ГОСТы сталей. ГОСТ 21427.2-83
ГОСТ 21427.2-83
Группа В33
МЕЖГОСУДАРСТВЕННЫЙ СТАНДАРТ
СТАЛЬ ЭЛЕКТРОТЕХНИЧЕСКАЯ ХОЛОДНОКАТАНАЯ
ИЗОТРОПНАЯ ТОНКОЛИСТОВАЯ
Технические условия
Cold-rolled isotropic electrical-sheet steel. Specifications
МКС 77.140.50
ОКП 09 8800
Дата введения 1984-01-01
ИНФОРМАЦИОННЫЕ ДАННЫЕ
1. РАЗРАБОТАН И ВНЕСЕН Министерством металлургии СССР
2. УТВЕРЖДЕН И ВВЕДЕН В ДЕЙСТВИЕ Постановлением Государственного комитета СССР по стандартам от 21.06.83 N 2610
3. ВЗАМЕН ГОСТ 21427.2-75
4. СТАНДАРТ ПОЛНОСТЬЮ СООТВЕТСТВУЕТ СТ СЭВ 101-85
5. ССЫЛОЧНЫЕ НОРМАТИВНО-ТЕХНИЧЕСКИЕ ДОКУМЕНТЫ
Обозначение НТД, на который дана ссылка | Номер пункта |
ГОСТ 427-75 | 4.2 |
ГОСТ 2999-75 | 4.7 |
ГОСТ 4381-87 | 4.2 |
ГОСТ 6507-90 | 4.2 |
ГОСТ 7566-94 | 3.1; 3.4; 5.1; 5.1.3 |
ГОСТ 11701-84 | 4.6 |
ГОСТ 12119.0-98 - ГОСТ 12119.8-98 | 4.8; 4.10; 4.15 |
ГОСТ 26877-91 | 4.3 |
6. Ограничение срока действия снято по протоколу N 5-94 Межгосударственного совета по стандартизации, метрологии и сертификации (ИУС 11-12-94)
7. ИЗДАНИЕ с Изменениями N 1, 2, 3, 4, 5, утвержденными в декабре 1985 г., октябре 1986 г., марте 1987 г., сентябре 1988 г., декабре 1990 г. (ИУС 4-86, 1-87, 6-87, 1-89, 4-91)
ВНЕСЕНА поправка, опубликованная в ИУС N 7, 2007 год
Поправка внесена изготовителем базы данных
Настоящий стандарт распространяется на тонколистовую холоднокатаную изотропную электротехническую сталь, применяемую в магнитных цепях электрических машин, аппаратов и приборов.
Стандарт содержит все требования СТ СЭВ 101 и устанавливает более жесткие требования в части норм магнитной индукции, коэффициента старения для стали с массовой долей кремния свыше 1,8%, телескопичности рулонов шириной 500 мм и выше (см. приложение 3 о соответствии требований настоящего стандарта требованиям стандарта СЭВ).
(Измененная редакция, Изм. N 2).
1. СОРТАМЕНТ
1. СОРТАМЕНТ
1.1. Сталь изготовляют марок: 2011, 2012, 2013, 2111, 2112, 2211, 2212, 2213, 2214, 2215, 2216, 2312, 2411, 2412, 2413, 2414 и 2421.
(Измененная редакция, Изм. N 4, 5).
1.2. Сталь подразделяют:
по видам продукции: лист, рулонная сталь, лента резаная (лента);
по точности прокатки по толщине:
нормальной точности - Н;
повышенной точности - П;
по точности изготовления по ширине:
нормальной точности,
повышенной точности - Ш;
по неплоскостности на классы: 1 и 2;
по серповидности (для рулонной стали и ленты);
нормальной точности,
повышенной точности - С;
по термической обработке:
термически обработанная на магнитные свойства - ТО,
без термической обработки на магнитные свойства;
по виду покрытия:
без покрытия (с металлической поверхностью),
с нетермостойким электроизоляционным покрытием, улучшающим штампуемость - НШ,
с термостойким электроизоляционным покрытием, улучшающим штампуемость - ТШ,
с термостойким электроизоляционным покрытием, не ухудшающим штампуемость - Т;
по коэффициенту заполнения на группы: А и Б.
1.3. Рулонную сталь изготовляют толщиной 0,27; 0,35 и 0,50 мм и шириной 500, 530, 600, 670, 740, 750, 805, 815, 825, 840, 860, 865, 880, 905, 935, 965, 985, 990, 1000, 1015, 1030, 1050, 1065 мм.
Размеры листов должны соответствовать указанным в табл.1.
Таблица 1
мм
Толщина | Длина листов при ширине | ||
500 | 750 | 1000 | |
0,27; 0,35; 0,50 | 1500 | 1500 | 2000 |
Примечание. По требованию потребителя допускается изготовлять рулоны и листы другой ширины, но не более 1100 мм.
1.2, 1.3. (Измененная редакция, Изм. N 5).
1.4. Ленту изготовляют толщиной 0,27; 0,35 и 0,50 мм и шириной 90, 95, 107, 123, 130, 138, 140, 150, 156, 160, 170, 175, 187, 200, 215, 226, 233 250, 260, 280, 290, 300, 322, 325, 360, 400, 445 мм.
Примечание. По согласованию изготовителя с потребителем допускается изготовлять ленту другой промежуточной ширины.
(Измененная редакция, Изм. N 1, 4, 5).
1.5. Масса одного отрезка в рулоне ленты должна быть не менее массы, вычисленной из расчета 0,5 кг на 1 мм ширины ленты.
(Измененная редакция, Изм. N 5).
1.6. Предельные отклонения по толщине стали должны соответствовать указанным в табл.2.
Таблица 2
мм
Толщина | Предельное отклонение по толщине стали при точности прокатки | |
нормальной | повышенной | |
0,27 | +0,01 | +0,01 |
-0,03 | -0,02 | |
0,35 | ±0,03 | ±0,02 |
0,50 | ±0,04 | ±0,03 |
(Измененная редакция, Изм. N 4, 5).
1.7. Листы, рулонную сталь и ленты изготовляют с обрезными кромками.
1.8. Предельные отклонения по ширине рулонной стали, листов и ленты должны соответствовать табл.3.
Таблица 3
мм
Ширина | Предельное отклонение при точности изготовления | |
нормальной | повышенной | |
Св. 500 | +0,5% | +1,0 |
" 250 до 500 включ. | +1,2 | +0,5 |
" 150 " 250 " | +0,8 | +0,5 |
До 150 | +0,5 | +0,3 |
(Измененная редакция, Изм. N 1, 2).
1.9. Предельные отклонения листов по длине не должны превышать +0,5%.
1.10. Продольная и поперечная разнотолщинность листа и поперечная разнотолщинность рулонной стали не должна превышать суммы предельных отклонений по толщине. Для рулонной стали и ленты толщиной 0,5 мм повышенной точности прокатки поперечная разнотолщинность не должна превышать 0,02 мм. Поперечная разнотолщинность ленты не должна превышать норм, указанных в табл.3а.
Таблица 3а
мм
Толщина | Поперечная разнотолщинность ленты при ширине | |
до 300 | св. 300 до 500 | |
0,27 | 0,02 | 0,02 |
0,35; 0,50 | 0,02 | 0,03 |
(Измененная редакция, Изм. N 2, 5).
1.11. Неплоскостность не должна превышать норм, указанных в табл.4.
Таблица 4
Вид стали | Неплоскостность стали на 1 м, мм, для классов | |
1 | 2 | |
Лист, лента | 4 | 8 |
Рулонная сталь | 2 | 4 |
Примечания:
1. Для рулонной стали, изготовленной без термической обработки или подвергнутой термообработке в рулонах в непроходных печах, норма неплоскостности не должна превышать 8 мм на 1 м.
2. По требованию потребителя ленту изготовляют с нормами, предусмотренными для рулонной стали.
1.12. Отношение высоты неплоскостности к ее длине должно соответствовать указанному в табл.5.
Таблица 5
Вид стали | Отношение высоты неплоскостности к ее длине, %, не более, для стали классов | |
1 | 2 | |
Лист, лента | 2 | 5 |
Рулонная сталь | 1 | 2 |
Примечания:
1. Ленту класса 2 допускается изготовлять по согласованию изготовителя с потребителем.
2. По требованию потребителя ленту изготовляют с нормами, предусмотренными для рулонной стали.
1.11, 1.12. (Измененная редакция, Изм. N 5).
1.13. Серповидность рулонной стали и ленты на 1 м длины должна соответствовать указанной в табл.6.
Таблица 6
мм
Ширина | Точность прокатки по толщине | |
нормальная | повышенная | |
До 250 включ. | 3 | 2 |
Св. 250 | 2 | 1 |
1.14. Телескопичность рулонов не должна превышать:
5 мм - при ширине стали до 500 мм;
7 мм - при ширине стали 500 мм и выше.
Отдельные витки рулона не должны выступать более чем на пятикратную толщину стали. Один-два внутренних или наружных витка могут выступать над поверхностью торца рулона.
1.15. По требованию потребителя нормируется остаточная кривизна рулона. Нормы устанавливаются по согласованию изготовителя с потребителем.
1.16. Внутренний диаметр рулона должен быть (500±10) мм, для нелегированной стали - (500±10) или (600±10) мм. Наружный диаметр - не более 1500 мм. Смотка должна быть ровная, плотная.
Примеры условных обозначений
Лист толщиной 0,50 мм, шириной 750 мм, длиной 1500 мм, нормальной точности прокатки, нормальной точности изготовления по ширине, с неплоскостностью класса 2, термически обработанный, без покрытия, с коэффициентом заполнения группы Б, из стали марки 2211:
Лист 0,50х750х1500-Н-2-ТО-Б-2211 ГОСТ 21427.2-83
Рулонная сталь толщиной 0,35 мм, шириной 1000 мм, повышенной точности прокатки, повышенной точности изготовления по ширине, повышенной точности по серповидности, с неплоскостностью класса 1, термически обработанная, с термостойким электроизоляционным покрытием, марки ТШ1, улучшающим штампуемость, с коэффициентом заполнения группы А, из стали марки 2412:
Рулон 0,35х1000-П-Ш-С-1-ТО-ТШ1-А-2412 ГОСТ 21427.2-83
Лента толщиной 0,50 мм, шириной 250 мм, повышенной точности прокатки, нормальной точности изготовления по ширине, повышенной точности по серповидности, с неплоскостностью класса 2, термически обработанная, с термостойким электроизоляционным покрытием, не ухудшающим штампуемость, марки Т1, с коэффициентом заполнения группы Б, из стали марки 2311:
Лента 0,50х250-П-С-2-ТО-Т1-Б-2311 ГОСТ 21427.2-83
(Измененная редакция, Изм. N 5).
2. ТЕХНИЧЕСКИЕ ТРЕБОВАНИЯ
2.1. Сталь электротехническая должна изготовляться в соответствии с требованиями настоящего стандарта по технологическому регламенту, утвержденному в установленном порядке.
2.2. Сталь всех марок, кроме марок 2011, 2012 и 2013, изготовляют в термически обработанном состоянии на магнитные свойства.
2.3. Сталь, поставляемую без термической обработки, изготовляют без покрытия. Сталь, термически обработанную на магнитные свойства, - с покрытием или без покрытия. Тип покрытия устанавливают по согласованию изготовителя с потребителем.
2.2, 2.3. (Измененная редакция, Изм. N 5).
2.4. Поверхность стали должна соответствовать требованиям, указанным в табл.7.
Таблица 7
Вид термообработки стали | Характеристика качества поверхности | Допускаемые дефекты | Глубина или высота залегания дефектов |
Термически обработанная на магнитные свойства без электроизоляционного покрытия | Гладкая, без ржавчины и отслаивающейся окалины, отпечатков и смятой поверхности, налета порошкообразных веществ, препятствующих нанесению изоляции. Допускаются цвета побежалости | Отпечатки | 1/2 суммы предельных отклонений по толщине |
Без термической обработки на магнитные свойства | Гладкая, без трещин, плен, раковин, раскатанных загрязнений, окалины, следов коррозии. Допускается тонкая окисная пленка, цвета побежалости | Царапины, длиной не более 100 мм, отдельные дефекты, плены, забоины и раковины | 1/2 суммы предельных отклонений по толщине |
Примечание. Допускается изготовление стали без термической обработки на магнитные свойства с промасленной поверхностью.
(Измененная редакция, Изм. N 2).
2.5. На кромках стали не должно быть расслоений. Допускаются дефекты на кромках, не выводящие сталь за пределы номинальных размеров.
2.6. Число перегибов для стали, изготовляемой в термически обработанном состоянии, должно соответствовать указанному в табл.8.
Таблица 8
Марка стали | Среднеарифметическое и минимальное число перегибов для стали толщиной, мм, не менее | ||
0,27 | 0,35 | 0,50 | |
2211, 2212, 2213, 2214, 2215, 2216 | - | - | 10(3) |
2312 | - | - | 7(2) |
2411, 2412, 2413, 2414 | - | 3(2) | 3(1) |
2421 | 3(1) | - | - |
Примечание. В скобках указано минимальное число перегибов каждого образца.
(Измененная редакция, Изм. N 2, 5).
2.7. Механические свойства стали должны соответствовать нормам, указанным в табл.8а.
Таблица 8а
Марка стали | Временное сопротивление | Относительное удлинение | Твердость |
2011, 2012,2013 | 290-490 | 15-35 | 120-160 |
2111, 2112, 2211, 2212, 2215 | 300-450 | 20-35 | 110-145 |
2213, 2214, 2216 | 120-145 | ||
2312 | 330-470 | 20-35 | 120-160 |
2411, 2412, 2413, 2414, 2421 | 370-600 | 15-30 | 140-210 |
2.8. Магнитные свойства стали должны соответствовать нормам, указанным в табл.9.
Таблица 9
Марка стали | Толщина, мм | Удельные магнитные потери | Магнитная индукция при напряженности магнитного поля 2500 А/м, В, Тл, не менее | Анизотропия магнитной индукции, Тл, не более | Коэффициент анизотропии удельных магнитных потерь, %, не более |
2421 | 0,27 |
| 1,47 | 0,16 | ±18 |
2413 | 2,5 | 1,50 | |||
2412 | 0,35 | 2,7 | 1,50 | 0,16 | ±18 |
2411 | 3,0 | 1,50 | |||
2414 | 2,7 | 1,49 | |||
2413 | 2,9 | 1,50 | |||
2412 | 3,1 | 1,50 | 0,16 | ±18 | |
2411 | 3,6 | 1,49 | |||
2312 | 3,8 | 1,58 | ±14 | ||
2216 | 4,0 | 1,60 | |||
2215 | 4,5 | 1,64 | |||
2214 | 4,8 | 1,62 | |||
2213 | 5,0 | 1,65 | ±12 | ||
2212 | 0,50 | 5,0 | 1,60 | ||
2211 | 5,5 | 1,56 | 0,13 | ||
2112 | 6,0 | 1,62 | |||
2111 | 7,0 | 1,60 | |||
2013 | 6,5 | 1.65 | |||
2012 | 7,0 | 1,62 | ±10 | ||
2011 | 8,0 | 1,60 |
Примечание. Значения магнитной индукции приведены для постоянного магнитного поля. При испытании образцов в переменном поле значения магнитной индукции () таблицы соответствуют
.
Свойства стали, поставляемой без термической обработки на магнитные свойства, определяют на отожженных образцах.
Значения удельных магнитных потерь (
) и магнитной индукции ,
,
, приведенные в приложении 2, изготовителем не определяются и обеспечиваются технологией изготовления.
2.9. Анизотропия магнитной индукции при напряженности магнитного поля 2500 А/м не должна превышать норм, указанных в табл.9.
По требованию потребителя вместо анизотропии магнитной индукции определяют коэффициент анизотропии удельных магнитных потерь. При этом коэффициент анизотропии удельных магнитных потерь при индукции 1,5 Тл должен соответствовать нормам, приведенным в табл.9.
При разногласиях в определении коэффициента анизотропии проводят определение анизотропии магнитной индукции.
2.10. Коэффициент старения по удельным магнитным потерям стали не должен превышать норм, указанных в табл.10.
Таблица 10
Марка стали | Коэффициент старения, %, не более |
2011, 2012, 2013 | 8 |
2111, 2112, 2211, 2212, 2213, 2214, 2215, 2216 | 6 |
2312, 2411, 2412, 2413, 2414, 2421 | 4 |
Примечания:
1. Допускается по согласованию изготовителя с потребителем (кроме предприятий Министерства электротехнической промышленности) изготовление стали марок 2011, 2012 и 2013 с коэффициентом старения не более 10%.
2. В случае превышения норм коэффициента старения сталь допускается аттестовывать маркой, которой соответствует уровень потерь, измеренных на образце после старения.
2.11. Физические и эксплуатационные свойства электроизоляционного покрытия должны соответствовать нормам, указанным в табл.10а.
Таблица 10а
Вид покрытия | Марка покрытия | Коэффициент сопротивления, Ом·см | Термостойкость | Прочность сцепления покрытия с металлом (адгезия) | Влияние на штампуемость | Основа покрытия |
Т | Т1 | 1,0 | 760 °С, 1,5 ч в защитной атмосфере или 700 °С, 2 мин на воздухе | Не ухудшает | Неорганическое | |
Т5 | 5,0 | |||||
ТШ | ТШ1 | 1,0 | 700 °С, 1,5 ч в защитной атмосфере | Покрытие не должно отслаиваться при изгибе образца | Полуорганическое (смесь органического с неорганическим) | |
ТШ10 | 10,0 | |||||
ТШ20 | 20,0 | |||||
ТШ40 | 40,0 | Улучшает | ||||
НШ | НШ1 | 1,0 | 200 °С, 24 ч на воздухе | Органическое или полуорганическое | ||
НШ10 | 10,0 | |||||
НШ20 | 20,0 | |||||
НШ40 | 40,0 |
Примечания:
1. В обозначении марки покрытия цифры означают минимальное значение коэффициента сопротивления.
2. Термин "термостойкость" означает, что покрытие должно сохранять значение коэффициента сопротивления после нагрева до указанной температуры и при выдержке в указанной атмосфере. Другие требования к покрытию устанавливаются по согласованию изготовителя с потребителем.
2.12. Коэффициент заполнения стали должен соответствовать нормам, указанным в табл.11.
Таблица 11
Толщина, мм | Коэффициент заполнения, не менее, для стали группы | |||
А | Б | |||
без покрытия | с покрытием | без покрытия | с покрытием | |
0,27 | 0,94 | 0,93 | 0,93 | 0,92 |
0,35 | 0,96 | 0,95 | 0,95 | 0,95 |
0,50 | 0,97 | 0,96 | 0,96 | 0,95 |
Примечание. Для стали с покрытиями НШ10, НШ20 и НШ40 коэффициент заполнения до 01.01.93 браковочным признаком не является и определяется для набора статистических данных.
2.13. Сталь, изготовляемая в термически обработанном состоянии в листах, должна иметь низкие остаточные напряжения. Величина зазора между частями разрезанного листа не должна превышать 2 мм.
2.14. По требованию потребителя сталь изготовляют с нормированием:
удельных магнитных потерь при одном любом значении магнитной индукции и магнитной индукции при одном любом значении напряженности магнитного поля в соответствии с табл.9 и приложением 1а.
2.15. Плотность и удельное электрическое сопротивление стали приведены в приложении 2.
2.7-2.15. (Измененная редакция, Изм. N 5).
3. ПРАВИЛА ПРИЕМКИ
3.1. Рулонную сталь, листы и ленты принимают партиями. Партия должна состоять из стали одной плавки, одной марки, одного размера по толщине, одного отжига при отжиге в колпаковых печах или одного рулона - при отжиге в проходных печах и сопровождаться документом о качестве в соответствии с ГОСТ 7566 с дополнением:
рекомендуемый режим термической обработки стали, изготовляемой без термической обработки;
значения магнитных свойств, измеренных на продольной пробе, для ленты шириной менее 300 мм.
(Измененная редакция, Изм. N 1, 5).
3.2. Контроль размеров, разнотолщинности, неплоскостности, серповидности, состояния поверхности и кромок, испытаний на перегиб, магнитных свойств, коэффициента сопротивления, прочности сцепления с поверхностью проводят на одном рулоне или одной пачке от партии.
Ленту и листы, полученные при разрезке одного рулона на заданные ширины или длину, испытывают как один рулон.
3.3. Определение коэффициента старения, коэффициента заполнения, коэффициента анизотропии удельных магнитных потерь или магнитной индукции и остаточных напряжений изготовитель проводит периодически не менее чем на 35 партиях в квартал. Механические свойства определяют на каждой десятой плавке. Полученные значения усредняют.
По требованию потребителя коэффициент анизотропии удельных магнитных потерь или анизотропии магнитной индукции определяется на каждой партии.
Термостойкость покрытия обеспечивается его химической основой и технологией его нанесения.
При получении неудовлетворительных результатов периодических испытаний их переводят в приемосдаточные до получения положительного результата на трех партиях подряд. Результаты периодических испытаний указывают в документе о качестве по требованию потребителя.
3.2, 3.3. (Измененная редакция, Изм. N 5).
3.4. При получении неудовлетворительных результатов проверки хотя бы по одному из показателей повторную проверку по нему проводят на выборке, отобранной по ГОСТ 7566.
4. МЕТОДЫ ИСПЫТАНИЙ
4.1. Для проведения испытаний от каждого отобранного рулона отрезают один отрезок длиной 1500-2000 мм, от пачки отбирают два листа равномерно по высоте.
4.2. Размеры стали проверяют измерительным инструментом, обеспечивающим необходимую точность измерения:
толщину - микрометром (ГОСТ 6507 или ГОСТ 4381), ширину - металлической линейкой (ГОСТ 427) или другими средствами измерения соответствующей точности.
Толщину листов и отобранных от рулонов отрезков измеряют в четырех точках, расположенных посередине каждой стороны отрезка или листа на расстоянии не менее 20 мм от кромок. Толщина в каждой измеряемой точке не должна превышать установленных норм. Разнотолщинность проверяют по результатам измерения толщины.
4.3. Для определения неплоскостности и серповидности отрезок рулона, ленты или лист свободно укладывают на плоскую плиту, следя за тем, чтобы углы прилегали к плите.
Неплоскостность измеряют шаблоном, линейкой или специальным приспособлением в местах максимального отслаивания отрезка или листа от плиты. Неплоскостность не должна превышать произведения допустимой величины на длину отрезка.
Серповидность измеряют метровой линейкой в местах наибольшего отклонения боковой кромки отрезка от прямой линии.
Отклонение от плоскостности (неплоскостность), серповидность и разнотолщинность определяют по ГОСТ 26877.
4.2, 4.3. (Измененная редакция, Изм. N 5).
4.4. Состояние поверхности и кромок проверяют осмотром без применения увеличительных приборов.
4.5. Испытание на перегиб проводят на четырех образцах шириной 20-40 мм, вырезанных без видимых заусенцев. При возникновении разногласий применяют образцы шириной 30 мм. Образцы вырезают вдоль и поперек направления прокатки. Два образца вырезают на расстоянии 30-90 мм от кромки; два образца - из середины отрезка или листа. Испытание проводят в тисках с радиусом закругления губок 5 мм при температуре от 15 до 35 °С.
При испытании должно быть обеспечено постоянное прилегание образца к поверхности губок тисков. Один перегиб - загиб образца от начального положения на 90° и обратное его выпрямление до начального положения. Половиной перегиба считается загиб на 90° без выпрямления.
Разрушением образца считается поломка образца или появление трещины любой длины. Полученные значения перегибов округляют до ближайшего целого или полуцелого перегиба.
За результат испытания принимают среднеарифметическое перегибов четырех образцов. Нормы на перегиб установлены при доверительной вероятности 0,97.
4.6. Для испытания на растяжение из отобранного отрезка вырезают два коротких образца, а от каждого отобранного листа - по одному короткому образцу по ГОСТ 11701. Испытания проводят по ГОСТ 11701. Допускается применять неразрушающие методы контроля.
4.7. Твердость определяют на двух образцах размером 280х30 мм в соответствии с ГОСТ 2999 при нагрузке 5 кг. Измерения проводят в пяти точках равномерно по длине образца. За результат принимают среднее из 10 измерений.
4.8. Образец для измерения магнитных свойств изготовляют по ГОСТ 12119.0 - ГОСТ 12119.8. Первые полосы от кромок в образец не включают.
Для определения анизотропии магнитной индукции и удельных магнитных потерь изготовляют два образца: один - из продольных полос, другой - из поперечных.
4.9. Режим отжига образцов для стали марок 2011, 2012, 2013: нагрев в защитной атмосфере до температуры не выше 830 °С, выдержка при этой температуре не более 2 ч, охлаждение до 600 °С со скоростью 50 °С в час, далее - с печью.
(Измененная редакция, Изм. N 4, 5).
4.10. Удельные магнитные потери и магнитную индукцию определяют в аппарате Эпштейна по ГОСТ 12119.1. Плотность рассчитывают по ГОСТ 12119.0 - ГОСТ 12119.8.
Допускается определять магнитные свойства другими методами, обеспечивающими требуемую точность измерений.
При возникновении разногласий магнитные свойства определяют в аппарате Эпштейна.
Нормы удельных магнитных потерь и магнитной индукции установлены при доверительной вероятности 0,95.
Анизотропию магнитной индукции определяют как разницу индукции образца, составленного из продольных полос, и образца, составленного из поперечных полос, при напряженности магнитного поля 2500 А/м.
Коэффициент анизотропии удельных магнитных потерь (), %, вычисляют по формуле
,
где и
- удельные магнитные потери вдоль и поперек направления прокатки, Вт/кг.
(Измененная редакция, Изм. N 3).
4.11. Для определения коэффициента старения образец после определения магнитных свойств подвергают старению по режиму: нагрев до 120 °С, выдержка 120 ч и вновь определяют удельные магнитные потери.
Коэффициент старения (), %, вычисляют по формуле
,
где и
- удельные магнитные потери до и после старения, Вт/кг.
4.12. Для измерения коэффициента сопротивления электроизоляционного покрытия от каждого отобранного листа или отрезка вырезают образец шириной 60-120 мм и длиной, равной ширине листа или отрезка.
Для определения прочности сцепления покрытия с металлом вырезают образец шириной 30 мм, длиной, равной ширине отрезка или листа.
(Измененная редакция, Изм. N 5).
4.13. Для определения прочности сцепления покрытия с металлом образец плотно прижимают к стержню диаметром 20 мм и плавно изгибают на 90° вокруг стержня.
Образец считается выдержавшим испытания, если с его наружной стороны нет трещин и отслоений покрытия. Отслоения и трещины определяют визуально.
4.14. (Исключен, Изм. N 5).
4.15. Коэффициент сопротивления электроизоляционного покрытия определяют по ГОСТ 12119.0 - ГОСТ 12119.8. Измерение проводят на четырех участках, по два на одной и другой сторонах образца.
При расчете коэффициента сопротивления среднее значение тока принимается как среднеарифметическое из четырех измерений.
По согласованию потребителя с изготовителем в документе о качестве указывают значение коэффициента сопротивления на каждой стороне.
(Измененная редакция, Изм. N 5).
4.16. Коэффициент заполнения определяют на образце, составленном не менее чем из 100 полос, взятых для определения магнитных свойств, с которых перед испытанием снимают заусенцы. Образец спрессовывают равномерно по всей поверхности под давлением 0,35 Н/мм. Высоту спрессованного образца измеряют с погрешностью не более 0,1 мм в четырех противоположных местах. За высоту принимают среднеарифметическое результатов четырех измерений.
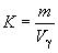
Коэффициент заполнения () вычисляют по формуле
,
где - масса образца, кг, определенная с погрешностью не более 0,005 кг;
- объем образца после спрессования, определенный по результатам измерения пачки, м
;
- плотность стали, кг/м
.
4.17. Для проверки остаточных напряжений термически обработанный лист разрезают посередине вдоль и сдвигают на плоскости края разреза до соприкосновения и измеряют ширину образовавшегося зазора.
(Измененная редакция, Изм. N 5).
4.18. (Исключен, Изм. N 5).
5. МАРКИРОВКА, УПАКОВКА, ТРАНСПОРТИРОВАНИЕ И ХРАНЕНИЕ
5.1. Маркировка, упаковка, транспортирование и хранение - по ГОСТ 7566 с дополнениями.
5.1.1. В рулоне отрезки должны быть соединены стыковой сваркой, допускается подмотка без сварки не более трех отрезков в рулоне. Толщина стали в месте сварки не должна увеличиваться более чем на 1,5 суммы предельных отклонений по толщине. Места подмоток должны быть четко отмечены. Концы рулонов могут быть прикреплены точечной сваркой, при этом прожоги не допускаются. По требованию потребителя при резке рулона на две ленты места резки отмечают на наружном витке рулона.
Ленту, смотанную на одну моталку, допускается упаковывать без прокладок между рулонами.
Допускается упаковка в одну пачку листов и смотка в рулон двух полос разных партий одной марки, одного размера при условии надежного разделения партий.
5.1.2. На наружный виток рулона и ленты наклеивают этикетки с указанием товарного знака предприятия-изготовителя, массы рулона, марки стали, номера партии, размеров и магнитных свойств стали.
На связку рулонов лент этикетку наклеивают на наружный виток каждого рулона и на внутренний виток крайних рулонов. Допускается массу рулона указывать на упаковке.
5.1.1, 5.1.2. (Измененная редакция, Изм. N 5).
5.1.3. Масса стали в упаковке должна быть не менее 50 кг и не более 5,0 т.
По согласованию изготовителя с потребителем допускается увеличение массы стали в упаковке в соответствии с ГОСТ 7566.
5.2. Рулоны и пачки листов упаковывают в тару, обеспечивающую сохранность продукции, в соответствии с нормативно-технической документацией.
5.3. Прокат транспортируют транспортом всех видов в соответствии с правилами перевозки грузов, действующими на транспорте данного вида.
Транспортирование стали железнодорожным транспортом проводят в крытых вагонах, на платформах или полувагонах всеми видами отправок.
(Измененная редакция, Изм. N 5).
5.4. Прокат в ненарушенной упаковке изготовителя должен храниться в крытых складских помещениях, исключающих прямое попадание влаги.
(Введен дополнительно, Изм. N 5).
ПРИЛОЖЕНИЕ 1a (справочное)
ПРИЛОЖЕНИЕ 1a
Справочное
Марка стали | Толщина, мм | Удельные магнитные потери, Вт/кг, не более | Магнитная индукция, Тл, не менее, при напряженности магнитного поля, А/м | ||
1000 | 5000 | 10000 | |||
2421 | 0,27 |
| 1,35 | 1,55 | 1,65 |
2414 | 0,50 |
| 1,35 | 1,60 | 1,70 |
2413 | 0,50 | - | 1,35 | 1,60 | 1,70 |
0,35 | - | 1,35 | 1,60 | 1,70 | |
2412 | 0,50 | 1,3 | 1,35 | 1,60 | 1,70 |
0,35 | 1,15 | 1,35 | 1,60 | 1,70 | |
2411 | 0,50 | 1,6 | 1,37 | 1,60 | 1,73 |
0,35 | 1,3 | 1,37 | 1,60 | 1,70 | |
2312 | 0,50 | 1,70 | 1,40 | 1,66 | 1,74 |
2216 | 0,50 | 1,75 | 1,43 | 1,68 | 1,76 |
2215 | 0,50 | 2,0 | 1,53 | 1,72 | 1,80 |
2214 | 0,50 | 2,2 | 1,50 | 1,70 | 1,78 |
2213 | 0,50 | 2,5 | 1,52 | 1,74 | 1,82 |
2212 | 0,50 | 2,2 | 1,42 | 1,68 | 1,77 |
2211 | 0,50 | 2,5 | 1,40 | 1,65 | 1,76 |
2112 | 0,50 | 2,6 | 1,44 | 1,70 | 1,77 |
2111 | 0,50 | 3,0 | 1,46 | 1,68 | 1,78 |
2013 | 0,50 | 2,8 | 1,54 | 1,72 | 1,82 |
2012 | 0,50 | 3,1 | 1,52 | 1,70 | 1,80 |
2011 | 0,50 | 3,5 | 1,49 | 1,68 | 1,78 |
ПРИЛОЖЕНИЕ 1а. (Введено дополнительно, Изм. N 5).
ПРИЛОЖЕНИЕ 1. (Исключено, Изм. N 5).
ПРИЛОЖЕНИЕ 2 (справочное)
ПРИЛОЖЕНИЕ 2
Справочное
Марка стали | Сумма массовых долей легирующих (кремния и алюминия), % | Плотность, кг/м | Удельное электрическое сопротивление, Ом·мм |
2421 | Св. 2,8 до 3,8 включ. | 7600 | 0,50 |
2414, 2413, 2412, 2411 | " 2,5 " 3,8 " | 7600 | 0,50 |
2312 | " 1,8 " 2,8 " | 7700 | 0,40 |
2211, 2212, 2213, 2214, 2215, 2216 | " 0,8 " 2,1 " | 7750 | 0,25 |
2111, 2112 | " 0,5 " 0,8 " | 7800 | 0,17 |
2011, 2012, 2013 | До 0,5 включ. | 7820 | 0,14 |
Примечание. Химический состав и плотность стали не нормируются, приведены в качестве справочной характеристики при расчете магнитных свойств.
(Измененная редакция, Изм. N 5).
ПРИЛОЖЕНИЕ 3 (обязательное)
ПРИЛОЖЕНИЕ 3
Обязательное
Соответствие марочного сортамента ГОСТ 21427.2-83 СТ СЭВ 101-85 приведено в табл.1.
Таблица 1
ГОСТ 21427.2-83 | СТ СЭВ 101-85 | |
Марка стали | Толщина, мм | Категория проката |
2111 | 0,65 | 1000-65-4 |
2112 | 0,65 | 800-65-4 |
2211 | 0,65 | 700-65-4 |
2212 | 0,65 | 630-65-4 |
2312 | 0,65 | 560-65-4 |
2111 | 0,50 | 800-50-4 |
- | 700-50-4 | |
2112 | 0,50 | 600-50-4 |
2211 | 0,50 | 580-50-4 |
2212 | 0,50 | 500-50-4 |
2311 | 0,50 | 440-50-4 |
2312 | 0,50 | 400-50-4 |
2411 | 0,50 | 360-50-4 |
2412 | 0,50 | 310-50-4 |
2413 | 0,50 | 290-50-4 |
2414 | 0,50 | 270-50-4 |
- | 330-35-4 | |
2411 | 0,35 | 300-35-4 |
2412 | 0,35 | 270-35-4 |
2413 | 0,35 | 250-35-4 |
2111 | 0,65 | 1000-65-5 |
2112 | 0,65 | 800-65-5 |
2211 | 0,65 | 700-65-5 |
2212 | 0,65 | 630-65-5 |
2312 | 0,65 | 560-65-5 |
2111 | 0,50 | 800-50-5 |
2211 | 0,50 | 580-50-5 |
2212 | 0,50 | 500-50-5 |
2311 | 0,50 | 440-50-5 |
2312 | 0,50 | 400-50-5 |
- | 1000-65-6 | |
2011 | 0,65 | - |
2012 | 0,65 | 800-65-6 |
2013 | 0,65 | 700-65-6 |
2011 | 0,50 | 800-65*-6 |
_______________ | ||
2012 | 0,50 | 650-50-6 |
2013 | 0,50 | 560-50-6 |
2014 | 0,50 | 500-50-6 |
Соответствие требований ГОСТ 21427.2-83 СТ СЭВ 101-85 приведено в табл.2.
Таблица 2
ГОСТ 21427.2-83 | СТ СЭВ 101-85 | ||
Пункт | Содержание требований | Пункт | Содержание требований |
1.14 | Устанавливает более жесткие требования к телескопичности рулонов при ширине 500 мм и выше: | 2.12 | |
не более 7 мм | Не более 10 мм | ||
2.10. Табл.10 | Устанавливает более жесткие требования к коэффициенту старения для стали с массовой долей кремния свыше 1,8%. | 3.7. Табл.11 | |
Коэффициент старения, %: |
| ||
2.8. Табл.9 | Устанавливает более жесткие требования в части норм магнитной индукции | 3.6. Табл.8, 9, 10 | |
ПРИЛОЖЕНИЕ 3. (Введено дополнительно, Изм. N 2).
Электронный текст документа
подготовлен АО "Кодекс" и сверен по:
официальное издание
Сталь электротехническая. Технические условия.
Методы анализа: Сб. ГОСТов. -
М.: ИПК Издательство стандартов, 2003
Редакция документа с учетом
изменений и дополнений подготовлена
АО "Кодекс"
Разместите заказ
сами сделают вам предложение
