633 | 662 | 690 | 719 | 748 | 777 | 805 | 834 | 863 | 892 | 920 | 949 | 978 | 1007 | 1035 |
712x820 | 586,1 | 644 | 690 | 736 | 782 | 828 | 874 | 920 | 966 | 1012 | 1058 | 1104 | 1150 | 1196 | 1242 | 1288 | 1334 | 1380 | 1426 | 1472 | 1518 | 1564 | 1610 | 1656 |
724x820 | 596,0 | 655 | 702 | 749 | 795 | 842 | 889 | 936 | 983 | 1029 | 1076 | 1123 | 1170 | 1216 | 1263 | 1310 | 1537 | 1404 | 1450 | 1497 | 1544 | 1591 | 1638 | 1684 |
836x716 | 600,9 | 660 | 708 | 755 | 802 | 849 | 896 | 943 | 991 | 1038 | 1085 | 1132 | 1179 | 1226 | 1274 | 1321 | 1368 | 1415 | 1462 | 1509 | 1557 | 1604 | 1651 | 1698 |
1000x712 | 714,6 | 785 | 841 | 898 | 957 | 1010 | 1066 | 1122 | 1178 | 1234 | 1290 | 1346 | 1402 | 1458 | 1515 | 1571 | 1627 | 1683 | 1739 | 1795 | 1851 | 1907 | 1963 | 2019 |
1024x910 | 934,7 | 1027 | 1101 | 1174 | 1247 | 1321 | 1394 | 1468 | 1541 | 1614 | 1688 | 1761 | 1834 | 1908 | 1981 | 2055 | 2128 | 2201 | 2275 | 2348 | 2421 | 2495 | 2568 | 2642 |
Таблица Д.2
Ши- рина по- лосы, мм | Пло- щадь 1000 м поло- сы, м | Масса 1000 м полосы, кг, при толщине рулонной жести, мм | ||||||||||||||||||||||
0,14 | 0,15 | 0,16 | 0,17 | 0,18 | 0,19 | 0,20 | 0,21 | 0,22 | 0,23 | 0,24 | 0,25 | 0,26 | 0,27 | 0,28 | 0,29 | 0,30 | 0,31 | 0,32 | 0,33 | 0,34 | 0,35 | 0,36 | ||
712 | 713,5 | 784 | 840 | 896 | 952 | 1008 | 1064 | 1120 | 1176 | 1232 | 1288 | 1344 | 1400 | 1456 | 1512 | 1568 | 1624 | 1680 | 1736 | 1792 | 1848 | 1904 | 1960 | 2016 |
724 | 725,5 | 797 | 854 | 911 | 968 | 1025 | 1082 | 1139 | 1196 | 1253 | 1310 | 1367 | 1424 | 1481 | 1538 | 1595 | 1652 | 1709 | 1766 | 1822 | 1879 | 1936 | 1993 | 2050 |
820 | 821,5 | 903 | 967 | 1032 | 1096 | 1161 | 1225 | 1290 | 1354 | 1419 | 1483 | 1548 | 1612 | 1677 | 1741 | 1806 | 1870 | 1935 | 1999 | 2064 | 2128 | 2193 | 2257 | 2322 |
836 | 837,5 | 920 | 986 | 1052 | 1118 | 1183 | 1249 | 1315 | 1381 | 1446 | 1512 | 1578 | 1644 | 1709 | 1775 | 1840 | 1907 | 1972 | 2038 | 2104 | 2170 | 2235 | 2301 | 2367 |
1000 | 1001,5 | 1101 | 1179 | 1258 | 1337 | 1415 | 1494 | 1572 | 1651 | 1730 | 1808 | 1887 | 1965 | 2044 | 2123 | 2201 | 2280 | 2359 | 2437 | 2516 | 2594 | 2673 | 2752 | 2830 |
1024 | 1025,5 | 1127 | 1208 | 1288 | 1369 | 1449 | 1530 | 1610 | 1691 | 1771 | 1852 | 1932 | 2013 | 2093 | 2174 | 2254 | 2335 | 2415 | 2496 | 2576 | 2657 | 2737 | 2818 | 2898 |
Электронный текст документа
подготовлен АО "Кодекс" и сверен по:
официальное издание
М.: ИПК Издательство стандартов, 2004
Редакция документа с учетом
изменений и дополнений подготовлена
АО "Кодекс"
Разместите заказ
сами сделают вам предложение
