ГОСТы сталей. ГОСТ 19281-2014
ГОСТ 19281-2014
Группа В22
В23
В32
В33
МЕЖГОСУДАРСТВЕННЫЙ СТАНДАРТ
ПРОКАТ ПОВЫШЕННОЙ ПРОЧНОСТИ
Общие технические условия
High strength rolled steel. General specification
МКС 77.140.50
77.140.60
Дата введения 2015-01-01
Предисловие
Предисловие
Цели, основные принципы и основной порядок проведения работ по межгосударственной стандартизации установлены ГОСТ 1.0-2015 "Межгосударственная система стандартизации. Основные положения" и ГОСТ 1.2-2015 "Межгосударственная система стандартизации. Стандарты межгосударственные, правила и рекомендации по межгосударственной стандартизации. Правила разработки, принятия, обновления и отмены"
Сведения о стандарте
1 РАЗРАБОТАН Федеральным государственным унитарным предприятием "Центральный научно-исследовательский институт черной металлургии им.И.П.Бардина" (ФГУП "ЦНИИчермет им.И.П.Бардина")
2 ВНЕСЕН Федеральным агентством по техническому регулированию и метрологии (Росстандарт)
3 ПРИНЯТ Межгосударственным советом по стандартизации, метрологии и сертификации (протокол от 28 марта 2014 г. N 65-П)
За принятие проголосовали:
Краткое наименование страны по МК (ИСО 3166) 004-97 | Код страны по | Сокращенное наименование национального органа по стандартизации |
Армения | AM | Минэкономики Республики Армения |
Беларусь | BY | Госстандарт Республики Беларусь |
Казахстан | KZ | Госстандарт Республики Казахстан |
Киргизия | KG | Кыргызстандарт |
Россия | RU | Росстандарт |
Таджикистан | TJ | Таджикстандарт |
Узбекистан | UZ | Узстандарт |
Украина | UA | Минэкономразвития Украины |
4 Приказом Федерального агентства по техническому регулированию и метрологии от 24 октября 2014 г. N 1430-ст межгосударственный стандарт ГОСТ 19281-2014 введен в действие в качестве национального стандарта Российской Федерации с 1 января 2015 г.
5 ВЗАМЕН ГОСТ 19281-89
6 ПЕРЕИЗДАНИЕ. Октябрь 2016 г.
Информация об изменениях к настоящему стандарту публикуется в ежегодном информационном указателе "Национальные стандарты", а текст изменений и поправок - в ежемесячном информационном указателе "Национальные стандарты". В случае пересмотра (замены) или отмены настоящего стандарта соответствующее уведомление будет опубликовано в ежемесячном информационном указателе "Национальные стандарты". Соответствующая информация, уведомление и тексты размещаются также в информационной системе общего пользования - на официальном сайте Федерального агентства по техническому регулированию и метрологии в сети Интернет
ВНЕСЕНО Изменение N 1, утвержденное и введенное в действие приказом Федерального агентства по техническому регулированию и метрологии от 24.12.2019 N 1438-ст c 01.06.2020
Изменение N 1 внесено изготовителем базы данных по тексту ИУС, N 3, 2020
1 Область применения
Настоящий стандарт распространяется на прокат горячекатаный толстолистовой, широкополосный универсальный, сортовой, фасонный и гнутые профили повышенной прочности (далее - продукция), применяемые в конструкциях общего назначения со сварными, клепаными и болтовыми соединениями.
В части требований к химическому составу настоящий стандарт распространяется на слитки, блюмы, слябы, катаные, кованые и непрерывнолитые заготовки, тонколистовой прокат, поковки и штамповки, а также на продукцию из стали марок 07ГФБ, 07ГФБ-1, 08ХМФчЮА, 09ГСФЮ, 09Г2ФБ, 09Г2ФБ-1, 10Г2ФБЮ, 10Г2ФБЮ-1,12ГСБЮ, 12ГСБЮ-1, 13ХФЮ, 17Г1С-У-1 и 20ФЮ.
(Измененная редакция, Изм. N 1).
2 Нормативные ссылки
В настоящем стандарте использованы нормативные ссылки на следующие межгосударственные стандарты:
ГОСТ 82-70 Прокат стальной горячекатаный широкополосный универсальный. Сортамент
ГОСТ 103-2006 Прокат сортовой стальной горячекатаный полосовой. Сортамент
ГОСТ 535-2005 Прокат сортовой и фасонный из стали углеродистой обыкновенного качества. Общие технические условия
ГОСТ 1497-84 (ИСО 6892-84) Металлы. Методы испытаний на растяжение
ГОСТ 2590-2006 Прокат сортовой стальной горячекатаный круглый. Сортамент
ГОСТ 2591-2006 Прокат сортовой стальной горячекатаный квадратный. Сортамент
ГОСТ 2879-2006 Прокат сортовой стальной горячекатаный шестигранный. Сортамент
ГОСТ 5267.1-90 Швеллеры. Сортамент
ГОСТ 5267.2-90 Профиль зетовый. Сортамент
ГОСТ 5267.3-90 Профиль зетовый для хребтовой балки. Сортамент
ГОСТ 5267.4-90 Профиль для верхней обвязки. Сортамент
ГОСТ 5267.5-90 Профиль двутавровый N 19 для хребтовой балки. Сортамент
ГОСТ 5267.6-90 Профиль вагонной стойки. Сортамент
ГОСТ 5267.7-90 Профиль верхнего листа поперечной балки рамы полувагона. Сортамент
ГОСТ 5639-82 Стали и сплавы. Методы выявления и определения величины зерна
ГОСТ 7268-82 Сталь. Метод определения склонности к механическому старению по испытанию на ударный изгиб
ГОСТ 7511-73 Профили стальные для оконных и фонарных переплетов и оконных панелей промышленных зданий. Технические условия
ГОСТ 7564-97 Прокат. Общие правила отбора проб, заготовок и образцов для механических и технологических испытаний
ГОСТ 7565-81 (ИСО 377-2-89) Чугун, сталь и сплавы. Метод отбора проб для определения химического состава
ГОСТ 7566-2018 Металлопродукция. Правила приемки, маркировка, упаковка, транспортирование и хранение
ГОСТ 8239-89* Двутавры стальные горячекатаные. Сортамент
________________
* В Российской Федерации в части требований к сортаменту двутавров действует ГОСТ Р 57837-2017 "Двутавры стальные горячекатаные с параллельными гранями полок. Технические условия".
ГОСТ 8240-97 Швеллеры стальные горячекатаные. Сортамент
ГОСТ 8278-83 Швеллеры стальные гнутые равнополочные. Сортамент
ГОСТ 8281-80 Швеллеры стальные гнутые неравнополочные. Сортамент
ГОСТ 8282-83 Профили стальные гнутые С-образные равнополочные. Сортамент
ГОСТ 8283-93 Профили стальные гнутые корытные равнополочные. Сортамент
ГОСТ 8509-93 Уголки стальные горячекатаные равнополочные. Сортамент
ГОСТ 8510-86 Уголки стальные горячекатаные неравнополочные. Сортамент
ГОСТ 9234-74 Профили стальные гнутые листовые с трапециевидным гофром. Сортамент
ГОСТ 9454-78 Металлы. Метод испытания на ударный изгиб при пониженных, комнатной и повышенных температурах
ГОСТ 10551-75 Профили стальные гнутые гофрированные. Сортамент
ГОСТ 11474-76 Профили стальные гнутые. Технические условия
ГОСТ 12344-2003 Стали легированные и высоколегированные. Методы определения углерода
ГОСТ 12345-2001 (ИСО 671-82, ИСО 4935-89) Стали легированные и высоколегированные. Методы определения серы
ГОСТ 12346-78 (ИСО 439-82, ИСО 4829-1-86) Стали легированные и высоколегированные. Методы определения кремния
ГОСТ 12347-77 Стали легированные и высоколегированные. Методы определения фосфора
ГОСТ 12348-78 (ИСО 629-82) Стали легированные и высоколегированные. Методы определения марганца
ГОСТ 12350-78 Стали легированные и высоколегированные. Методы определения хрома
ГОСТ 12351-2003 (ИСО 4942:1988, ИСО 9647:1989) Стали легированные и высоколегированные. Методы определения ванадия
ГОСТ 12352-81 Стали легированные и высоколегированные. Методы определения никеля
ГОСТ 12355-78 Стали легированные и высоколегированные. Методы определения меди
ГОСТ 12356-81 Стали легированные и высоколегированные. Методы определения титана
ГОСТ 12357-84 Стали легированные и высоколегированные. Методы определения алюминия
ГОСТ 12358-2002 Стали легированные и высоколегированные. Методы определения мышьяка
ГОСТ 12359-99 (ИСО 4945-77) Стали углеродистые, легированные и высоколегированные. Методы определения азота
ГОСТ 12361-2002 Стали легированные и высоколегированные. Методы определения ниобия
ГОСТ 12364-84 Стали легированные и высоколегированные. Методы определения церия
ГОСТ 13229-78 Профили стальные гнутые зетовые. Сортамент
ГОСТ 14019-2003 (ИСО 7438:1985) Материалы металлические. Метод испытания на изгиб
ГОСТ 14635-93 Профили стальные гнутые специальные для вагоностроения. Сортамент
ГОСТ 14637-89 (ИСО 4995-78) Прокат толстолистовой из углеродистой стали обыкновенного качества. Технические условия
ГОСТ 15150-69 Машины, приборы и другие технические изделия. Исполнения для различных климатических районов. Категории, условия эксплуатации, хранения и транспортирования в части воздействия климатических факторов внешней среды
ГОСТ 17745-90 Стали и сплавы. Методы определения газов
ГОСТ 18895-97 Сталь. Метод фотоэлектрического спектрального анализа
ГОСТ 19425-74 Балки двутавровые и швеллеры стальные специальные. Сортамент
ГОСТ 19771-93 Уголки стальные гнутые равнополочные. Сортамент
ГОСТ 19772-93 Уголки стальные гнутые неравнополочные. Сортамент
ГОСТ 19903-2015 Прокат листовой горячекатаный. Сортамент
ГОСТ 21014-88 Прокат черных металлов. Термины и определения дефектов поверхности
ГОСТ 21026-75 Швеллеры стальные горячекатаные с отогнутой полкой для вагонеток. Сортамент
ГОСТ 21120-75 Прутки и заготовки круглого и прямоугольного сечения. Методы ультразвуковой дефектоскопии
ГОСТ 22536.0-87 Сталь углеродистая и чугун нелегированный. Общие требования к методам анализа
ГОСТ 22536.1-88 Сталь углеродистая и чугун нелегированный. Методы определения общего углерода и графита
ГОСТ 22536.2-87 Сталь углеродистая и чугун нелегированный. Методы определения серы
ГОСТ 22536.3-88 Сталь углеродистая и чугун нелегированный. Методы определения фосфора
ГОСТ 22536.4-88 Сталь углеродистая и чугун нелегированный. Методы определения кремния
ГОСТ 22536.5-87 (ИСО 629-82) Сталь углеродистая и чугун нелегированный. Методы определения марганца
ГОСТ 22536.6-88 Сталь углеродистая и чугун нелегированный. Методы определения мышьяка
ГОСТ 22536.7-88 Сталь углеродистая и чугун нелегированный. Методы определения хрома
ГОСТ 22536.8-87 Сталь углеродистая и чугун нелегированный. Методы определения меди
ГОСТ 22536.9-88 Сталь углеродистая и чугун нелегированный. Методы определения никеля
ГОСТ 22536.10-88 Сталь углеродистая и чугун нелегированный. Методы определения алюминия
ГОСТ 22536.11-87 Сталь углеродистая и чугун нелегированный. Методы определения титана
ГОСТ 22536.12-88 Сталь углеродистая и чугун нелегированный. Методы определения ванадия
ГОСТ 22727-88 Прокат листовой. Методы ультразвукового контроля
ГОСТ 25577-83 Профили стальные гнутые замкнутые сварные квадратные и прямоугольные. Технические условия
ГОСТ 26020-83* Двутавры стальные горячекатаные с параллельными гранями полок. Сортамент
________________
* В Российской Федерации в части требований к сортаменту двутавров действует ГОСТ Р 57837-2017 "Двутавры стальные горячекатаные с параллельными гранями полок. Технические условия".
ГОСТ 26877-2008 Металлопродукция. Методы измерений отклонений формы
ГОСТ 27809-95 Чугун и сталь. Методы спектрографического анализа
ГОСТ 28033-89 Сталь. Метод рентгенофлюоресцентного анализа
ГОСТ 28473-90 Чугун, сталь, ферросплавы, хром, марганец металлические. Общие требования к методам анализа
ГОСТ 30415-96 Сталь. Неразрушающий контроль механических свойств и микроструктуры металлопродукции магнитным методом.
Примечание - При пользовании настоящим стандартом целесообразно проверить действие ссылочных стандартов в информационной системе общего пользования - на официальном сайте Федерального агентства по техническому регулированию и метрологии в сети Интернет или по ежегодному информационному указателю "Национальные стандарты", который опубликован по состоянию на 1 января текущего года, и по выпускам ежемесячного информационного указателя "Национальные стандарты" за текущий год. Если ссылочный стандарт заменен (изменен), то при пользовании настоящим стандартом следует руководствоваться заменяющим (измененным) стандартом. Если ссылочный стандарт отменен без замены, то положение, в котором дана ссылка на него, применяется в части, не затрагивающей эту ссылку.
(Измененная редакция, Изм. N 1).
3 Термины и определения
В настоящем стандарте применены следующие термины с соответствующими определениями, кроме терминов и определений, указанных в ссылочных стандартах.
3.1 прокат сортовой: Изделия, у которых касательная в любой точке контура поперечного сечения данное сечение не пересекает. Поперечное сечение остается одинаковым по всей длине для проката:
- круглого - сечением в форме круга;
- квадратного - сечением в форме квадрата;
- шестигранного - сечением в форме шестигранника;
- полосового - с прямоугольным поперечным сечением, прокатанного с четырех сторон.
3.2 прокат толстолистовой: Плоская катаная продукция толщиной от 3,0 мм и более со свободной деформацией кромки обычно прямоугольного сечения с кромкой в состоянии поставки или обрезанной на ножницах или огневой (плазменной) или другой резкой.
Примечания
1 Производство толстого листа может осуществляться:
- непосредственно на реверсивном стане или порезкой более широкого листа, прокатанного на реверсивном стане - "лист кварто";
- порезкой горячекатаного проката (штрипса), прокатанного на непрерывном стане.
2 Штрипс - прокат, смотанный в рулон сразу после заключительного прохода в чистовой клети или (и) после травления, или (и) отжига. Штрипс в состоянии после прокатки имеет слегка волнистую кромку, но может изготовляться с обрезной кромкой на ножницах или после продольной резки более широкого штрипса.
3 Горячекатаный штрипс, включая штрипс после продольной резки более широкого штрипса (независимо от ширины проката), классифицируют по действительной ширине:
- горячекатаный широкий штрипс: штрипс шириной равной или более 600 мм,
- горячекатаный узкий штрипс: штрипс шириной менее 600 мм.
3.3 прокат широкополосный универсальный: Плоская продукция без обрезки продольных кромок, прокатываемая с четырех сторон или в прямоугольном калибре, и поставляемая в листах.
3.4 прокат фасонный: Изделия, у которых касательная хотя бы в одной точке контура поперечного сечения данное сечение пересекает (уголок, швеллер, двутавр, профили специального назначения).
3.5 профили гнутые: Профили различных поперечных сечений, изготовляемые на профилегибочных станах из холоднокатаного или горячекатаного проката, имеющие поперечное сечение, одинаковое по всей длине.
3.6 Допускается применение следующих терминов для проката:
3.6.1 толстолистовой в листах и широкополосный универсальный: Листы.
3.6.2 толстолистовой в штрипсах (рулонах): Рулон.
3.6.3 сортовой (кроме полосового): Прутки, мотки.
3.6.4 сортовой полосовой: Полосы.
3.6.5 фасонный прокат и гнутые профили: Профили.
3.7 термическое упрочнение: Технологический процесс термической обработки, включающий закалку с отдельного нагрева с последующим отпуском.
3.8 термомеханическая обработка: Деформационная обработка, предусматривающая конечное изменение формы в определенном интервале температур, в результате чего обеспечивается необходимое состояние металлопродукции, а также такие ее свойства, которые только за счет термической обработки не могут быть получены или воспроизведены.
3.9 нормализующая прокатка: Технологический процесс прокатки, при котором деформация на конечной стадии происходит в заданном интервале температур, что позволяет получить продукцию в состоянии, аналогичном нормализованному, в результате чего она имеет такие же механические свойства, как после нормализации.
3.10 контролируемая прокатка: Технологический процесс прокатки передельной заготовки, включающий регламентацию температурно-временных параметров нагрева заготовки, температурно-деформационных параметров деформации во время прокатки. При этом деформация осуществляется в несколько стадий. Окончание деформации возможно как в двухфазной () области, так и в нижней части однофазной (
) области. Возможно применение ускоренного охлаждения или высокого отпуска.
3.11 ускоренное охлаждение: Технологический процесс принудительного охлаждения продукции со скоростью, превышающей скорость ее охлаждения на воздухе в спокойной атмосфере.
3.12 поверхность в зоне катаной кромки: Узкая грань проката в состоянии "как прокатано", шириной, не выводящей широкую грань толстолистового и широкополосного универсального проката за номинальный размер.
3.13 остаточный химический элемент: Химический элемент, добавленный не преднамеренно, а попавший в плавку из шихтовых материалов, огнеупоров или воздуха.
3.14 хладостойкое исполнение (ХЛ): Климатическое исполнение для эксплуатации в районах с холодным климатом в соответствии с ГОСТ 15150.
(Измененная редакция, Изм. N 1).
3.15 сталь нелегированная качественная: В соответствии с [1]*.
___________________
* В Российской Федерации может использоваться ГОСТ Р 54384-2011 (ЕН 10020:2000) "Сталь. Определение и классификация по химическому составу и классам качества".
3.16 сталь легированная: В соответствии с [1]*.
___________________
* В Российской Федерации может использоваться ГОСТ Р 54384-2011 (ЕН 10020:2000) "Сталь. Определение и классификация по химическому составу и классам качества".
3.15, 3.16. (Измененная редакция, Изм. N 1).
3.17 композиция химического состава: Вариант исполнения химического состава для стали марок, для которых в таблице 7 не ограничен нижний предел по массовой доле марганца и (или) кремния. Марки стали в обозначении дополнены через тире цифрой 1.
3.18 микролегирование: Введение в сталь (чаще всего совмещаемое с раскислением и дегазацией стали) отдельных элементов или их соединений, при этом остаточная массовая доля каждого элемента не превышает указанную в [1]*.
___________________
* В Российской Федерации может использоваться ГОСТ Р 54384-2011 (ЕН 10020:2000) "Сталь. Определение и классификация по химическому составу и классам качества".
(Измененная редакция, Изм. N 1).
3.19 модифицирование: Введение добавок в расплав для измельчения зерна, дендридной структуры, придания дисперсной сферической формы избыточным фазам, улучшения механических свойств. Модифицирование отличается от микролегирования тем, что его введение ограничено из-за малой растворимости или летучести, либо неэффективно, либо вредно, в то время как увеличение добавки при микролегировании приводит к обычному легированию.
3.20 прокат горячекатаный (без термической обработки): Прокат, полученный в результате горячей пластической деформации и последующего охлаждения на спокойном воздухе.
3.21
нормализация: Термическая обработка - разновидность отжига, при которой изделие нагревают до температуры выше |
3.22
отжиг: Термическая обработка, предусматривающая нагрев изделия до определенной температуры, выдержку и последующее медленное охлаждение с целью получения более равновесной структуры. |
3.23 высокий отпуск: Технологический процесс нагрева проката ниже температуры , выдержки и охлаждения его с заданной скоростью или на спокойном воздухе.
3.24 механическое старение: Процесс искусственного старения в соответствии с ГОСТ 7268.
3.25 универсальная аттестация продукции по результатам испытаний на ударный изгиб: Гарантия соответствия норм ударной вязкости требованиям на ударный изгиб для заказанных категорий продукции, указанных в 7.11.1, на основании испытаний
или
в пределах одного вида продукции, одной плавки, одной толщины, одного режима прокатки, одного состояния поставки.
3.20-3.25. (Введены дополнительно, Изм. N 1).
4 Классификация и сортамент
4.1 Прокат изготовляют:
- по видам:
- толстолистовой;
- широкополосный универсальный;
- сортовой;
- фасонный;
- гнутые профили;
- по классам качества стали:
- нелегированная качественная;
- легированная;
- по классам прочности:
- 265; 295; 315; 325; 345; 355; 375; 390; 440; 460; 500; 550; 600; 620; 650; 700 с обозначением по настоящему стандарту;
- S235; S275; S355 - с обозначением по стандарту [2], где буква S означает - "конструкционная сталь", цифра - минимальное значение предела текучести для проката диаметром до 16 мм включительно;
- по требованиям к химическому составу стали:
- с химическим составом, ограниченным сверху, с целью исключения превышения прочностных характеристик проката, предусмотренных классом прочности;
- с химическим составом, установленным для марки стали (композиции), гарантирующим обеспечение комплекса свойств для класса прочности;
- по категориям поставки в зависимости от нормируемых характеристик механических свойств при испытании на ударный изгиб - от 1 до 20.
(Измененная редакция, Изм. N 1).
4.2 По форме, размерам и предельным отклонениям по форме и размерам продукция должна соответствовать требованиям:
- прокат сортовой:
- круглый в прутках и мотках - ГОСТ 2590;
- квадратный в прутках и мотках - ГОСТ 2591;
- шестигранный в прутках и мотках - ГОСТ 2879;
- полосовой - ГОСТ 103;
- прокат толстолистовой - ГОСТ 19903;
- прокат широкополосный универсальный - ГОСТ 82;
- прокат фасонный:
- уголок равнополочный - ГОСТ 8509;
- уголок неравнополочный - ГОСТ 8510;
- швеллеры - ГОСТ 8240, ГОСТ 19425, ГОСТ 21026;
- двутавры - ГОСТ 8239*, ГОСТ 19425;
- двутавры с параллельными гранями полок - ГОСТ 26020*;
________________
* В Российской Федерации в части требований к сортаменту двутавров действует ГОСТ Р 57837-2017 "Двутавры стальные горячекатаные с параллельными гранями полок. Технические условия".
- профили специального назначения - ГОСТ 5267.1 - ГОСТ 5267.7;
- профили гнутые - ГОСТ 7511, ГОСТ 8278, ГОСТ 8281, ГОСТ 8282, ГОСТ 8283, ГОСТ 9234, ГОСТ 10551, ГОСТ 13229, ГОСТ 14635, ГОСТ 19771, ГОСТ 19772, ГОСТ 25577.
Примечание - По согласованию изготовителя с заказчиком допускается изготовление продукции с требованиями к сортаменту по другим стандартам, или с другими требованиями, которые дополнительно оговаривают при оформлении заказа.
(Измененная редакция, Изм. N 1).
5 Технические требования
5.1 Характеристики базового исполнения
5.1.1 Химический состав стали по анализу ковшевой пробы для продукции классов прочности 265, 295, 315, 325, 345, 355, 375, 390 и 440 должен соответствовать нормам, указанным в таблице 1.
Таблица 1 - Химический состав стали по анализу ковшевой пробы
Класс прочности | Массовая доля элементов, %, не более | |||||||||
С | Si | Мn | Р | S | Сr | Ni | Сu | V | N | |
265, 295 | 0,14 | 0,60 | 1,60 | 0,030 | 0,035 | 0,30 | 0,30 | 0,30 | 0,15 | 0,012 |
315 | 0,18 | 0,60 | 1,80 | 0,030 | 0,035 | 0,30 | 0,30 | 0,30 | 0,15 | 0,012 |
325 | 0,20 | 0,90 | 1,80 | 0,030 | 0,035 | 0,60 | 0,30 | 0,30 | 0,10 | 0,012 |
345 | 0,22 | 0,90 | 1,90 | 0,030 | 0,035 | 0,60 | 0,30 | 0,30 | 0,10 | 0,030 |
355 | ||||||||||
375 | 0,90 | |||||||||
390 | 0,22 | 1,10 | 1,90 | 0,030 | 0,035 | 0,90 | 0,30 | 0,30 | 0,10 | 0,030 |
440 | 0,15 | |||||||||
Примечание - Допускается наличие в стали: AI не более 0,05%, Ti не более 0,04% и Nb не более 0,05%. | ||||||||||
5.1.1.1 Массовая доля As в стали для всех классов прочности не должна превышать 0,08%.
5.1.1.2 Для обеспечения требуемого уровня свойств допускается применять модифицирование стали Са и/или редкоземельными элементами: Рr, Се, La, Nd, Sm, Gd или другими из расчета введения в металл не более 0,02% Са и 0,05% редкоземельных элементов. В документе о качестве указывают расчетное значение введенных элементов.
5.1.2 В продукции допускаются отклонения по массовой доле элементов от норм, приведенных в таблице 1, в соответствии с таблицей 8, кроме отклонений по массовой доле N. Отклонение по массовой доле N допускается только для продукции классов прочности 265, 295, 315, 325.
5.1.3 Перечень рекомендуемых марок стали и состояний поставки для различных видов и классов прочности продукции приведен в приложении А.
5.1.4 Продукцию изготовляют в состоянии:
горячекатаном [без термической обработки] (ГК);
в термически обработанном (ТО) после:
- отжига (ОТ);
- высокого отпуска (ВО);
- нормализации (Н);
- термического упрочнения (ТУ);
в термомеханически обработанном (ТМО) после:
- нормализующей прокатки (НП);
- контролируемой прокатки, в том числе с ускоренным охлаждением (КП) или высоким отпуском (КПО).
Состояние поставки, если оно не оговорено в заказе, определяет изготовитель и указывает в документе о качестве.
Примечание - Допускается подвергать сортовой и фасонный прокат противофлокенной обработке - выдержке при определенной температуре и последующему замедленному охлаждению.
(Измененная редакция, Изм. N 1).
5.1.5 Качество поверхности толстолистового и широкополосного универсального проката
5.1.5.1 На поверхности широких граней (кроме поверхности в зоне катаных кромок) не должно быть рванин, сквозных разрывов, раскатанных пригара и корочки, а также пузырей-вздутий, гармошки, трещин, плен, раскатанных загрязнений и вкатанной окалины.
Устранение недопустимых дефектов поверхности проводят зачисткой. Полученные при зачистке углубления должны иметь плавные переходы с отношением ширины зачистки к ее глубине не менее 5:1. Зачистку проводят абразивным инструментом или способами, не вызывающими изменение свойств проката.
Глубина зачистки дефектов поверхности не должна выводить размер проката за предельное минусовое отклонение по толщине.
Допускается зачистка дефектов поверхности площадью отдельно зачищенного участка не более 100 см на глубину 5% номинальной толщины сверх минусового предельного отклонения по толщине, но не более 3 мм, при этом суммарная площадь всех зачищенных участков данной глубины не должна превышать 2% площади листа.
При совпадении мест зачистки на обеих сторонах проката суммарная глубина зачисток не должна выводить размер проката за предельное минусовое отклонение по толщине.
Общая площадь зачищенной поверхности проката с обеих сторон не должна превышать 20% площади листа с обеих сторон.
Зачищенная поверхность не должна иметь рисок, видимых невооруженным глазом, на границе зоны зачистки не должно быть уступов.
Допускаются без удаления местные (площадью не более 100 см) дефекты (рябизна, риски, отпечатки), суммарной площадью с обеих сторон проката не превышающие 10% площади листа (с обеих сторон) и по своей глубине (высоте) не выводящие размер проката за предельные отклонения по толщине.
На поверхности допускается слой окалины, не препятствующий выявлению дефектов поверхности.
(Измененная редакция, Изм. N 1).
5.1.5.2 На поверхности проката в зоне катаных кромок не должно быть расслоений, рванин, трещин, плен, загрязнений, вкатанной окалины, волосовин и рисок, выводящих прокат за минимальные размеры по толщине, и пузырей-вздутий, выводящих прокат за максимальные размеры по толщине.
5.1.5.2.1 Глубина дефектов на катаных кромках не должна превышать половины предельного отклонения по ширине и не выводить ширину проката за номинальный размер.
5.1.5.3 На обрезных боковых и торцевых кромках толстолистового проката и на торцах широкополосного универсального не должно быть расслоений, трещин, зазубрин и рванин, а также заусенцев высотой более 2 мм.
5.1.5.4 Смятие и подгиб кромок после обрезки не должны выводить толстолистовой прокат за предельные отклонения от плоскостности по ГОСТ 19903.
5.1.5.5 Толстолистовой прокат в штрипсах (рулонах) не должен иметь:
- загнутых более чем на 90° кромок;
- скрученных и смятых концов;
- концов неполной ширины, по длине превышающей ширину.
5.1.6 Качество поверхности и торцов сортового и фасонного проката должно соответствовать требованиям ГОСТ 535, гнутых профилей - ГОСТ 11474.
5.1.7 Заварка и заделка дефектов на поверхности граней и кромках толстолистового, широкополосного универсального, сортового полосового и фасонного проката не допускается.
5.1.8 Механические свойства при испытании на растяжение должны соответствовать для:
- сортового (круглого, квадратного, шестигранного, полосового), фасонного проката - нормам, указанным в таблице 2;
- толстолистового, широкополосного универсального проката и гнутых профилей - нормам, указанным в таблице 3.
Таблица 2 - Механические свойства при испытании на растяжение сортового и фасонного проката
Класс прочности | Размеры проката по сечению, мм | Механические свойства, не менее | ||
Предел текучести | Временное сопротивление | Относительное удлинение | ||
265 | До 250,0 включ. | 265 | 430 | 21 |
295 | До 160,0 включ. | 295 | 430 | |
315 | До 140,0 включ. | 315 | 440 | |
325 | До 140,0 включ. | 325 | 450 | |
345 | До 140,0 включ. | 345 | 480 | |
355 | До 140,0 включ. | 355 | 480 | 21 |
375 | До 50,0 включ. | 375 | 510 | 21 |
390 | До 50,0 включ. | 390 | 530 | 19 |
440 | До 16,0 включ. | 440 | 590 | 19 |
Таблица 2. (Измененная редакция, Изм. N 1).
Таблица 3 - Механические свойства при испытании на растяжение толстолистового, широкополосного универсального проката и гнутых профилей
Класс прочности | Толщина продукции, мм | Механические свойства, не менее | ||||||
Предел текучести | Временное сопротивление | Относительное удлинение | ||||||
265 | До | 160,0 | включ. | 265 | 430 | 21 | ||
295 | До | 100,0 | включ. | 295 | 430 | |||
Св. | 100,0 | до | 160,0 | включ.* | ||||
315 | До | 60,0 | включ. | 315 | 450 | |||
325 | До | 60,0 | включ. | 325 | 450 | |||
345 | До | 50,0 | включ. | 345 | 490 | 21 | ||
Св. | 50,0 | до | 100,0 | включ.* | ||||
355 | До | 50,0 | включ. | 355 | 490 | 20 | ||
Св. | 50,0 | до | 100,0 | включ.* | ||||
375 | До | 50,0 | включ. | 375 | 510 | |||
390 | До | 50,0 | включ. | 390 | 510 | 19 | ||
440 | До | 50,0 | включ. | 440 | 590 | |||
* Для данных размеров продукции результаты испытаний механических свойств не являются браковочным признаком в течение двух лет с даты введения в действие Изменения N 1, указываются в документе о качестве. | ||||||||
Таблица 3. (Измененная редакция, Изм. N 1).
5.1.9 Продукция должна выдерживать испытание на изгиб на 180° на оправке диаметром, равным двум толщинам образцов, без образования разрывов и трещин.
Допускается испытание на изгиб на 180° продукции не проводить, при условии гарантии изготовителем удовлетворительных результатов испытаний у потребителя.
(Измененная редакция, Изм. N 1).
5.1.10 Продукция с испытанием на ударный изгиб в соответствии с категориями, указанными в таблице 4 (если в заказе указана категория).
Таблица 4
Нормируемая характеристика | Категория | |||||||||||||||||||
1 | 2 | 3 | 4 | 5 | 6 | 7 | 8 | 9 | 10 | 11 | 12 | 13 | 14 | 15 | 16 | 17 | 18 | 19 | 20 | |
Ударная вязкость KCU при температуре испытания, °С: | ||||||||||||||||||||
минус 20 | + | + | ||||||||||||||||||
минус 30 | + | + | ||||||||||||||||||
минус 40 | + | + | + | |||||||||||||||||
минус 50 | + | + | ||||||||||||||||||
минус 60 | + | + | + | + | ||||||||||||||||
минус 70 | + | + | + | |||||||||||||||||
Ударная вязкость KCV при температуре испытания, °С: | ||||||||||||||||||||
0 | + | |||||||||||||||||||
минус 5* | + | + | ||||||||||||||||||
минус 20 | + | + | ||||||||||||||||||
минус 40 | + | + | ||||||||||||||||||
минус 60* | + | |||||||||||||||||||
Ударная вязкость KCU после механического старения при температуре испытания, °С: | ||||||||||||||||||||
+20 | + | + | + | + | + | + | + | + | + | + | ||||||||||
* Для толстолистового, широкополосного универсального проката и гнутых профилей. | ||||||||||||||||||||
(Измененная редакция, Изм. N 1).
5.1.10.1 Ударная вязкость должна соответствовать для:
- сортового и фасонного проката - нормам, указанным в таблице 5;
- толстолистового, широкополосного универсального проката и гнутых профилей - нормам, указанным в таблице 6.
Таблица 5 - Ударная вязкость сортового и фасонного проката
Класс проч- | Размеры проката по | Ударная вязкость, Дж/см | |||||||||
ности | сечению, мм | минус 20 | минус 30 | минус 40 | минус 50 | минус 60 | минус 70 | 0 | минус 20 | минус 40 | После механического старения |
KCU | KCV | KCU | |||||||||
265 | До 20,0 включ. | 34* | 34* | 29 | 29 | 29 | 29 | 34* | 34* | 29* | 29 |
Св. 20,0 до 32,0 включ. | 34** | 34** | 29 | 29 | 29 | 29 | 34* | 34* | 29* | ||
Св. 32,0 до 100,0 включ. | 34** | 34** | 29 | 29 | 29 | 29 | 34* | 34* | 29* | ||
Св. 100,0 до 160,0 включ. | 34** | 34** | 29 | 29 | 29 | 29* | 34* | 34* | 29* | ||
Св. 160,0 до 250,0 включ. | 34** | 34** | 29 | 29 | 29 | 29* | 34* | 34* | 29* | ||
295 | Менее 10,0 | 39 | 39 | 39 | 29 | 29 | 29 | 34* | 34* | 29 | 29 |
От 10,0 до 20,0 включ. | 34** | 34** | 29 | 29 | 29 | 29 | 34* | 34* | 29 | ||
Св. 20,0 до 32,0 включ. | 34** | 34** | 29 | 29 | 29 | 29 | 34* | 34* | 29 | ||
Св. 32,0 до 60,0 включ. | 34** | 34** | 29 | 29 | 29 | 29 | 34* | 34* | 29 | ||
Св. 60,0 до 100,0 включ. | 34** | 34** | 29 | 29 | 29 | 29 | 34* | 34* | 29 | ||
Св. 100,0 до 160,0 включ. | 34** | 34** | 29 | 29 | 29 | 29 | 34* | 34* | 29 | ||
315 | До 60,0 включ. | + | 34* | 34* | 34* | 34* | + | + | + | 29 | 29 |
Св. 60,0 до 140,0 включ. | + | 34* | 34* | 34* | 34* | + | + | + | + | ||
325 | До 10,0 включ. | 39 | 34 | 34 | 34 | 34 | 34 | 34 | 34 | 29 | 29 |
Св.10,0 до 20,0 включ. | 39 | 34** | 29 | 34** | 34** | 29 | 34 | 34 | 29 | ||
Св. 20,0 до 32,0 включ. | 34** | 34** | 29 | 29 | 29 | 29 | 29 | 29 | 29 | ||
Св. 32,0 до 60,0 включ. | 34** | 34** | 29 | 29 | 29 | 29 | 29 | 29 | 29 | ||
Св. 60,0 до 140,0 включ. | 34** | 34** | 29 | 29 | 29 | 29 | 29 | 29 | 29 | ||
345 | До 10,0 включ. | 39 | 39 | 39 | 34** | 34** | 29 | 39 | 39 | 29 | 29 |
Св. 10,0 до 20,0 включ. | 34** | 34** | 29 | 29 | 29 | 29 | 34* | 34* | 29 | ||
Св. 20,0 до 140,0 включ. | 34** | 34** | 29 | 29 | 29 | 29 | 34* | 34* | 29 | ||
355 | До 140,0 включ. | + | + | + | + | + | + | + | + | + | 29 |
375 | До 10,0 включ. | 39 | 39 | 39 | + | + | + | + | + | + | 29 |
Св. 10,0 до 20,0 включ. | 34** | 34** | 29 | + | + | + | + | + | + | ||
Св. 20,0 до 50,0 включ. | + | + | + | + | + | + | + | + | + | ||
390 | До 10,0 включ. | 39 | 39 | 39 | 34 | 34 | 34 | + | + | + | 29 |
Св. 10,0 до 16,0 включ. | 34 | 34 | 34 | 34** | 34** | 29 | + | + | + | ||
Св. 16,0 до 20,0 включ. | 34 | 34 | 34 | + | + | + | + | + | + | ||
Св. 20,0 до 50,0 включ. | + | + | + | + | + | + | + | + | + | ||
440 | До 16,0 включ. | + | + | + | + | + | + | + | + | + | 29 |
* Указанные нормы ударной вязкости факультативны в течение двух лет с даты введения в действие Изменения N 1. Результаты контроля указывают в документе о качестве. | |||||||||||
Таблица 5. (Измененная редакция, Изм. N 1).
Таблица 6 - Ударная вязкость толстолистового, широкополосного универсального проката и гнутых профилей
Класс проч- | Толщина продукции, | Ударная вязкость, Дж/см | |||||||||||
ности | мм | минус 20 | минус 30 | минус 40 | минус 50 | минус 60 | минус 70 | 0 | минус 5 | минус 20 | минус 40 | минус 60 | После механического старения |
KCU | KCV | KCU | |||||||||||
265 | Менее 5,0 | + | + | + | + | + | + | 34 | 34* | 34** | 29 | + | 29 |
От 5,0 до 10,0 включ. | + | + | + | + | + | + | 34 | 34* | 34** | 29 | + | ||
Св. 10,0 до 20,0 включ. | + | + | + | + | + | + | 34 | 34* | 34** | 29 | + | ||
Св. 20,0 до 160,0 включ. | 34** | 34** | 34** | 34** | 34** | 29 | + | + | + | 29 | + | ||
295 | Менее 5,0 | + | + | + | + | + | + | 34 | 34* | 34** | 29 | + | 29 |
От 5,0 до 10,0 включ. | 34 | 34 | 34 | 34 | 34 | 34 | 29 | + | |||||
Св. 10,0 до 20,0 включ. | 39 | 34** | 34** | 34** | 34** | 29 | 29 | + | |||||
Св. 20,0 до 32,0 включ. | 39 | 34** | 34** | 34** | 34** | 29 | 29 | + | |||||
Св. 32,0 до 100,0 включ. | 39 | 34** | 34** | 34** | 34** | 29 | + | - | |||||
Св. 100,0 до 160,0 включ. | 39* | 34* | 34* | 34* | 34* | 29* | 34* | 34* | 34* | + | - | ||
315 | До 10,0 включ. | 34* | 34* | + | + | + | + | 34 | 34* | 34** | 29 | - | 29 |
Св. 10,0 до 60,0 включ. | 39 | 34** | 34** | 34** | 34** | 29 | 29 | + | |||||
325 | До 10,0 включ. | 39 | 39 | 39 | 34** | 34** | 29 | 34 | 34* | 34** | 29 | - | 29 |
Св. 10,0 до 20,0 включ. | 34 | 34 | 34 | 34** | 34** | 29 | 29 | + | |||||
Св. 20,0 до 60,0 включ. | 39 | 34** | 34** | 34** | 34** | 29 | + | - | |||||
345 | До 12,0 включ. | 39 | 39 | 39 | 34** | 34** | 29 | + | 34 | 34 | 29 | + | 29 |
Св. 12,0 до 50,0 включ. | 39 | 34** | 34** | 34** | 34** | 29 | 39 | 39 | 39 | + | - | ||
Св. 50,0 до 100,0 включ. | 39* | 34* | 34* | 34* | 34* | 29* | 39* | 39* | 39* | + | - | ||
355 | Менее 5,0 | 34* | 34* | 34* | 34** | 34** | 29 | 34 | 34* | 34** | + | + | 29 |
От 5,0 до 10,0 включ. | 34* | 34* | 34* | + | + | ||||||||
Св. 10,0 до 50,0 включ. | 39 | 34** | 34** | + | - | ||||||||
Св. 50,0 до 100,0 включ. | 39* | 34* | 34* | 34* | 34* | 29* | 34* | 34* | 34* | + | - | ||
375 | До 10,0 включ. | 39 | 39 | 39 | 34 | 34 | 34 | + | 34* | 34** | + | - | 29 |
Св. 10,0 до 50,0 включ. | 39 | 39 | 39 | 34** | 34** | 29 | + | + | + | ||||
390 | До 10,0 включ. | 44 | 44 | 44 | 34 | 34 | 34 | + | 34* | 34** | + | - | 29 |
Св. 10,0 до 15,0 включ. | 39 | 39 | 39 | 34** | 34** | 29 | 39 | 34* | 34** | + | - | ||
Св. 15,0 до 50,0 включ. | 39 | 39 | 39 | 34** | 34** | 29 | 39 | 39 | 39 | + | - | ||
440 | До 10,0 включ. | 44 | 44 | 44 | 34 | 34 | 34 | + | 34* | 34** | + | - | 29 |
Св. 10,0 до 32,0 включ. | 39 | 39 | 39 | 34** | 34** | 29 | + | + | - | ||||
Св. 32,0 до 50,0 включ. | 39 | 39 | 39 | 34** | 34** | 29 | + | + | - | ||||
* Указанные нормы ударной вязкости факультативны в течение двух лет с даты введения в действие Изменения N 1. Результаты контроля указывают в документе о качестве. | |||||||||||||
Таблица 6. (Измененная редакция, Изм. N 1).
5.2 Характеристики исполнения, устанавливаемые по требованию заказчика
5.2.1 Продукция из стали с химическим составом в зависимости от марки стали и композиции.
5.2.1.1 Химический состав стали по анализу ковшевой пробы должен соответствовать нормам, приведенным в таблице 7.
В продукции допускаются отклонения по массовой доле элементов от норм, приведенных в таблице 7, в соответствии с таблицей 8.
Таблица 7 - Химический состав стали по анализу ковшевой пробы
Марка стали* | Массовая доля элементов, % | |||||||||
C | Si | Mn | P | S | Cr | Ni | Cu | V | других элементов | |
не более | ||||||||||
Стали нелегированные качественные | ||||||||||
09Г2 | не более 0,12 | 0,17- | 1,40- | 0,030 | 0,035 | не более 0,30 | не более 0,30 | не более 0,30 | не более 0,12 | - |
09Г2-1 | не более 0,12 | 0,17- | не более 1,80 | 0,030 | 0,035 | не более 0,30 | не более 0,30 | не более 0,30 | не более 0,12 | - |
09Г2Д | не более 0,12 | 0,17- | 1,40- | 0,030 | 0,035 | не более 0,30 | не более 0,30 | 0,15- | не более 0,12 | - |
09Г2Д-1 | не более 0,12 | 0,17- | не более 1,80 | 0,030 | 0,035 | не более 0,30 | не более 0,30 | 0,15- | не более 0,12 | - |
09ГСФЮ | не более 0,12 | не более 0,70 | не более 0,70 | 0,030 | 0,035 | не более 0,30 | не более 0,30 | не более 0,30 | 0,04- | 0,020-0,050 AI; |
10Г2Б | не более 0,12 | 0,17- | 1,20- | 0,030 | 0,035 | не более 0,30 | не более 0,30 | не более 0,30 | не более 0,12 | 0,02-0,05 Nb |
10Г2Б-1 | не более 0,12 | 0,17- | не более 1,60 | 0,030 | 0,035 | не более 0,30 | не более 0,30 | не более 0,30 | не более 0,12 | 0,02-0,05 Nb |
12Г2Б | 0,10- | 0,17- | 1,30- | 0,030 | 0,035 | не более 0,30 | не более 0,30 | не более 0,30 | не более 0,12 | 0,02-0,04 Nb |
12Г2Б-1 | 0,10- | 0,17- | не более 1,65 | 0,030 | 0,035 | не более 0,30 | не более 0,30 | не более 0,30 | не более 0,12 | 0,02-0,04 Nb |
12Г2Ф | 0,09- | 0,17- | 1,30- | 0,030 | 0,035 | не более 0,30 | не более 0,30 | не более 0,30 | 0,02- | - |
12Г2Ф-1 | 0,09- | 0,17- | не более 1,70 | 0,030 | 0,035 | не более 0,30 | не более 0,30 | не более 0,30 | 0,02- | - |
14Г2 | 0,12- | 0,17- | 1,20- | 0,030 | 0,035 | не более 0,30 | не более 0,30 | не более 0,30 | не более 0,12 | - |
14Г2-1 | 0,12- | 0,17- | не более 1,60 | 0,030 | 0,035 | не более 0,30 | не более 0,30 | не более 0,30 | не более 0,12 | - |
15ГФ | 0,12- | 0,17- | 0,90- | 0,030 | 0,035 | не более 0,30 | не более 0,30 | не более 0,30 | 0,05- | - |
15ГФ-1 | 0,12- | 0,17- | не более 1,20 | 0,030 | 0,035 | не более 0,30 | не более 0,30 | не более 0,30 | 0,05- | - |
15Г2СФ | 0,12- | 0,40- | 1,30- | 0,030 | 0,035 | не более 0,30 | не более 0,30 | не более 0,30 | 0,05- | - |
15Г2СФ-1 | 0,12- | не более 0,70 | не более 1,70 | 0,030 | 0,035 | не более 0,30 | не более 0,30 | не более 0,30 | 0,05- | - |
16ГС | 0,12- | 0,40- | 0,90- | 0,030 | 0,035 | не более 0,30 | не более 0,30 | не более 0,30 | не более 0,12 | - |
16ГС-1 | 0,12- | не более 0,70 | не более 1,20 | 0,030 | 0,035 | не более 0,30 | не более 0,30 | не более 0,30 | не более 0,12 | - |
17ГС | 0,14- | 0,40- | 1,00- | 0,030 | 0,035 | не более 0,30 | не более 0,30 | не более 0,30 | не более 0,12 | - |
17ГС-1 | 0,14- | не более 0,60 | не более 1,40 | 0,030 | 0,035 | не более 0,30 | не более 0,30 | не более 0,30 | не более 0,12 | - |
18Г2АФ | 0,14- | не более 0,17 | 1,30- | 0,030 | 0,035 | не более 0,30 | не более 0,30 | не более 0,30 | 0,08- | 0,015-0,030 N |
18Г2АФ-1 | 0,14- | не более 0,17 | не более 1,70 | 0,030 | 0,035 | не более 0,30 | не более 0,30 | не более 0,30 | 0,08- | 0,015-0,030 N |
17Г1С | 0,15- | 0,40- | 1,15- | 0,030 | 0,035 | не более 0,30 | не более 0,30 | не более 0,30 | не более 0,12 | 0,020-0,050 AI |
17Г1С-1 | 0,15- | не более 0,60 | не более 1,60 | 0,030 | 0,035 | не более 0,30 | не более 0,30 | не более 0,30 | не более 0,12 | 0,020-0,050 AI |
17Г1С-У | 0,15- | 0,40- | 1,15- | 0,030 | 0,035 | не более 0,30 | не более 0,30 | не более 0,30 | не более 0,12 | - |
17Г1С-У-1 | не более 0,20 | не более 0,60 | не более 1,55 | 0,030 | 0,035 | не более 0,30 | не более 0,30 | не более 0,30 | не более 0,12 | - |
Стали легированные | ||||||||||
07ГФБ | 0,06- | 0,20- | 0,80- | 0,030 | 0,035 | не более 0,30 | не более 0,30 | не более 0,30 | 0,04- | 0,020-0,050 AI; |
07ГФБ-1 | 0,06- | 0,20- | не более 1,20 | 0,030 | 0,035 | не более 0,30 | не более 0,30 | не более 0,30 | 0,04- | 0,020-0,050 AI; |
08ХМФчЮА | 0,08- | 0,20- | 0,45- | 0,030 | 0,035 | 0,60- | не более 0,25 | не более 0,30 | 0,06- | 0,030-0,050 AI; |
09Г2С | не более 0,12 | 0,50- | 1,30- | 0,030 | 0,035 | не более 0,30 | не более 0,30 | не более 0,30 | не более 0,12 | - |
09Г2С-1 | не более 0,12 | не более 0,80 | не более 1,70 | 0,030 | 0,035 | не более 0,30 | не более 0,30 | не более 0,30 | не более 0,12 | - |
09Г2СД | не более 0,12 | 0,50- | 1,30- | 0,030 | 0,035 | не более 0,30 | не более 0,30 | 0,15- | не более 0,12 | - |
09Г2СД-1 | не более 0,12 | не более 0,80 | не более 1,70 | 0,030 | 0,035 | не более 0,30 | не более 0,30 | 0,15- | не более 0,12 | - |
09Г2ФБ | 0,08- | 0,15- | 1,50- | 0,030 | 0,035 | не более 0,30 | не более 0,30 | не более 0,30 | 0,05- | 0,02-0,05 Nb |
09Г2ФБ-1 | 0,08- | 0,15- | не более 1,70 | 0,030 | 0,035 | не более 0,30 | не более 0,30 | не более 0,30 | 0,05- | 0,02-0,05 Nb |
10Г2С1 | не более 0,12 | 0,80- | 1,30- | 0,030 | 0,035 | не более 0,30 | не более 0,30 | не более 0,30 | не более 0,12 | - |
10Г2С1Д | не более 0,12 | 0,80- | 1,30- | 0,030 | 0,035 | не более 0,30 | не более 0,30 | 0,15- | не более 0,12 | - |
10Г2БД | не более 0,12 | 0,17- | 1,20- | 0,030 | 0,035 | не более 0,30 | не более 0,30 | 0,15- | не более 0,12 | 0,02-0,05 Nb |
10Г2БД-1 | не более 0,12 | 0,17- | не более 1,60 | 0,030 | 0,035 | не более 0,30 | не более 0,30 | 0,15- | не более 0,12 | 0,02-0,05 Nb |
10ХСНД | не более 0,12 | 0,80- | 0,50- | 0,030 | 0,035 | 0,60- | 0,50- | 0,40- | не более 0,12 | - |
10ХНДП | не более 0,12 | 0,17- | 0,30- | 0,070- | 0,035 | 0,50- | 0,30- | 0,30- | не более 0,12 | 0,08-0,15 Al |
10Г2ФБЮ | 0,08- | 0,15- | 1,60- | 0,030 | 0,035 | не более 0,30 | не более 0,30 | не более 0,30 | 0,05- | 0,020-0,050 Al; |
10Г2ФБЮ-1 | 0,08- | 0,15- | не более 1,80 | 0,030 | 0,035 | не более 0,30 | не более 0,30 | не более 0,30 | 0,05- | 0,020-0,050 Al; |
12ГС | 0,09- | 0,50- | 0,80- | 0,030 | 0,035 | не более 0,30 | не более 0,30 | не более 0,30 | не более 0,12 | - |
12ГС-1 | 0,09- | не более 0,80 | не более 1,20 | 0,030 | 0,035 | не более 0,30 | не более 0,30 | не более 0,30 | не более 0,12 | - |
12Г2ФД | 0,09- | 0,17- | 1,30- | 0,030 | 0,035 | не более 0,30 | не более 0,30 | 0,15- | 0,02- | - |
12Г2ФД-1 | 0,09- | 0,17- | не более 1,70 | 0,030 | 0,035 | не более 0,30 | не более 0,30 | 0,15- | 0,02- | - |
12Г2С | 0,09- | 0,50- | 1,30- | 0,030 | 0,035 | не более 0,30 | не более 0,30 | не более 0,30 | не более 0,12 | - |
12Г2С-1 | 0,09- | не более 0,80 | не более 1,70 | 0,030 | 0,035 | не более 0,30 | не более 0,30 | не более 0,30 | не более 0,12 | - |
12Г2СД | 0,09- | 0,50- | 1,30- | 0,030 | 0,035 | не более 0,30 | не более 0,30 | 0,15- | не более 0,12 | - |
12Г2СД-1 | 0,09- | не более 0,80 | не более 1,70 | 0,030 | 0,035 | не более 0,30 | не более 0,30 | 0,15- | не более 0,12 | - |
12ГСБЮ | 0,10- | 0,25- | 1,10- | 0,030 | 0,035 | не более 0,30 | не более 0,30 | не более 0,30 | не более 0,12 | 0,010-0,060 AI; |
12ГСБЮ-1 | 0,10- | 0,25- | не более 1,60 | 0,030 | 0,035 | не более 0,30 | не более 0,30 | не более 0,30 | не более 0,12 | 0,010-0,060 AI; |
13ХФЮ | не более 0,15 | 0,17- | не более 0,70 | 0,030 | 0,035 | 0,50- | не более 0,30 | не более 0,25 | 0,04- | 0,020-0,050 AI; |
14Г2АФ | 0,12- | 0,30- | 1,20- | 0,030 | 0,035 | не более 0,40 | не более 0,30 | не более 0,30 | 0,07- | 0,015-0,025 N |
14Г2АФ-1 | 0,12- | не более 0,60 | не более 1,60 | 0,030 | 0,035 | не более 0,40 | не более 0,30 | не более 0,30 | 0,07- | 0,015-0,025 N |
14Г2АФД | 0,12- | 0,30- | 1,20- | 0,030 | 0,035 | не более 0,40 | не более 0,30 | 0,15- | 0,07- | 0,015-0,025 N |
14Г2АФД-1 | 0,12- | не более 0,60 | не более 1,60 | 0,030 | 0,035 | не более 0,40 | не более 0,30 | 0,15- | 0,07- | 0,015-0,025 N |
14ХГС | 0,11- | 0,40- | 0,90- | 0,030 | 0,035 | 0,50- | не более 0,30 | не более 0,30 | не более 0,05 | - |
15ГФД | 0,12- | 0,17- | 0,90- | 0,030 | 0,035 | не более 0,30 | не более 0,30 | 0,15- | 0,05- | - |
15ГФД-1 | 0,12- | не более 0,37 | не более 1,20 | 0,030 | 0,035 | не более 0,30 | не более 0,30 | 0,15- | 0,05- | - |
15Г2АФД | 0,12- | 0,17- | 1,20- | 0,030 | 0,035 | не более 0,30 | не более 0,30 | 0,20- | 0,08- | 0,015-0,030 N |
15Г2АФД-1 | 0,12- | не более 0,37 | не более 1,60 | 0,030 | 0,035 | не более 0,30 | не более 0,30 | 0,20- | 0,08- | 0,015-0,030 N |
15ХСНД | 0,12- | 0,40- | 0,40- | 0,030 | 0,035 | 0,60- | 0,30- | 0,20- | не более 0,12 | - |
15Г2СФД | 0,12- | 0,40- | 1,30- | 0,030 | 0,035 | не более 0,30 | не более 0,30 | 0,15- | 0,05- | - |
15Г2СФД-1 | 0,12- | не более 0,70 | не более 1,70 | 0,030 | 0,035 | не более 0,30 | не более 0,30 | 0,15- | 0,05- | - |
16Г2АФ | 0,14- | 0,30- | 1,30- | 0,030 | 0,035 | не более 0,40 | не более 0,30 | не более 0,30 | 0,08- | 0,015-0,025 N |
16Г2АФ-1 | 0,14- | не более 0,60 | не более 1,70 | 0,030 | 0,035 | не более 0,40 | не более 0,30 | не более 0,30 | 0,08- | 0,015-0,025 N |
16Г2АФД | 0,14- | 0,30- | 1,30- | 0,030 | 0,035 | не более 0,40 | не более 0,30 | 0,15- | 0,08- | 0,015-0,025 N |
16Г2АФД-1 | 0,14- | не более 0,60 | не более 1,70 | 0,030 | 0,035 | не более 0,40 | не более 0,30 | 0,15- | 0,08- | 0,015-0,025 N |
18Г2АФД | 0,14- | не более 0,17 | 1,30- | 0,030 | 0,035 | не более 0,30 | не более 0,30 | 0,15- | 0,08- | 0,015-0,030 N |
18Г2АФД-1 | 0,14- | не более 0,17 | не более 1,70 | 0,030 | 0,035 | не более 0,30 | не более 0,30 | 0,15- | 0,08- | 0,015-0,030 N |
20ФЮ | не более 0,22 | 0,17- | не более 0,65 | 0,030 | 0,035 | не более 0,30 | не более 0,30 | не более 0,30 | 0,04- | 0,020-0,050 AI; |
* Обозначение марок стали установлено в соответствии с действующей документацией на поставку проката из низколегированной стали, конструкторской документацией и соответствующими СНиП. 10 Сталь марки 08ХМФчЮА модифицируется силикокальцием и ферроцерием из расчета получения в стали массовой доли Ca и Ce не более 0,05% каждого. Фактическую массовую долю Ca и Ce не определяют. В документе о качестве указывают массовую долю данных элементов по расчету. 11 По согласованию изготовителя с заказчиком при микролегировании стали Nb отклонения по нижнему пределу массовой доли Si - для стали марки 09Г2С, Si и C - для стали марки 17Г1С не являются браковочными признаками. | ||||||||||
Таблица 7. (Измененная редакция, Изм. N 1).
Таблица 8 - Предельные отклонения по химическому составу в продукции
Наименование элемента | Предельные отклонения по массовой доле элементов, % |
C | ±0,02 |
Mn | ±0,10 |
Si | ±0,05 |
Сr | ±0,05 |
Ni | ±0,05 |
Сu | ±0,05 |
S | ±0,005 |
Р | +0,005 |
N | ±0,005 |
V | +0,02 |
-0,01 | |
Ti | +0,010 |
Nb | +0,010 |
Al | +0,010 |
В [для стали марки 10ХСНД с микролегированием (Ti+B)] | +0,0005 |
Примечания | |
Таблица 8. (Измененная редакция, Изм. N 1).
5.2.1.2 Продукция с гарантией свариваемости (ГС). Свариваемость обеспечивается:
- технологией изготовления и соблюдением требований по химическому составу с учетом предельных отклонений в готовой продукции;
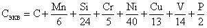
- ограничением величины углеродного эквивалента , которая не должна превышать, %:
0,43 - для классов прочности 265, 295, 315, 325;
0,46 - для классов прочности 345, 355, 375;
0,48 - для класса прочности 390;
0,51 - для класса прочности 440.
Для проката классов прочности 345, 375, 390 из стали марки 10ХСНД без микролегирования (Ti+B) допускается величина углеродного эквивалента , не более 0,51%;
- при микролегировании (Ti+B) стали марки 10ХСНД - параметром стойкости против растрескивания при сварке , который должен быть не более 0,30%.
Величина параметра стойкости против растрескивания при сварке , при необходимости, уточняется после набора статистических данных при контроле в течение двух лет с даты введения в действие Изменения N 1.
(Измененная редакция, Изм. N 1).
5.2.1.3 Продукция классов прочности 265, 295, 315, 325, 345, 355, 375, 390 и 440 с указанием соответствующей марки стали, имеющей в обозначении букву Д, с повышенной стойкостью против атмосферной коррозии. Повышенная стойкость против атмосферной коррозии гарантируется химическим составом стали и технологией изготовления.
Примечание - Прокат класса прочности 295, из стали марки 09Г2Д, 09Г2Д-1 изготовляют толщиной до 32 мм включ.
5.2.1.4 Механические свойства при испытании на растяжение должны соответствовать для:
- сортового и фасонного проката - требованиям таблицы 9;
- толстолистового, широкополосного универсального проката и гнутых профилей - требованиям таблицы 10.
5.2.1.5 Нормы ударной вязкости в зависимости от заказанной категории по таблице 4 должны соответствовать указанным в таблицах 11 и 12.
5.2.1.6 (Исключен, Изм. N 1).
Таблица 9 - Механические свойства при испытании на растяжение сортового и фасонного проката
Класс проч- | Размеры проката по сечению, мм | Марка стали | Механические свойства, не менее | ||||||
Предел теку- | Времен- | Относи- | |||||||
265 | До 250,0 включ. | 09Г2С, 09Г2С-1, 09Г2СД, 09Г2СД-1, 12Г2С, 12Г2С-1, 12Г2СД, 12Г2СД-1, 12Г2Ф, 12Г2Ф-1, 12Г2ФД, 12Г2ФД-1 | 265 | 430 | 21 | ||||
295 | До | 20,0 | включ. | 09Г2, 09Г2-1, 09Г2Д, 09Г2Д-1 | 305 | 440 | 21 | ||
09Г2С, 09Г2С-1, 09Г2СД, 09Г2СД-1, 10Г2С1, 10Г2С1Д, 12Г2С, 12Г2С-1, 12Г2СД, 12Г2СД-1, 12Г2Ф, 12Г2Ф-1, 12Г2ФД, 12Г2ФД-1 | 295 | 430 | |||||||
Св. | 20,0 | до | 160,0 | включ. | 09Г2, 09Г2-1, 09Г2Д, 09Г2Д-1, 09Г2С, 09Г2С-1, 09Г2СД, 09Г2СД-1, 10Г2С1, 10Г2С1Д, 12Г2С, 12Г2С-1, 12Г2СД, 12Г2СД-1, 12Г2Ф, 12Г2Ф-1, 12Г2ФД, 12Г2ФД-1 | 295 | 430 | ||
315 | До 140,0 включ. | Марки стали согласовывают между изготовителем и потребителем | 315 | 440 | 21 | ||||
325 | До 140,0 включ. | 09Г2С, 09Г2С-1, 09Г2СД, 09Г2СД-1, 12Г2С, 12Г2С-1, 12Г2СД, 12Г2СД-1, 12Г2Ф, 12Г2Ф-1, 12Г2ФД, 12Г2ФД-1, 14Г2, 14Г2-1, 15ГФ, 15ГФ-1, 15ГФД, 15ХСНД, 10Г2С1, 10Г2С1Д | 325 | 450 | 21 | ||||
345 | До 140,0 включ. | 09Г2, 09Г2-1, 09Г2С, 09Г2С-1, 09Г2СД, 09Г2СД-1, 10Г2С1, 10Г2С1Д, 10ХСНД, 10ХНДП, 12Г2С, 12Г2С-1, 12Г2СД, 12Г2СД-1, 12Г2Ф, 12Г2Ф-1, 12Г2ФД, 12Г2ФД-1, 15ХСНД, 15ГФ, 15ГФ-1, 15ГФД, 15ГФД-1 | 345 | 480 | 21 | ||||
355 | До 140,0 включ. | Марки стали согласовываются между изготовителем и потребителем | 355 | 480 | 21 | ||||
375 | До 50,0 включ. | 09Г2С, 09Г2С-1, 09Г2СД, 09Г2СД-1, 12Г2С, 12Г2С-1, 12Г2СД, 12Г2СД-1, 12Г2Ф, 12Г2Ф-1, 12Г2ФД, 12Г2ФД-1, 10Г2Б, 10Г2БД, 10ХСНД, 15ГФ, 15ГФ-1, 15ГФД | 375 | 510 | 21 | ||||
390 | До 50,0 включ. | 10ХСНД, 12Г2Ф, 12Г2Ф-1, 12Г2ФД, 12Г2ФД-1, 15Г2СФ, 15Г2СФ-1, 15Г2СФД, 15Г2СФД-1 | 390 | 530 | 19 | ||||
440 | До 16,0 включ. | Марки стали согласовываются между изготовителем и потребителем | 440 | 590 | 19 | ||||
Таблица 9. (Измененная редакция, Изм. N 1).
Таблица 10 - Механические свойства при испытании на растяжение толстолистового, широкополосного универсального проката и гнутых профилей
Класс проч- | Толщина продукции, мм | Марка стали | Механические свойства, не менее | ||||||
Пре- | Времен- | Относи- | |||||||
265 | До 160,0 включ. | 09Г2С, 09Г2С-1, 09Г2СД, 09Г2СД-1 | 265 | 430 | 21 | ||||
16ГС, 16ГС-1 | 450 | ||||||||
295 | До 20,0 включ. | 09Г2, 09Г2-1, 09Г2Д, 09Г2Д-1 | 305 | 440 | 21 | ||||
09Г2СД, 09Г2СД-1, 16ГС, 16ГС-1, 10Г2С1, 10Г2С1Д | 295 | 430 | |||||||
Св. 20,0 до 100,0 включ. | 09Г2, 09Г2-1, 09Г2Д, 09Г2Д-1, 09Г2СД, 09Г2СД-1, 16ГС, 16ГС-1, 10Г2С1, 10Г2С1Д | 295 | 430 | ||||||
До 100,0 включ. | 09Г2С, 09Г2С-1 | 295 | 450 | ||||||
315 | До 60,0 включ. | 16ГС, 16ГС-1, 09Г2С, 09Г2С-1, 09Г2СД, 09Г2СД-1, 10Г2С1, 10Г2С1Д, 17Г1С, 17Г1С-1 | 315 | 450 | 21 | ||||
12ГС, 12ГС-1 | 26 | ||||||||
325 | До 10,0 включ. | 14Г2, 14Г2-1, 16ГС, 16ГС-1, 09Г2С, 09Г2С-1, 09Г2СД, 09Г2СД-1, 10Г2С1, 10Г2С1Д, 17ГС, 17ГС-1, 15ГФ, 15ГФ-1, 15ГФД, 17Г1С, 17Г1С-1 | 325 | 450 | 21 | ||||
Св. | 10,0 | до | 20,0 | включ. | 09Г2С, 09Г2С-1 | 325 | 470 | ||
14Г2, 14Г2-1, 16ГС, 16ГС-1, 09Г2СД, 09Г2СД-1, 10Г2С1, 10Г2С1Д, 17ГС, 17ГС-1, 15ГФ, 15ГФ-1, 15ГФД, 17Г1С, 17Г1С-1 | 325 | 450 | |||||||
Св. | 20,0 | до | 60,0 | включ. | 14Г2, 14Г2-1, 16ГС, 16ГС-1, 09Г2С, 09Г2С-1, 09Г2СД, 09Г2СД-1, 10Г2С1, 10Г2С1Д, 17ГС, 17ГС-1, 15ГФ, 15ГФ-1, 15ГФД, 17Г1С, 17Г1С-1 | 325 | 450 | ||
345 | До 50,0 включ. | 09Г2Д, 09Г2С, 09Г2С-1, 09Г2СД, 09Г2СД-1, 10Г2С1, 10Г2С1Д, 14ХГС, 15ХСНД, 15ГФ, 15ГФ-1, 15ГФД | 345 | 490 | 21 | ||||
17ГС, 17ГС-1, 17Г1С, 17Г1С-1 | 23 | ||||||||
10ХНДП | 345 | 470 | 20 | ||||||
355 | До 50,0 включ. | 09Г2С, 09Г2С-1, 09Г2СД, 09Г2СД-1, 10Г2С1, 10Г2С1Д, 17Г1С, 17Г1С-1, 15ГФ, 15ГФ-1, 15ГФД | 355 | 490 | 21 | ||||
375 | До 50,0 включ. | 10Г2Б, 10Г2Б-1, 10Г2БД, 10Г2БД-1, 15ГФ, 15ГФ-1, 15ГФД, 10ХСНД, 09Г2С, 09Г2С-1, 09Г2СД, 09Г2СД-1, 14Г2АФ, 14Г2АФ-1, 14Г2АФД, 14Г2АФД-1,17Г1С, 17Г1С-1, 17Г1С-У | 375 | 510 | 20 | ||||
390 | До 50,0 включ. | 10Г2С1, 10Г2С1Д, 10ХСНД, 14Г2, 14Г2-1, 14Г2АФ, 14Г2АФ-1, 14Г2АФД, 14Г2АФД-1, 15Г2АФД, 15Г2АФД-1, 15Г2СФ, 15Г2СФ-1, 15Г2СФД, 15Г2СФД-1, 16Г2АФ, 16Г2АФ-1, 16Г2АФД, 16Г2АФД-1 | 390 | 510 | 19 | ||||
440 | До 50,0 включ. | 16Г2АФ, 16Г2АФ-1, 16Г2АФД, 16Г2АФД-1, 18Г2АФ, 18Г2АФ-1, 18Г2АФД, 18Г2АФД-1 | 440 | 590 | |||||
* Для данных размеров продукции результаты испытаний механических свойств не являются браковочным признаком в течение двух лет с даты введения в действие Изменения N 1, указываются в документе о качестве. | |||||||||
Таблица 10. (Измененная редакция, Изм. N 1).
Таблица 11 - Ударная вязкость сортового и фасонного проката
Класс прочности | Размеры проката по сечению, мм | Марка стали | Ударная вязкость, Дж/см | |||||||||
минус 20 | минус 30 | минус 40 | минус 50 | минус 60 | минус 70 | 0 | минус 20 | минус 40 | После механического старения +20 | |||
KCU | KCV | KCU | ||||||||||
265 | До 20,0 включ. | 09Г2С, 09Г2С-1, 09Г2СД, | + | + | + | + | + | + | + | + | 29 | 29 |
Св. 20,0 до 32,0 включ. | 09Г2СД-1, 12Г2С, 12Г2С-1, 12Г2СД, 12Г2СД-1, 12Г2Ф, | 29 | 29 | 29 | + | + | + | + | + | 29 | ||
Св. 32,0 до 100,0 включ. | 12Г2Ф-1, 12Г2ФД, 12Г2ФД-1 | 29 | 29 | 29 | + | + | + | + | + | + | ||
Св. 100,0 до 250,0 включ. | 29 | 29 | 29 | + | + | + | + | + | + | |||
295 | Менее 10,0 | 09Г2, 09Г2-1, 09Г2Д, 09Г2Д-1, | 39 | 39 | 39 | 29 | 29 | 29 | 34* | 34* | 29 | 29 |
От 10,0 до 20,0 включ. | 09Г2С, 09Г2С-1, 09Г2СД, 09Г2СД-1, 12Г2С, 12Г2С-1, | 29 | 29 | 29 | 29 | 29 | 29 | 34* | 34* | 29 | ||
Св. 20,0 до 32,0 включ. | 12Г2СД, 12Г2СД-1, 12Г2Ф, 12Г2Ф-1, 12Г2ФД, 12Г2ФД-1 | 29 | 29 | 29 | 29 | 29 | 29 | 34* | 34* | 29 | ||
Св. 32,0 до 100,0 включ. | 10Г2С1, 10Г2С1Д | 29 | 29 | 29 | 29 | 29 | 29 | 34* | 34* | 29 | ||
Св. 100,0 до 160,0 включ. | 29 | 29 | 29 | 29 | 29 | 29 | 34* | 34* | 29 | |||
315 | До 60,0 включ. | Марки стали согласовывают | + | 34* | 34* | 34* | 34* | + | + | + | 29 | 29 |
Св. 60,0 до 140,0 включ. | между изготовителем и потребителем | + | 34* | 34* | 34* | 34* | + | + | + | + | ||
325 | Менее 5,0 | 09Г2С, 09Г2С-1, 09Г2СД, 09Г2СД-1, 12Г2С, 12Г2С-1, 12Г2СД, 12Г2СД-1, 12Г2Ф, 12Г2Ф-1, 12Г2ФД, 12Г2ФД-1, 14Г2, 14Г2-1, 15ГФ, 15ГФ-1, 15ГФД, 15ХСНД | 39 | 34 | 34 | 34 | 34 | 34 | 34 | 34 | 29 | 29 |
От 5,0 до 10,0 включ. | 09Г2С, 09Г2С-1, 09Г2СД, 09Г2СД-1, 12Г2С, 12Г2С-1, 12Г2СД, 12Г2СД-1, 12Г2Ф, 12Г2Ф-1, 12Г2ФД, 12Г2ФД-1 | 39 | 39 | 39 | 34 | 34 | 34 | 34 | 34 | 29 | ||
14Г2, 14Г2-1, 15ГФ, 15ГФ-1, 15ГФД, 15ХСНД | 39 | 34 | 34 | 34 | 34 | 34 | 34 | 34 | 34 | |||
Св. 10,0 до 20,0 включ. | 09Г2С, 09Г2С-1, 09Г2СД, 09Г2СД-1, 12Г2С, 12Г2С-1, 12Г2СД, 12Г2СД-1, 12Г2Ф, 12Г2Ф-1, 12Г2ФД, 12Г2ФД-1 | 39 | 39 | 39 | 34* | 34* | 29 | 34 | 34 | 29 | ||
10Г2С1, 10Г2С1Д, 14Г2, 14Г2-1, 15ГФ, 15ГФ-1, 15ГФД, 15ХСНД | 39 | 34* | 34* | 34* | 34* | 29 | 34 | 34 | 34 | |||
Св. 20,0 до 32,0 включ. | 09Г2С, 09Г2С-1, 09Г2СД, 09Г2СД-1, 12Г2С, 12Г2С-1, 12Г2СД, 12Г2СД-1, 12Г2Ф, 12Г2Ф-1, 12Г2ФД, 12Г2ФД-1 | 39 | 39 | 39 | 29 | 29 | 29 | 34 | 34 | 29 | 29 | |
10Г2С1, 10Г2С1Д, 14Г2, 14Г2-1, 15ГФ, 15ГФ-1, 15ГФД, 15ХСНД | 29 | 29 | 29 | 29 | 29 | 29 | 34* | 34* | 29 | |||
Св. 32,0 до 60,0 включ. | 10Г2С1, 10Г2С1Д | 29 | 29 | 29 | 29 | 29 | 29 | 34* | 34* | 29 | ||
Св. 60,0 до 140,0 включ. | 29 | 29 | 29 | 29 | 29 | 29 | 34* | 34* | 29 | |||
345 | Менее 5,0 | 09Г2, 09Г2-1, 09Г2С, 09Г2С-1, 09Г2СД, 09Г2СД-1, 10Г2С1, 10Г2С1Д, 10ХСНД, 10ХНДП, 12Г2С, 12Г2С-1, 12Г2СД, 12Г2СД-1, 12Г2Ф, 12Г2Ф-1, 12Г2ФД, 12Г2ФД-1, 15ХСНД | 39 | 39 | 39 | 29 | 29 | 29 | 39 | 39 | 29 | 29 |
От 5,0 до 10,0 включ. | 09Г2, 09Г2-1, 09Г2С, 09Г2С-1, 09Г2СД, 09Г2СД-1, 12Г2С, 12Г2С-1, 12Г2СД, 12Г2СД-1, 12Г2Ф, 12Г2Ф-1, 12Г2ФД, 12Г2ФД-1 | 39 | 39 | 39 | 34 | 34 | 34 | 39 | 39 | 29 | ||
10Г2С1, 10Г2С1Д, 10ХСНД 10ХНДП, 15ХСНД | 39 | 39 | 39 | 29 | 29 | 29 | 39 | 39 | 34 | 29 | ||
Св. 10,0 до 20,0 включ. | 09Г2С, 09Г2С-1, 09Г2СД, 09Г2СД-1, 12Г2С, 12Г2С-1, 12Г2СД, 12Г2СД-1, 12Г2Ф, 12Г2Ф-1, 12Г2ФД, 12Г2ФД-1, 15ГФ, 15ГФ-1, 15ГФД | 29 | 29 | 29 | 29 | 29 | 29 | 34* | 34* | 29 | ||
Св. 20,0 до 140,0 включ. | 29 | 29 | 29 | 29 | 29 | 29 | 34* | 34* | 29 | |||
355 | До 140,0 включ. | Марки стали согласовывают между изготовителем и потребителем | + | + | + | + | + | + | + | + | + | 29 |
375 | До 10,0 включ. | 09Г2С, 09Г2С-1, 09Г2СД, 09Г2СД-1, 10Г2Б, 10Г2БД, 12Г2С, 12Г2С-1, 12Г2СД, 12Г2СД-1, 12Г2Ф, 12Г2Ф-1, 12Г2ФД, 12Г2ФД-1 | 39 | 39 | 39 | + | + | + | 34* | 34* | + | 29 |
Св. 10,0 до 20,0 включ. | 10ХСНД, 15ГФ, 15ГФ-1, 15ГФД | 29 | 29 | 29 | + | + | + | 34* | 34* | + | ||
Св. 20,0 до 50,0 включ. | 09Г2С, 09Г2С-1, 09Г2СД, 09Г2СД-1, 10Г2Б, 10Г2БД, 10ХСНД, 12Г2С, 12Г2С-1, 12Г2СД, 12Г2СД-1, 12Г2Ф, 12Г2Ф-1, 12Г2ФД, 12Г2ФД-1, 15ГФ, 15ГФ-1, 15ГФД | + | + | + | + | + | + | 34* | 34* | + | ||
390 | Менее 5,0 | 10ХСНД, 12Г2Ф, 12Г2Ф-1, 12Г2ФД, 12Г2ФД-1, 15Г2СФ, 15Г2СФ-1, 15Г2СФД, 15Г2СФД-1 | 39 | 39 | 39 | 34 | 34 | 34 | 34* | 34* | + | 29 |
От 5,0 до 10,0 | 10ХСНД | 49 | 49 | 49 | 34 | 34 | 34 | 34* | 34* | + | ||
включ. | 12Г2Ф, 12Г2Ф-1, 12Г2ФД, 12Г2ФД-1, 15Г2СФ, 15Г2СФ-1, 15Г2СФД, 15Г2СФД-1 | 39 | 39 | 39 | 34 | 34 | 34 | 34* | 34* | + | ||
Св. 10,0 до 16,0 | 10ХСНД | 39 | 39 | 39 | 29 | 29 | 29 | 34* | 34* | + | ||
включ. | 12Г2Ф, 12Г2Ф-1, 12Г2ФД, 12Г2ФД-1, 15Г2СФ, 15Г2СФ-1, 15Г2СФД, 15Г2СФД-1 | 34 | 34 | 34 | 29 | 29 | 29 | 34* | 34* | + | ||
Св. 16,0 до 20,0 включ. | 12Г2Ф, 12Г2Ф-1, 12Г2ФД, 12Г2ФД-1, 15Г2СФ, 15Г2СФ-1, 15Г2СФД, 15Г2СФД-1 | 34 | 34 | 34 | + | + | + | 34* | 34* | + | ||
Св. 20,0 до 50,0 включ. | 12Г2Ф, 12Г2Ф-1, 12Г2ФД, 12Г2ФД-1, 15Г2СФ, 15Г2СФ-1, 15Г2СФД, 15Г2СФД-1 | + | + | + | + | + | + | 34* | 34* | + | ||
440 | До 16 включ. | Марки стали согласовывают между изготовителем и потребителем | + | + | + | + | + | + | 34* | 34* | + | 29 |
* Указанные нормы ударной вязкости факультативны в течение двух лет с даты введения в действие Изменения N 1. Результаты контроля указывают в документе о качестве. | ||||||||||||
Таблица 11. (Измененная редакция, Изм. N 1).
Таблица 12 - Ударная вязкость толстолистового, широкополосного универсального проката и гнутых профилей
Класс прочности | Толщина продукции, мм | Марка стали | Ударная вязкость, Дж/см | ||||||||||
минус 20 | минус 30 | минус 40 | минус 50 | минус 60 | минус 70 | 0 | минус 20 | минус 40 | минус 60 | После механического старения +20 | |||
KCU | KCV | KCU | |||||||||||
265 | До 20,0 включ. | 09Г2С, 09Г2С-1, 09Г2СД, 09Г2СД-1 | 39 | 34 | 34 | 34** | 34** | 29 | 39 | 39 | 29 | + | 29 |
Св. 20,0 до 160,0 включ. | 09Г2С, 09Г2С-1, 09Г2СД, 09Г2СД-1 | 39 | 34 | 34 | 34** | 34** | 29 | 39 | 39 | 29 | + | ||
16ГС,16ГС-1 | 39 | 34** | 34** | 34** | 34** | 24 | 34* | + | + | - | |||
295 | Менее 5,0 | 09Г2, 09Г2Д, 09Г2С, 09Г2С-1, | + | + | + | + | + | + | 34 | 34* | 29 | + | 29 |
От 5,0 до 10,0 включ. | 09Г2СД, 09Г2СД-1 | 34 | 34 | 34 | 34 | 34 | 34 | + | |||||
Св. 10,0 до 20,0 включ. | 39 | 34** | 34** | 34** | 34** | 29 | + | ||||||
Св. 20,0 до 32,0 включ. | 09Г2, 09Г2-1, 09Г2Д, 09Г2Д-1 | 39 | 39 | 39 | 34** | 34** | 24 | 34 | 34** | + | - | 29 | |
09Г2С, 09Г2С-1, 09Г2СД, 09Г2СД-1 | 39 | 34** | 34** | 34** | 34** | 24 | 39 | 39 | 29 | + | |||
16ГС,16ГС-1 | 39 | 34** | 34** | 34** | 34** | 24 | 34 | 34** | + | - | |||
Св.32,0 до 100,0 включ. | 10Г2С1, 10Г2С1Д | 39 | 34** | 34** | 34** | 34** | 24 | 34 | 34** | + | - | ||
Св. 100,0 до 160,0 включ.* | |||||||||||||
315 | До 10,0 включ. | 12ГС, 12ГС-1 | 34* | 34* | 34* | 34* | 34* | + | 34 | 34** | + | - | 29 |
Св. 10,0 до 20,0 включ. | 16ГС, 16ГС-1 | 39 | 34** | 34** | 34** | 34** | 24 | - | |||||
Св. 20,0 до 60,0 включ. | 09Г2С, 09Г2С-1, 09Г2СД, 09Г2СД-1 | 39 | 34** | 34** | 34** | 34** | 24 | 39 | 39 | 29 | + | ||
10Г2С1, 10Г2С1Д, 17Г1С, 17Г1С-1 | 39 | 34** | 34** | 34** | 34** | 24 | 34 | 34** | + | - | |||
325 | Менее 5,0 | 14Г2, 14Г2-1, 16ГС, 16ГС-1 | 39 | 39 | 39 | 34** | 34** | 29 | 34 | 34** | + | - | 29 |
От 5,0 до 10,0 включ. | 14Г2, 14Г2-1 | 39 | 39 | 34 | 34** | 34** | 29 | - | |||||
16ГС, 16ГС-1 | 39 | 39 | 39 | 34** | 34** | 29 | - | ||||||
Св. 10,0 до 20,0 включ. | 09Г2С, 09Г2С-1, 09Г2СД, 09Г2СД-1 | 39 | 34 | 34 | 34** | 34** | 29 | 39 | 39 | 29 | + | 29 | |
10Г2С1, 10Г2С1Д, 17ГС, 17ГС-1 | 34 | 34 | 34 | 34** | 34** | 29 | 34 | 34** | + | - | |||
14Г2, 14Г2-1 | 39 | 39 | 34** | 34** | 34** | 29 | - | ||||||
Св. 20,0 до 32,0 включ. | 14Г2, 14Г2-1, 15ГФ, 15ГФ-1, 15ГФД | 39 | 34** | 34** | 34** | 34** | 24 | - | |||||
Св. 32,0 до 60,0 включ. | 10Г2С1, 10Г2С1Д, 17Г1С, 17Г1С-1 | 39 | 34** | 34** | 34** | 34** | 24 | - | |||||
345 | Менее 5,0 | 09Г2Д, 09Г2С, 09Г2С-1, 09Г2СД, 09Г2СД-1 | 39 | 39 | 39 | 34** | 34** | 29 | 39 | 39 | 29 | + | 29 |
10Г2С1, 10Г2С1Д, 10ХНДП, 14ХГС, 15ХСНД, 17ГС, 17ГС-1 | 39 | 39 | 39 | 34** | 34** | 29 | 34** | 34 | + | - | |||
От 5,0 до 12,0 включ. | 09Г2С, 09Г2С-1, 09Г2СД, 09Г2СД-1 | 39 | 39 | 39 | 34** | 34** | 29 | 39 | 39 | 29 | + | 29 | |
Св. 12,0 до 50,0 включ.* | 10Г2С1, 10Г2С1Д, 10ХНДП, 14ХГС, 15ХСНД | 39 | 39 | 39 | 34** | 34** | 29 | 34** | 34 | + | - | ||
17ГС, 17ГС-1 | 44 | 44 | 44 | 34** | 34** | 29 | 34** | 39 | + | - | |||
Св. 12,0 до 20,0 включ. | 15ГФ, 15ГФ-1, 15ГФД, 17Г1С, 17Г1С-1 | 39 | 34** | 34** | 34** | 34** | 29 | 39 | 39 | + | - | ||
Св. 20,0 до 50,0 включ. | 15ХСНД, 17Г1С, 17Г1С-1 | 39 | 34** | 34** | 34** | 34** | 29 | 39 | 39 | + | - | ||
Св. 50,0 до 100,0 включ.* | 39 | 34 | 34 | 34 | 34 | 29 | 39 | 39 | + | - | |||
355 | До 10,0 включ. | 09Г2С, 09Г2С-1, 09Г2СД, 09Г2СД-1 | 34* | 34* | 34* | 34** | 34** | 29 | 39 | 39 | + | + | 29 |
Св. 10,0 до 50,0 включ.* | 10Г2С1, 10Г2С1Д, 17Г1С, 17Г1С-1 | 34* | 34* | 34* | 34** | 34** | 29 | 34 | 34** | + | - | ||
Св. 10,0 до 50,0 включ. | 15ГФ, 15ГФ-1, 15ГФД, 17Г1С, 17Г1С-1 | 39 | 34** | 34** | 34** | 34** | 29 | 34 | 34** | + | - | ||
Св. 50,0 до 100,0 включ.* | 39 | 34 | 34 | 34 | 34 | 29 | 34 | 34** | + | - | |||
375 | До 10,0 включ. | 10Г2Б, 10Г2Б-1, 10Г2БД, 10Г2БД-1, 15ГФ, 15ГФ-1, 15ГФД | 39 | 39 | 39 | 34 | 34 | 34 | 34* | 34** | + | - | 29 |
10ХСНД | 39 | 39 | 39 | 34 | 34 | 34 | 39 | 39 | + | - | |||
Св. 10,0 до 32,0 включ. | 09Г2С, 09Г2С-1, 09Г2СД, 09Г2СД-1 | 39 | 39 | 39 | 34** | 34** | 29 | 39 | 39 | + | + | ||
14Г2АФ, 14Г2АФ-1, 14Г2АФД, 14Г2АФД-1, 17Г1С, 17Г1С-1, 17Г1С-У | 39 | 39 | 39 | 34** | 34** | 29 | 34* | 34** | + | - | |||
Св. 32,0 до 50,0 включ. | 14Г2АФ, 14Г2АФ-1, 14Г2АФД, 14Г2АФД-1, 17Г1С, 17Г1С-1, 17Г1С-У | 39 | 39 | 39 | 34** | 34** | 29 | 34* | 34** | + | - | ||
390 | До 10,0 включ. | 10ХСНД | 44 | 44 | 44 | 34 | 34 | 34 | 39 | 39 | + | - | 29 |
12Г2Б, 12Г2Б-1, | 44 | 44 | 44 | 34 | 34 | 34 | 34* | 39 | + | - | |||
10Г2С1, 10Г2С1Д, 14Г2, 14Г2-1, 14Г2АФ, 14Г2АФ-1, 14Г2АФД, 14Г2АФД-1, 15Г2АФД, 15Г2АФД-1, 15Г2СФ, 15Г2СФ-1, 15Г2СФД, 15Г2СФД-1 | 44 | 44 | 44 | 34 | 34 | 34 | 34* | 34** | + | - | |||
Св. 10,0 до 15,0 | 10ХСНД | 39 | 39 | 39 | 34** | 34** | 29 | 39 | 39 | + | - | ||
включ. | 10Г2С1, 10Г2С1Д, 14Г2, 14Г2-1, 14Г2АФ, 14Г2АФ-1, 14Г2АФД, 14Г2АФД-1, 15Г2АФД, 15Г2АФД-1, 15Г2СФ, 15Г2СФ-1, 15Г2СФД, 15Г2СФД-1 | 39 | 39 | 39 | 34** | 34** | 29 | 39 | 34** | + | - | ||
Св. 15,0 до 32,0 | 10ХСНД | 49 | 49 | 49 | 34** | 34** | 29 | 39 | 39 | + | - | 29 | |
включ. | 10Г2С1, 10Г2С1Д, 14Г2, 14Г2-1, 14Г2АФ, 14Г2АФ-1, 14Г2АФД, 14Г2АФД-1, 15Г2АФД, 15Г2АФД-1, 15Г2СФ, 15Г2СФ-1, 15Г2СФД, 15Г2СФД-1 | 39 | 39 | 39 | 34** | 34** | 29 | 39 | 39 | + | - | ||
Св. 32,0 до 40,0 | 10ХСНД | 49 | 49 | 49 | 34** | 34** | 29 | 39 | 39 | + | - | ||
включ. | 14Г2АФ, 14Г2АФ-1, 14Г2АФД, 14Г2АФД-1, 16Г2АФ, 16Г2АФ-1, 16Г2АФД, 16Г2АФД-1 | 39 | 39 | 39 | 34** | 34** | 29 | 39 | 39 | + | - | ||
Св. 40,0 до 50,0 включ. | 10ХСНД, 14Г2АФ, 14Г2АФ-1, 14Г2АФД, 14Г2АФД-1, 16Г2АФ, 16Г2АФ-1, 16Г2АФД, 16Г2АФД-1 | 39 | 39 | 39 | 34** | 34** | 29 | 39 | 39 | + | - | ||
440 | До 10,0 включ. | 16Г2АФ, 16Г2АФ-1, 16Г2АФД, 16Г2АФД-1, 18Г2АФ, 18Г2АФ-1, 18Г2АФД, 18Г2АФД-1 | 44 | 44 | 44 | 34 | 34 | 34 | 39 | 39 | + | - | 29 |
Св. 10,0 до 32,0 включ. | 39 | 39 | 39 | 34** | 34** | 29 | 39 | 39 | + | - | |||
Св. 32,0 до 50,0 включ. | 39 | 39 | 39 | 34** | 34** | 29 | 39 | 39 | + | - | |||
* Для данных размеров продукции результаты испытаний механических свойств не являются браковочным признаком в течение двух лет с даты введения в действие Изменения N 1. Результаты контроля указывают в документе о качестве. | |||||||||||||
Таблица 12. (Измененная редакция, Изм. N 1).
5.2.2 Продукция из стали с массовой долей S от 0,020% до 0,040%.
5.2.3 Продукция из стали с массовой долей S не более 0,005%, Р - не более 0,010%.
5.2.4 Прокат толстолистовой с ограничением минусового предельного отклонения по толщине. При этом сумма предельных отклонений должна соответствовать сумме предельных отклонений для заказываемой толщины и точности изготовления по ГОСТ 19903.
(Измененная редакция, Изм. N 1).
5.2.5 Продукция для изделий в хладостойком исполнении (ХЛ) после термической обработки (ТО) или термомеханической обработки (ТМО), указываемых в заказе.
5.2.6 Продукция классов прочности 315 и 345 в нормализованном состоянии (Н) или после контролируемой прокатки (КП), контролируемой прокатки с последующим отпуском (КПО); классов прочности 390, 440 после термического упрочнения (ТУ) или контролируемой прокатки (КП), контролируемой прокатки с последующим отпуском (КПО).
5.2.7 Продукция классов прочности 390 и 440 с ограничением верхнего предела временного сопротивления величинами, не более чем на 180 Н/мм превышающими указанные в таблицах 2, 3, 9 и 10.
5.2.8 Продукция с регламентированным верхним пределом текучести.
5.2.9 Толстолистовой прокат в штрипсах (рулонах) с разбегом свойств по пределу текучести одного штрипса (рулона) от 30 до 50 Н/мм.
5.2.10 Продукция из стали с нормированной величиной аустенитного зерна (НЗ) в пределах от 5 до 8 номера по ГОСТ 5639.
Примечание - Требования по 5.2.2-5.2.4, 5.2.7-5.2.9 в заказе указывают путем ссылки на соответствующий пункт.
5.3 Дополнительные требования к продукции, согласовываемые между изготовителем и заказчиком, приведены в приложениях Б и В.
В заказе дополнительные требования по Б.1-Б.19 определяют ссылкой на соответствующий номер пункта настоящего приложения, в котором изложено требование, например: "Б.1".
(Измененная редакция, Изм. N 1).
5.4 Примеры условных обозначений проката при заказе приведены в приложении Г.
5.5 Маркировка и упаковка горячекатаного проката и гнутых профилей - в соответствии с ГОСТ 7566.
6 Правила приемки
6.1 Правила приемки продукции - по ГОСТ 7566 с дополнениями, перечисленными ниже.
6.2 Продукцию принимают партиями.
Партия должна состоять из продукции:
- одного класса прочности;
- одного вида;
- одного профиля (для фасонных профилей);
- одного размера по толщине (одного диаметра) или одного диапазона по толщине (диаметру) для продукции, подвергаемой термической обработке с отдельного нагрева. Диапазон толщин (диаметров) для объединения в партию определяет изготовитель;
- одного режима термической обработки.
Масса партии не должна превышать 350 т.
Партия продукции, из стали определенной марки и разливаемой в слитки, должна состоять, кроме того, из одной плавки-ковша.
Для непрерывнолитой заготовки допускается формировать партию из нескольких плавок, при этом по ковшевому анализу плавок разность массовой доли элементов не должна превышать: по С - 0,04%, по Мn - 0,15%.
Разность массовых долей С и Мn гарантируется технологией изготовления без проведения испытаний.
6.3 Каждую партию продукции сопровождают документом о качестве, оформленным в соответствии с ГОСТ 7566, [3]. В документе о качестве дополнительно указывают:
- массовую долю всех нормируемых химических элементов по анализу ковшовой пробы или анализу готовой продукции с соответствующей отметкой - "в готовой продукции" (если контроль проводился);
- для испытаний на изгиб на 180° - результаты испытаний словами: "удовлетворительно" или "изгиб на 180° гарантируется";
- для продукции, прошедшей универсальную аттестацию по результатам испытаний на ударный изгиб:
а) фактические результаты контроля
или
в зависимости от класса прочности и категории;
б) гарантируемую норму ударной вязкости для заказанных категорий.
(Измененная редакция, Изм. N 1).
6.3.1 Для проката, принимаемого с характеристиками, устанавливаемыми потребителем в соответствии с 5.2, или с дополнительными требованиями, указанными в приложении Б, в документе о качестве дополнительно указывают результаты испытаний по заказываемым показателям.
(Измененная редакция, Изм. N 1).
6.3.2 Для продукции с гарантией свариваемости указывают обозначение ГС и величину углеродного эквивалента.
6.4 Для проверки качества продукции от партии отбирают:
- для химического анализа - пробы по ГОСТ 7565*;
__________________
* В Российской Федерации может использоваться ГОСТ Р ИСО 14284-2009 "Сталь и чугун. Отбор и подготовка образцов для определения химического состава".
- для контроля размеров и отклонения формы - 10% каждого вида продукции, но не менее пяти штук прутков (полос, мотков, профилей, листов) и не менее двух рулонов;
- для контроля качества поверхности, требований к кромкам и концам (в части расслоений) - 10% прутков (полос, мотков, профилей), но не менее пяти штук, и каждый лист, рулон;
- для ультразвукового контроля (УЗК) внутренних дефектов (если проводится) - каждую единицу продукции;
- для контроля качества по другим показателям - два прутка (мотка, профиля, листа), две полосы, один рулон.
При объединении продукции в одну партию для термической обработки для контроля отбирают единицы продукции максимального сечения.
(Измененная редакция, Изм. N 1).
6.4.1 Если партия продукции в соответствии с заказом состоит из одной единицы продукции, то эта единица является контрольной.
6.5 При получении неудовлетворительных результатов испытаний хотя бы по одному показателю при выборочном контроле по нему проводят повторные испытания на удвоенном количестве проб.
6.5.1 Для партии продукции, состоящей из одной единицы, удвоенное количество проб отбирают от той же единицы продукции.
6.5.2 При получении удовлетворительных результатов повторных испытаний все единицы продукции, входящие в партию, считают годными, кроме единиц продукции, показавших неудовлетворительные результаты при первичных испытаниях.
6.5.3 При получении неудовлетворительных результатов повторных испытаний допускается изготовителю проводить сплошной контроль по показателям с выборочным контролем, по которым эти испытания не выдержаны.
Допускается подвергать прокат повторной термической обработке (если она проводилась), при этом испытание считается первичным с определением всех характеристик.
6.5.4 При получении неудовлетворительных результатов анализа ковшевой пробы химический состав стали может быть аттестован по анализу готовой продукции. При этом в документе о качестве указывают результаты двух анализов.
7 Методы контроля
7.1 Химический состав стали определяют по ГОСТ 22536.0 - ГОСТ 22536.12, ГОСТ 27809, ГОСТ 12344 - ГОСТ 12348, ГОСТ 12350 - ГОСТ 12352, ГОСТ 12355 - ГОСТ 12359, ГОСТ 12361, ГОСТ 12364, ГОСТ 17745, ГОСТ 18895, ГОСТ 28033, ГОСТ 28473*. Допускается применение других методов анализа, обеспечивающих необходимую точность измерения.
_________________
* В России могут использоваться ГОСТ Р ИСО 4943-2010 "Сталь и чугун. Определение содержания меди. Спектрометрический метод атомной абсорбции в пламени" и ГОСТ Р 54153-2010 "Сталь. Метод атомно-эмиссионного спектрального анализа".
При разногласиях в оценке качества оценку проводят методами по указанным стандартам.
7.2 Величину углеродного эквивалента вычисляют по формуле
, (1)
где C, Mn, Si, Cr, Ni, Cu, V, Р - массовые доли соответствующих элементов по ковшовой пробе или в готовом прокате.
(Измененная редакция, Изм. N 1).
7.2.1 Параметр стойкости против растрескивания при сварке для стали марки 10ХСНД при микролегировании (Ti+B) рассчитывают по формуле
, (2)
где C, Si, Mn, Cu, Ni, Cr, Mo, V, B - массовые доли соответствующих элементов по ковшовой пробе или в готовом прокате.
(Введен дополнительно, Изм. N 1).
7.3 Величину азотного эквивалента вычисляют по формуле
, (3)
где Al, Ti, V, Nb - массовые доли алюминия, титана, ванадия, ниобия.
(Измененная редакция, Изм. N 1).
7.4 Контроль качества поверхности толстолистового и широкополосного универсального проката проводят по ГОСТ 14637. Контроль размеров и отклонений от формы проводят:
- толстолистового проката - по ГОСТ 19903;
- широкополосного универсального проката - по ГОСТ 82.
Контроль качества поверхности, размеров и отклонений от формы проводят:
- сортового и фасонного проката - по ГОСТ 535;
- гнутых профилей - по ГОСТ 11474.
По согласованию с заказчиком допускается на фасонном прокате контроль качества поверхности, размеров и отклонений от формы не проводить, а гарантировать обеспечение указанных показателей технологией изготовления.
Описание дефектов поверхности - по ГОСТ 21014. Методы измерений отклонения формы - по ГОСТ 26877.
7.5 Расслоение проката при резке контролируют осмотром кромок и торцов без применения увеличительных приборов.
При необходимости качество металла на кромках толстолистового и широкополосного универсального проката проверяют снятием стружки, при этом раздвоение стружки служит признаком несплошности металла.
7.6 Ультразвуковой контроль сплошности толстолистового проката проводят в соответствии с ГОСТ 22727 или по технической документации изготовителя.
7.7 Ультразвуковой контроль внутренних дефектов сортового проката проводят в соответствии с ГОСТ 21120 или по технической документации изготовителя.
7.8 Отбор проб для механических и технологических испытаний проката проводят по ГОСТ 7564 (в состоянии поставки). Из сортового, фасонного и широкополосного универсального проката образцы вырезают вдоль направления прокатки, из толстолистового проката - поперек направления прокатки, а по требованию заказчика - вдоль направления прокатки, кроме испытаний на ударный изгиб на образцах с острым надрезом (KCV). Для испытаний на ударный изгиб (KCV) образцы отбирают вдоль направления прокатки.
Допускается по согласованию потребителя с изготовителем пробы на ударный изгиб (KCV) отбирать поперек направления прокатки.
Для сортового проката диаметром или стороной квадрата более 120 мм допускается механические свойства определять на образцах, вырезанных из перекованных или прокатанных заготовок сечением от 90 до 100 мм. Нормы механических свойств в этом случае должны соответствовать нормам, указанным в таблицах 2, 5, 9 и 11.
Качество гнутых профилей контролируют на заготовке.
7.9 От каждой контрольной единицы продукции отбирают для:
- испытания на растяжение - по одному образцу;
- испытания на ударный изгиб - по два образца для соответствующих условий испытаний;
- испытания на ударный изгиб после механического старения - по два образца;
- испытания на изгиб - по одному образцу;
- контроля величины зерна - по одному образцу.
7.10 Испытание на растяжение проводят по ГОСТ 1497 на пропорциональных плоских или цилиндрических образцах пятикратной длины. Тип образца указывают в документе о качестве.
Для сортового проката диаметром (стороной квадрата, диаметром вписанного круга) до 25 мм включительно испытание допускается проводить на натурных образцах (без механической обработки).
(Измененная редакция, Изм. N 1).
7.11 Испытание на ударный изгиб продукции с номинальной толщиной до 10 мм включ. проводят по ГОСТ 9454 на образцах типа 1, 2 или 3 (KCU) или типа 11, 12, 13 (KCV). Для продукции толщиной более 10 мм испытание на ударный изгиб проводят по ГОСТ 9454 на образцах типа 1 (KCU) или типа 11 (KCV), при этом для сортового круглого проката диаметром от 12 до 16 мм включ. испытания на ударный изгиб проводят на образцах типа 3 (KCU) или типа 13 (KCV) по ГОСТ 9454.
Испытание на ударный изгиб фасонного проката толщиной от 3 до 4 мм, толстолистового проката толщиной от 4,0 до 5,0 мм допускается проводить на образцах шириной, равной толщине проката.
7.11.1 Универсальная аттестация продукции по результатам испытаний на ударный изгиб
Для продукции классов прочности 265-325 выполнение изготовителем установленной в таблицах 5, 6, 11 и 12 обязательной нормы ударной вязкости
гарантирует соответствие продукции нормам, приведенным для категорий 1, 7, 8, 10, а по согласованию изготовителя с заказчиком - для категорий 2, 3, 11, 12, 16, без проведения испытаний по данным категориям.
Для продукции классов прочности 345-440 выполнение изготовителем установленной в таблицах 5, 6, 11 и 12 обязательной нормы ударной вязкости
гарантирует соответствие продукции нормам, приведенным для категорий 1-3, 7-12, 16, а по согласованию изготовителя с заказчиком - для категорий 4-6, 13-15, 17-19, а также для продукции классов прочности 265-325 категорий 1-3, 10-12, без проведения испытаний по данным категориям.
(Введен дополнительно, Изм. N 1).
7.12 Испытание на ударный изгиб после механического старения проводят по ГОСТ 7268. Типы образцов в зависимости от толщины продукции должны соответствовать принятым в 7.11.
7.13 Испытание продукции на изгиб проводят по ГОСТ 14019.
7.14 Контроль величины зерна проводят по ГОСТ 5639.
7.15 При использовании статистических и других неразрушающих методов контроля механических свойств в соответствии с ГОСТ 30415* контроль механических свойств изготовителем допускается не проводить.
________________
* В Российской Федерации могут использоваться ГОСТ Р ИСО 3534-1-2019 "Статистические методы. Словарь и условные обозначения. Часть 1. Общие статистические термины и термины, используемые в теории вероятностей", ГОСТ Р ИСО 3534-2-2019 "Статистические методы. Словарь и условные обозначения. Часть 2. Прикладная статистика" и ОСТ 14-1-34-90 "Статистический приемочный контроль качества металлопродукции по корреляционной связи между параметрами".
Изготовитель гарантирует при этом соответствие выпускаемой продукции требованиям настоящего стандарта. При разногласиях в оценке качества и при периодических проверках качества продукции применяют методы контроля, предусмотренные настоящим стандартом.
(Измененная редакция, Изм. N 1).
7.16 По требованию заказчика механические испытания и испытания на изгиб для проката, поставляемого в горячекатаном состоянии (без термической обработки), проводят на термически обработанных образцах. Режим термической обработки образцов согласовывают при оформлении заказа.
(Введен дополнительно, Изм. N 1).
8 Транспортирование и хранение
8.1 Транспортирование и хранение проката - по ГОСТ 7566, гнутых профилей - по ГОСТ 11474.
9 Требования безопасности и охраны окружающей среды
9.1 Продукция пожаро- и взрывобезопасна, нетоксична, и не требует специальных мер при транспортировании, хранении и переработке.
10 Гарантии изготовителя
10.1 Изготовитель гарантирует соответствие продукции требованиям настоящего стандарта при соблюдении условий транспортирования и хранения.
Приложение А (рекомендуемое). Перечень марок стали для продукции различных видов и классов прочности
Приложение А
(рекомендуемое)
А.1 Марки стали для сортового (круглого, квадратного, шестигранного и полосового), фасонного проката приведены в таблице А.1, для толстолистового, широкополосного универсального и гнутых профилей - в таблице А.2.
Таблица А.1 - Марки стали для сортового (круглого, квадратного, шестигранного и полосового) и фасонного проката
Класс проч- | Размеры проката по сечению, мм | Марки стали, обеспечивающие данный класс прочности |
265 | До 250,0 включ. | 09Г2С, 09Г2С-1, 09Г2СД, 09Г2СД-1, 12Г2С, 12Г2С-1, 12Г2СД, 12Г2СД-1, 12Г2Ф, 12Г2Ф-1, 12Г2ФД, 12Г2ФД-1 |
295 | До 32,0 включ. | 09Г2, 09Г2Д, 09Г2С, 09Г2С-1, 09Г2СД, 09Г2СД-1, 12Г2С, 12Г2С-1, 12Г2СД, 12Г2СД-1, 12Г2Ф, 12Г2Ф-1, 12Г2ФД, 12Г2ФД-1 |
Св. 32,0 до 160,0 включ. | 10Г2С1, 10Г2С1Д | |
315 | До 140,0 включ. | Марки стали согласовываются между изготовителем и потребителем |
325 | До 20,0 включ. | 09Г2С, 09Г2С-1, 09Г2СД, 09Г2СД-1, 12Г2С, 12Г2С-1, 12Г2СД, 12Г2СД-1, 12Г2Ф, 12Г2Ф-1, 12Г2ФД, 12Г2ФД-1 |
До 32,0 включ. | 14Г2, 14Г2-1, 15ГФ, 15ГФ-1, 15ГФД, 15ГФД-1, 15ХСНД | |
Св. 10,0 до 140,0 включ. | 10Г2С1, 10Г2С1Д | |
345 | До 10,0 включ. | 09Г2*, 09Г2-1*, 09Г2С, 09Г2С-1, 09Г2СД, 09Г2СД-1, 10Г2С1, 10Г2С1Д, 10ХСНД, 10ХНДП, 12Г2С, 12Г2С-1, 12Г2СД, 12Г2СД-1, 12Г2Ф, 12Г2Ф-1, 12Г2ФД, 12Г2ФД-1, 15ХСНД |
Св. 10,0 до 140,0 включ. | 09Г2С, 09Г2С-1, 09Г2СД, 09Г2СД-1, 12Г2С, 12Г2С-1, 12Г2СД, 12Г2СД-1, 12Г2Ф, 12Г2Ф-1, 12Г2ФД, 12Г2ФД-1, 15ГФ, 15ГФ-1, 15ГФД | |
355 | До 140,0 включ. | Марки стали согласовываются между изготовителем и потребителем |
375 | До 50,0 включ. | 09Г2С, 09Г2С-1, 09Г2СД, 09Г2СД-1, 10Г2Б, 10Г2БД, 10ХСНД, 12Г2С, 12Г2С-1, 12Г2СД, 12Г2СД-1, 12Г2Ф, 12Г2Ф-1, 12Г2ФД, 12Г2ФД-1, 15ГФ, 15ГФ-1, 15ГФД |
390 | До 16,0 включ. | 10ХСНД |
До 50,0 включ. | 12Г2Ф, 12Г2Ф-1, 12Г2ФД, 12Г2ФД-1, 15Г2СФ, 15Г2СФ-1, 15Г2СФД, 15Г2СФД-1 | |
440 | До 16,0 включ. | Марки стали согласовываются между изготовителем и потребителем |
* Допускается применение контролируемой прокатки или контролируемой прокатки с последующим ускоренным охлаждением (КП). | ||
Таблица А.1. (Измененная редакция, Изм. N 1).
Таблица А.2 - Марки стали для толстолистового, широкополосного универсального проката и гнутых профилей
Класс проч- | Толщина продукции, мм | Марки стали, обеспечивающие данный класс прочности при различных размерах продукции |
265 | До 20,0 включ. | 09Г2С, 09Г2С-1, 09Г2СД, 09Г2СД-1 |
Св. 20,0 до 160,0 включ. | 09Г2С, 09Г2С-1, 09Г2СД, 09Г2СД-1, 16ГС, 16ГС-1 | |
295 | До 20,0 включ. | 09Г2, 09Г2-1, 09Г2Д, 09Г2Д-1 |
Св. 20,0 до 32,0 включ. | 09Г2, 09Г2-1, 09Г2Д, 09Г2Д-1, 09Г2С, 09Г2С-1, 09Г2СД, 09Г2СД-1, 16ГС, 16ГС-1 | |
Св. 32,0 до 100,0 включ. | 10Г2С1, 10Г2С1Д | |
315 | До 10,0 включ. | 12ГС, 12ГС-1 |
От 10,0 до 20,0 включ. | 16ГС, 16ГС-1 | |
Св. 20,0 до 60,0 включ. | 09Г2С*, 09Г2С-1*, 10Г2С1, 10Г2С1Д, 17Г1С*, 17Г1С-1* | |
325 | До 10,0 включ. | 16ГС, 16ГС-1 |
Св. 10,0 до 20,0 включ. | 09Г2С, 09Г2С-1, 09Г2СД, 09Г2СД-1, 10Г2С1, 10Г2С1Д, 17ГС, 17ГС-1 | |
Св. 20,0 до 32,0 включ. | 15ГФ, 15ГФ-1, 15ГФД | |
До 32,0 включ. | 14Г2, 14Г2-1 | |
От 32,0 до 60,0 включ. | 10Г2С1, 10Г2С1Д, 17Г1С*, 17Г1С-1* | |
345 | До 50,0 включ. | 09Г2Д, 09Г2С, 09Г2С-1, 09Г2СД, 09Г2СД-1, 10Г2С1, 10Г2С1Д, 10ХНДП, 14ХГС, 17ГС, 17ГС-1 |
15ХСНД, 17Г1С*, 17Г1С-1* | ||
355 | До 50,0 включ. | 10Г2С1, 10Г2С1Д |
15ГФ, 15ГФ-1, 15ГФД, 17Г1С*, 17Г1С-1* | ||
375 | До 10,0 включ. | 10Г2Б, 10Г2Б-1, 10Г2БД, 10Г2БД-1, 10ХСНД, 15ГФ, 15ГФ-1, 15ГФД |
Св. 10,0 до 32,0 включ. | 09Г2С*, 09Г2С-1*, 14Г2АФ, 14Г2АФ-1, 14Г2АФД, 14Г2АФД-1, 17Г1С-У | |
Св. 32,0 до 50,0 включ. | 14Г2АФ, 14Г2АФ-1, 14Г2АФД, 14Г2АФД-1, 17Г1С*, 17Г1С-1*, 17Г1С-У | |
390 | До 10,0 включ. | 12Г2Б, 12Г2Б-1 |
До 32,0 включ. | 10Г2С1**, 14Г2**, 14Г2-1**, 15Г2АФД, 15Г2СФ, 15Г2СФ-1, 15Г2СФД, 15Г2СФД-1 | |
До 40,0 включ. | 10ХСНД | |
До 50,0 включ. | 14Г2АФ, 14Г2АФ-1, 14Г2АФД, 14Г2АФД-1, 10ХСНД | |
Св. 32,0 до 50,0 включ. | 16Г2АФ, 16Г2АФ-1, 16Г2АФД, 16Г2АФД-1 | |
440 | До 32,0 включ. | 16Г2АФ, 16Г2АФ-1, 16Г2АФД, 16Г2АФД-1, 18Г2АФ, 18Г2АФ-1, 18Г2АФД, 18Г2АФД-1 |
* Допускается применение контролируемой прокатки или контролируемой прокатки с последующим ускоренным охлаждением (КП). | ||
Таблица А.2. (Измененная редакция, Изм. N 1).
Приложение Б (справочное). Дополнительные требования к продукции
Приложение Б
(справочное)
Б.1 Поставка сортового круглого проката групп и классов качества S235JR, S235J0, S235J2, S275JR, S275J0, S275J2, S355JR, S355J0, S355J2.
Б.1.1 Химический состав стали должен соответствовать нормам, указанным в таблице Б.1.
Таблица Б.1 - Химический состав стали
Обозна- | Массовая доля элементов, % | |||||||||
С, не более | Si | Мn | Р | S | N | Сu | AI | |||
номинальный диаметр проката, мм | ||||||||||
До 16,0 включ. | Св. 16,0 до 40,0 включ. | Св. 40,0 до 180,0 включ. | ||||||||
не более | ||||||||||
S235JR, S235J0, S235J2 | 0,17 | 0,17 | 0,20 | 0,55 | 1,40 | 0,025 | 0,025 | 0,012 | 0,25 | 0,020- |
S275JR, S275J0, S275J2 | 0,18 | 0,18 | 0,20 | 0,55 | 1,50 | 0,025 | 0,025 | 0,012 | 0,25 | 0,020- |
S355JR, S355J0, S355J2 | 0,20 | 0,20 | 0,22 | 0,55 | 1,60 | 0,025 | 0,025 | 0,012 | 0,25 | 0,020- |
Предельные отклонения в продукции, % | +0,02 | +0,05 | +0,10 | +0,005 | +0,005 | +0,002 | - | ±0,005 | ||
Примечания | ||||||||||
Б.1.2 Величина углеродного эквивалента должна соответствовать нормам, указанным в таблице Б.2.
Таблица Б.2 - Углеродный эквивалент
Обозначение группы и класса качества проката | Углеродный эквивалент | |||
До 30,0 включ. | Св. 30,0 до 40,0 включ. | Св. 40,0 до 150,0 включ. | Св. 150,0 до 180,0 включ. | |
S235JR, S235J0, S235J2 | 0,35 | 0,35 | 0,38 | 0,40 |
S275JR, S275J0, S275J2 | 0,40 | 0,40 | 0,42 | 0,44 |
S355JR, S355J0, S355J2 | 0,45 | 0,47 | 0,47 | 0,49 |
Б.1.3 Механические свойства проката должны соответствовать при испытании:
- на растяжение - нормам, указанным в таблице Б.3;
- на ударный изгиб - нормам, указанным в таблице Б.4.
Таблица Б.3 - Механические свойства проката при испытании на растяжение
Обозначение группы и класса качества проката | Механические свойства, не менее | ||||||||||||||
Предел текучести | Временное сопротивление | Относительное удлинение | |||||||||||||
До 16,0 включ. | Св. 16,0 до 40,0 включ. | Св. 40,0 до 63,0 включ. | Св. 63,0 до 80,0 включ. | Св. 80,0 до 100,0 включ. | Св. 100,0 до 150,0 включ. | Св. 150,0 до 180,0 включ. | До 100,0 включ. | Св. 100,0 до 150,0 включ. | Св. 150,0 до 180,0 включ. | Св. 12,0 до 40,0 включ. | Св. 40,0 до 63,0 включ. | Св. 63,0 до 100,0 включ. | Св. 100,0 до 150,0 включ. | Св. 150,0 до 180,0 включ. | |
S235JR, S235J0, S235J2 | 235 | 225 | 215 | 215 | 215 | 195 | 185 | 360- | 350- | 340- | 26 | 25 | 24 | 22 | 21 |
S275JR, S275J0, S275J2 | 275 | 265 | 255 | 245 | 235 | 225 | 215 | 410- | 400- | 380- | 23 | 22 | 21 | 19 | 18 |
S355JR, S355J0, S355J2 | 355 | 345 | 335 | 325 | 315 | 295 | 285 | 470- | 450- | 450- | 22 | 21 | 20 | 18 | 17 |
Таблица Б.4 - Механические свойства проката при испытании на ударный изгиб
Обозначение группы и класса качества проката | Температура испытания, °С | Работа удаpa, KV, Дж | |
Диаметр проката, мм | |||
От 12,0 до 150,0 включ. | Св.150,0 до 180,0 включ. | ||
S235JR | +20 | 27 | 27 |
S235J0 | 0 | 27 | 27 |
S235J2 | минус 20 | 27 | 27 |
S275JR | +20 | 27 | 27 |
S275J0 | 0 | 27 | 27 |
S275J2 | минус 20 | 27 | 27 |
S355JR | +20 | 27 | 27 |
S355J0 | 0 | 27 | 27 |
S355J2 | минус 20 | 27 | 27 |
Б.2 Поставка толстолистового проката классов прочности 460, 500, 550, 600, 620, 650, 700.
Б.2.1 Химический состав по анализу ковшевой пробы и углеродный эквивалент стали должны соответствовать приведенным в таблице Б.5.
Таблица Б.5 - Химический состав стали и углеродный эквивалент
Класс проч- | Массовая доля элементов, %, не более | Угле- | ||||||||||
С | Si | Мn | S | Р | Сr | Ni | V | As | N | Других элементов, не более | ||
460, 500 | 0,12 | 0,50 | 1,90 | 0,035 | 0,030 | 0,60 | 1,00 | 0,20 | 0,080 | 0,012 | AI - 0,050; Ti - 0,15; Nb - 0,10; Mo - 0,70 | 0,47 |
550 | 0,12 | 0,50 | 1,90 | 0,035 | 0,030 | 0,60 | 1,00 | 0,20 | 0,080 | 0,012 | Al - 0,050; Ti - 0,15; Nb - 0,10; Mo - 0,70 | 0,50 |
600 | 0,12 | 0,50 | 1,90 | 0,035 | 0,030 | 0,60 | 1,00 | 0,20 | 0,080 | 0,012 | Al - 0,050; Ti - 0,15; Nb - 0,10; Mo - 0,70 | 0,55 |
620 | 0,12 | 0,50 | 1,90 | 0,035 | 0,030 | 0,60 | 1,00 | 0,20 | 0,080 | 0,012 | Al - 0,050; Ti - 0,22; Nb - 0,10; Mo - 0,70 | 0,57 |
650, 700 | 0,12 | 0,50 | 2,10 | 0,035 | 0,030 | 0,60 | 1,00 | 0,20 | 0,080 | 0,012 | Al - 0,050; Ti - 0,22; Nb - 0,10; Mo - 0,70 | 0,60 |
Примечание - В готовом прокате допускаются отклонения по химическому составу от норм таблицы В.5 в соответствии с таблицей 8. | ||||||||||||
Б.2.2 Механические свойства проката при испытании на растяжение и условия испытания на изгиб должны соответствовать указанным в таблице Б.6, ударная вязкость - указанной в таблице Б.7.
Таблица Б.6 - Механические свойства при испытании на растяжение и условия испытания на изгиб
Класс прочности | Толщина проката по данному классу прочности, мм, не более | Механические свойства | Изгиб на угол до 90° (на поперечных образцах), а - толщина образца, d - диаметр оправки | ||
Предел текучести | Временное сопротивление | Относительное удлинение | |||
460 | 50 | 460 | 540-720 | 17 | d=3a |
500 | 50 | 500 | 550-770 | 15 | |
550 | 50 | 550 | 600-820 | 14 | |
600 | 50 | 600 | 650-870 | 13 | |
620 | 50 | 620 | 670-890 | 12 | |
650 | 50 | 650 | 700-890 | 12 | |
700 | 50 | 700 | 750-940 | 12 | |
Таблица Б.7 - Ударная вязкость
Класс прочности | Толщина продукции, мм | Ударная вязкость, Дж/см | |||||||||
+20 | ми- | ми- | ми- | ми- | ми- | ми- | 0 | ми- | После механи- | ||
KCU | KCV | KCU | |||||||||
460, 500, 560, 600, 620, 650, 700 | До 10,0 включ. | + | 44 | 44 | 44 | 34 | 34 | 34 | + | 29 | 29 |
Св. 10,0 до 32,0 включ. | + | 39 | 39 | 39 | 29 | 29 | 29 | + | |||
Св. 32,0 до 50,0 включ. | + | 39 | 39 | 39 | 29 | 29 | 29 | + | |||
* Результаты испытаний механических свойств не являются браковочным признаком до 01.01.2016, указываются в документе о качестве. | |||||||||||
Б.3 Поставка продукции с химическим составом по таблице 7 с исключением Si, как легирующего элемента, и введением Ti, Nb и V с массовой долей не более 0,06% каждого при их суммарной массовой доле не более 0,15% при условии выполнения всех требований стандарта.
Настоящий пункт не распространяется на продукцию, поставляемую с факультативными нормами ударной вязкости.
Б.4 Поставка сортового и фасонного проката классов прочности 460 и 500 из стали с химическим составом, аналогичным используемому для толстолистового проката в таблице Б.5. Нормы механические свойств при испытании на растяжение и ударный изгиб согласовывают между изготовителем и заказчиком.
Б.5 Поставка толстолистового проката толщиной от 10 до 40 мм из легированной стали марки 16Х2ГСБ классов прочности 500 и 600.
Б.5.1 Химический состав стали должен соответствовать нормам, указанным в таблице Б.8.
Таблица Б.8 - Химический состав стали
Марка стали | Массовая доля элементов, % | ||||||
C | Si | Mn | Cr | Nb | S | Р | |
не более | |||||||
16Х2ГСБ | 0,14-0,18 | 0,30-0,70 | 0,50-0,90 | 1,10-1,60 | 0,03-0,06 | 0,010 | 0,015 |
Предельные отклонения в прокате, % | В соответствии с таблицей 8 | ||||||
Примечание - Сталь раскисляют AI, обеспечивающим его массовую долю 0,02%-0,06%, а также микролегируют SiCа или другими сплавами Са из расчета получения (без учета угара) от 0,002% до 0,030% Са в стали. Массовую долю Са химическим анализом не определяют, в документе о качестве указывают расчетные значения. | |||||||
Б.5.2 Прокат поставляют в термически упрочненном состоянии (ТУ).
Допускается поставка листов в нормализованном (Н) или горячекатаном состоянии.
Б.5.3 Механические свойства проката при испытании на растяжение и ударный изгиб в состоянии поставки должны соответствовать нормам, указанным в таблице Б.9.
Таблица Б.9 - Механические свойства
Класс прочности | Meханические свойства | ||||
Временное сопротивление | Предел текучести | Относительное удлинение | Ударная вязкость, Дж/см | ||
KCU | KCV | ||||
не менее | |||||
500 | 590-830 | 490-735 | 15 | 39 | 29 |
600 | 690-930 | 590-835 | 14 | 39 | 29 |
Примечание - Ударную вязкость определяют, как среднее арифметическое значение результатов испытаний трех образцов. На одном образце допускается снижение норм ударной вязкости на 10 Дж/см | |||||
Б.5.4 Прокат классов прочности 500 и 600 должен выдерживать испытание на изгиб на 120° вокруг оправки диаметром, равным трем толщинам проката, без надрывов и трещин.
Б.6 Прокат сортовой круглый в прутках с предварительной механической обработкой без регламентации шероховатости поверхности (ОБТ).
Б.7 Прокат сортовой круглый в прутках с фаской с одной (Ф1) или с двух сторон (Ф2). Размеры фаски не регламентируются.
Б.8 Прокат с очисткой от окалины:
- травлением (Т);
- дробеструйной очисткой (ДО);
- другими альтернативными способами.
При отсутствии в заказе способа очистки от окалины его выбирает изготовитель и указывает в документе о качестве.
Прокат, очищенный от окалины методом травления, должен быть смазан с обеих сторон смазкой, предохраняющей от коррозии. Количество смазки на поверхности проката не нормируется.
С согласия потребителя допускается поставка проката без промасливания, при этом на поверхности проката допускаются пятна ржавчины и царапины, обусловленные отсутствием слоя смазки.
(Измененная редакция, Изм. N 1).
Б.9 Прокат сортовой с зачисткой заусенцев с одной стороны без смятия концов (УЗ1) или с зачисткой заусенцев с двух сторон без смятия концов (УЗ2). Для удаления заусенцев допускается снятие фаски. Размер фаски не регламентируется. "Чашечка" и остатки "чашечки" не допускаются.
(Измененная редакция, Изм. N 1).
Б.10 Прокат сортовой без заусенцев и смятых концов (УЗ3). При этом "чашечка" или остатки "чашечки" на прокате с предварительной механической обработкой не являются браковочным признаком. Вид "чашечки" и остатков "чашечки" приведен в приложении В.
Б.11 Прокат толстолистовой с ультразвуковым контролем сплошности (УЗК). Класс сплошности устанавливают по согласованию изготовителя с заказчиком в соответствии с ГОСТ 22727. Контроль прикромочных зон проводят по требованию заказчика.
Б.12 Прокат сортовой в прутках размером 30 мм и более с ультразвуковым контролем (УЗК) внутренних дефектов. Группу качества устанавливают по согласованию изготовителя с заказчиком в соответствии с ГОСТ 21120.
Б.13 Сортовой прокат в отожженном состоянии (ОТ) или после высокого отпуска (ВО). При этом механические свойства не регламентируются, но контролируются и результаты заносятся в документ о качестве.
Б.14 Изготовление проката из стали марок, приведенных в таблицах А.1 и А.2, классов прочности и размеров, отличных от приведенных в них, при условии обеспечения требуемых механических свойств при испытании на растяжение и ударный изгиб.
Б.15 Прокат сортовой без заусенцев с одной стороны и без смятия концов (Б31). Прокат сортовой без заусенцев с двух сторон и без смятия концов (Б32). Для удаления заусенцев допускается снятие фаски. Размер фаски не регламентируется.
Б.16 Прокат в листах, широкополосный универсальный прокат и гнутые профили категорий 16-19, указанных в таблице 4, с нормированием ударной вязкости KCU70 Дж/см
.
Б.17 Прокат из стали марки 10ХСНД с ограничением массовой доли Mo не более 0,08%.
Б.18 Прокат категории 20 из стали марок 09Г2С и 09Г2С-1 с нормами
, Дж/см, не менее, для проката толщиной:
- до 10 мм включительно - 29;
- св. 10 до 120 мм включительно - 50.
Б.19 Прокат с гарантией свариваемости (ГС) с другими, относительно указанных в 5.2.1.2, величинами углеродного эквивалента , но не более 0,51%
Б.15-Б.19. (Введены дополнительно, Изм. N 1).
Приложение В (обязательное). Требования к концам предварительно обточенного сортового проката при удалении заусенцев и смятых концов
Приложение В
(обязательное)
В.1 Термины и определения
В.1.1 "чашечка" (рисунок В.1): Дефект на торце правленых прутков в виде чашечки, образующийся при правке за счет сдвиговых деформаций, а также за счет завальцовки заусенца (определение см. в ГОСТ 21014), образующегося при резке проката в зависимости от толщины (диаметра) проката, может заканчиваться в приповерхностном слое или продолжаться до центра проката.
В.1.2 остатки "чашечки" (рисунки В.2, В.3): Дефект на торце проката, оставшийся после удаления фаской или торцовкой основной части "чашечки".
Рисунок В.1. Чашечка

Рисунок В.1
Рисунки В.2, В.3. Остатки "чашечки"

Рисунок В.2

Рисунок В.3
Приложение Г (обязательное). Примеры условных обозначений
Приложение Г
(обязательное)
Прокат фасонный горячекатаный, двутавр, обычной точности прокатки (В), немерной длины (НД), номер 30 по ГОСТ 8239-89, класса прочности 345, в горячекатаном состоянии (ГК):
.
Прокат фасонный горячекатаный, швеллер, мерной длины (МД), номер 20 с параллельными гранями полок (П) по ГОСТ 8240-97, класса прочности 315, в горячекатаном состоянии (ГК):
.
Прокат фасонный горячекатаный, уголок неравнополочный, обычной точности прокатки (В), размерами 63x40x4 мм по ГОСТ 8510-86, класса прочности 345, в горячекатаном состоянии (ГК):
.
Прокат сортовой, круглый, в прутках, обточенный (ОБТ), обычной точности прокатки (В1), класса кривизны IV, кратной мерной длины (КД), диаметром 50 мм по ГОСТ 2590-2006, класса прочности 390, с качеством поверхности группы 3ГП по ГОСТ 535-2005, с фаской с двух сторон (Ф2), с ультразвуковым контролем внутренних дефектов (УЗК), после термического упрочнения (ТУ):
.
Прокат сортовой, квадратный, в прутках, обычной точности прокатки (В1), класса кривизны III, немерной длины (НД), со стороной квадрата 50 мм по ГОСТ 2591-2006, класса прочности 325, категории 2, в горячекатаном состоянии (ГК):
.
Прокат сортовой, круглый, в мотках (НМД), обычной точности прокатки (В1), диаметром 10 мм по ГОСТ 2590-2006, класса прочности 345, категории 9, с качеством поверхности группы 2ГП по ГОСТ 535-2005, в горячекатаном состоянии (ГК):
.
Прокат толстолистовой, повышенной точности изготовления (А), высокой плоскостности (ПВ), с обрезной кромкой (О), размерами 8x1100x5000 мм по ГОСТ 19903-2015, класса прочности 390, категории 3, из стали марки 10ХСНД с массовой долей серы в соответствии с 5.2.2, нормализованный (Н):
с учетом 5.2.2.
Прокат толстолистовой, обычной точности изготовления (Б), нормальной плоскостности (ПН), с необрезной кромкой (НО), размерами 16x1200x6000 мм по ГОСТ 19903-2015, класса прочности 325, категории 12, из стали марки 16ГС-1, с гарантией свариваемости (ГС), с очисткой от окалины травлением (Т), в горячекатаном состоянии (ГК):
.
Прокат толстолистовой, обычной точности изготовления (Б) с ограничением минусового предельного отклонения по толщине (с учетом 5.2.4), нормальной плоскостности (ПН), с необрезной кромкой (НО), размерами 16x1200x6000 мм по ГОСТ 19903-2015, класса прочности 325, категории 12, из стали марки 16ГС-1, с гарантией свариваемости (ГС), в горячекатаном состоянии (ГК):
с учетом 5.2.4.
Прокат сортовой круглый, в прутках, обычной точности прокатки (В1), класса кривизны IV, мерной длины (МД), диаметром 20 мм по ГОСТ 2590-2006, класса качества S275J0, с качеством поверхности группы 2ГП по ГОСТ 535-2005, в горячекатаном состоянии (ГК), с дополнительными требованиями в соответствии с Б.1 приложения Б:
с учетом Б.1.
Прокат толстолистовой, обычной точности изготовления (Б), нормальной плоскостности (ПН), с необрезной кромкой (НО), размерами 16x1200x6000 мм по ГОСТ 19903-2015, класса прочности 325, категории 2, с дополнительным испытанием
, с очисткой от окалины травлением (Т), в горячекатаном состоянии (ГК):
.
Прокат толстолистовой, повышенной точности прокатки (А), высокой плоскостности (ПВ), с обрезной кромкой (О), размерами 8x1100x5000 мм по ГОСТ 19903-2015, класса прочности 390, категории 8, из стали марки 10ХСНД с микролегированием (Ti+B), после отжига (ОТ):
с микролегированием (Ti+B).
Приложение Г. (Измененная редакция, Изм. N 1).
Библиография
[1] | EH 10020:2000 | Определение и классификация классов качества стали (Definition and classification of grades of steel) |
[2] | ЕН 10025-2:2019 | Изделия горячекатаные из конструкционных сталей. Часть 2. Технические условия поставки для нелегированных конструкционных сталей (Hot rolled products of structural steels - Part 2: Technical delivery conditions for non-alloy structural steels) |
[3] | EH 10204:2004 | Изделия металлические. Типы актов приемочного контроля (Metallic products. Types of inspection documents) |
Библиография. (Измененная редакция, Изм. N 1).
УДК 669.14-413:006.354 | МКС 77.140.50 | В22 |
77.140.60 | В23 | |
В32 | ||
В33 | ||
Ключевые слова: прокат толстолистовой, широкополосный универсальный, сортовой, фасонный, профили специального назначения, гнутые профили, сталь нелегированная и легированная, химический состав, термины и определения, классификация, марки стали, классы прочности, технические требования, правила приемки, методы контроля, требования безопасности и охраны окружающей среды, гарантии изготовителя | ||
Редакция документа с учетом
изменений и дополнений подготовлена
АО "Кодекс"
Разместите заказ
сами сделают вам предложение
