ГОСТы сталей. ГОСТ 28782-90
ГОСТ 28782-90
(ИСО 7373-87)
Группа В19
МЕЖГОСУДАРСТВЕННЫЙ СТАНДАРТ
ФЕРРОСПЛАВЫ
Экспериментальные методы контроля точности сокращения проб
Ferroalloys. Experimental methods for checking the precision of sample devision
MKC 77.100
ОКСТУ 0809
Дата введения 1992-01-01
ИНФОРМАЦИОННЫЕ ДАННЫЕ
1. ПОДГОТОВЛЕН И ВНЕСЕН Министерством металлургии СССР
2. УТВЕРЖДЕН И ВВЕДЕН В ДЕЙСТВИЕ Постановлением Государственного комитета СССР по управлению качеством продукции и стандартам от 14.12.90 N 3141
Настоящий стандарт подготовлен методом прямого применения международного стандарта ИСО 7373-87* "Ферросплавы. Экспериментальные методы контроля точности сокращения проб" и полностью ему соответствует
________________
* Доступ к международным и зарубежным документам, упомянутым в тексте, можно получить, обратившись в Службу поддержки пользователей. - Примечание изготовителя базы данных.
3. ССЫЛОЧНЫЕ НОРМАТИВНО-ТЕХНИЧЕСКИЕ ДОКУМЕНТЫ
Обозначение соответствующего международного стандарта | Обозначение нормативно-технического документа, на который дана ссылка | Номер раздела |
ИСО 7087-84 | ГОСТ 17260-87 | 2 |
ИСО 4552-1-87 | ГОСТ 24991-81 | 2 |
ИСО 4552-2-87 | ГОСТ 20515-75 | 2 |
" | ГОСТ 25207-85 | 2 |
" | ГОСТ 26201-84 | 2 |
4. Ограничение срока действия снято по протоколу N 7-95 Межгосударственного совета по стандартизации, метрологии и сертификации (ИУС 11-95)
5. ПЕРЕИЗДАНИЕ Март 2005 г.
1. НАЗНАЧЕНИЕ И ОБЛАСТЬ ПРИМЕНЕНИЯ
1. НАЗНАЧЕНИЕ И ОБЛАСТЬ ПРИМЕНЕНИЯ
Настоящий стандарт устанавливает экспериментальные методы контроля точности сокращения проб ферросплавов, проводимые на объединенной пробе или подпробах, отобранных от партии ферросплава в соответствии с методами, указанными в нормативно-технической документации на методы отбора и подготовки проб для отдельных видов или групп ферросплавов.
Настоящие методы применимы при взятии точечных проб легкодробимых ферросплавов и не применимы к труднодробимым ферросплавам, точечные пробы от которых готовят сверлением.
2. ССЫЛКИ
ИСО 4552 Ферросплавы. Отбор и подготовка проб для химического анализа.
Часть 1. Феррохром, ферросиликохром, ферросилиций, ферросиликомарганец и ферромарганец (ГОСТ 24991).
Часть 2. Ферротитан, ферромолибден, ферровольфрам, феррониобий и феррованадий (ГОСТ 20515, ГОСТ 25207 в части ферровольфрама, ГОСТ 26201).
ИСО 7087 Ферросплавы. Экспериментальные методы оценки вариации качества и контроля точности пробоотбора (ГОСТ 17260).
3. ОБЩИЕ ТРЕБОВАНИЯ
3.1. Масса объединенной пробы
Масса объединенной пробы должна быть достаточной для получения лабораторной пробы требуемой массы. В связи с этим эксперименты проводят на партиях массой не менее 100 т для ферросплавов по ИСО 4552-1 (ГОСТ 24991) и не менее 5 т - для ферросплавов по ИСО 4552-2 (ГОСТ 20515, ГОСТ 25207 в части ферровольфрама, ГОСТ 26201).
3.2. Методы анализа
Анализ экспериментальных проб проводят в соответствии с методами, указанными в нормативно-технической документации на методы анализа конкретных видов ферросплавов.
3.3. Показатели качества
Показатели качества, по которым устанавливается погрешность сокращения проб, указывают в нормативно-технической документации на методы отбора и подготовки проб для отдельных видов или групп ферросплавов. По взаимному согласованию заинтересованных сторон любой другой элемент может быть выбран показателем качества.
3.4 Количество экспериментов
Эксперимент повторяют не менее 10 раз для каждого вида ферросплава на объединенных пробах или подпробах.
Примечание. Объединенная проба, взятая для определения качества партии, может быть использована для получения экспериментальных проб путем ее разделения.
4. ЭКСПЕРИМЕНТАЛЬНЫЕ МЕТОДЫ
4.1. Выбор методов эксперимента
4.1.1. Для ферросплавов, физические свойства которых не позволяют готовить пробы путем одной или двух стадий сокращения и в том случае, если порции пробы, подлежащие отбрасыванию во время последовательных стадий подготовки, необходимо использовать как готовый продукт, например, ферросплавы ИСО 4552-2 (ГОСТ 20515, ГОСТ 25207 в части ферровольфрама, ГОСТ 26201), эксперимент рекомендуется проводить согласно методу сокращения в три и более стадий, приведенному в п.4.2.
4.1.2. Если существующее устройство для дробления может быть использовано для подготовки пробы за одну или две стадии сокращения и требуется получить меньшую погрешность сокращения, то эксперимент рекомендуется проводить согласно методу сокращения в одну или две стадии, приведенному в п.4.3.
4.2. Метод сокращения проб в три и более стадий
4.2.1. Метод применяется к ферросплавам по ИСО 4552-2 (ГОСТ 20515, ГОСТ 25207 в части ферровольфрама, ГОСТ 26201).
4.2.2. В табл.1 приведены примеры размеров максимальных частиц пробы, подлежащей сокращению на каждой стадии.
Таблица 1
Стадия сокращения | Размер максимальных частиц |
Первая | -10 мм или -7,10 мм |
Вторая | -5 мм или -2,80 мм |
Третья | -1,0 мм или -250 мкм |
4.2.3. Пример схемы подготовки экспериментальных проб приведен на черт.1.
Черт.1 - Пример схемы сокращения проб в четыре стадии
Пример схемы сокращения проб в четыре стадии
Черт.1
Из каждой сокращаемой пробы готовят одну лабораторную пробу.
Число стадий дробления и сокращения должно быть одинаковым при подготовке каждой из сдвоенных проб.
Одну из сдвоенных лабораторных проб анализируют один раз, другую - два (дубликатные определения).
Примечание. Дубликатные определения проводят на двух навесках, взятых из одной лабораторной пробы в химической лаборатории.
4.2.4. Последовательность химического анализа экспериментальных лабораторных проб произвольна или же экспериментальные и обычные лабораторные пробы анализируют одновременно в произвольном порядке.
4.2.5. Данные эксперимента приводят в виде таблицы.
Пример записи данных эксперимента по сокращению проб приведен в таблице.
Наименование эксперимента: | ||||||||
Вид и марка ферросплавов (например ферромарганец): | ||||||||
Использованный метод сокращения (например метод, приведенный в п.4.2): | ||||||||
Дата проведения эксперимента: | ||||||||
Объединенная проба | Показатель качества (например % марганца) | |||||||
|
| |||||||
1 | ||||||||
| ||||||||
4.3. Метод сокращения в одну или две стадии
4.3.1. Метод применяется к ферросплавам по ИСО 4552-1 (ГОСТ 24991).
4.3.2. Рекомендуемый размер максимальных частиц сокращаемой пробы - 2,8 мм или - 1,0 мм.
4.3.3. Пример подготовки экспериментальных проб приведен на черт.2. Из каждой сокращаемой пробы готовят одну лабораторную пробу. Число стадий дробления и сокращения должно быть одинаково при подготовке каждой из сдвоенных лабораторных проб.
Черт.2 - Пример схемы сокращения проб в две стадии
Черт.2
Одну из сдвоенных лабораторных проб анализируют один раз, другую - два (дубликатные определения).
Примечание. Дубликатные определения проводят на двух навесках, взятых из одной лабораторной пробы в химической лаборатории.
4.3.4. Последовательность химического анализа экспериментальных лабораторных проб произвольна или экспериментальные и обычные пробы анализируют одновременно в произвольном порядке.
5. АНАЛИЗ ДАННЫХ
Анализ данных для оценки точности сокращения одинаков для экспериментов, проводимых по пп.4.2 и 4.3.
Примечание. Если расчетная величина под корнем квадратным оказывается отрицательной, то среднеквадратическое отклонение считают равным нулю (
) при условии, что никаких отклонений в процессе эксперимента не наблюдалось.
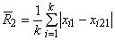
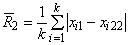
5.1. Погрешность метода химического анализа
Величину оценки погрешности метода химического анализа рассчитывают по формулам:
; (1)
, (2)*
где ,
- первое и второе химическое определение
-той лабораторной пробы
, соответственно;
- число экспериментов;
- средний размах дубликатных определений;
- коэффициент, используемый для определения среднеквадратического отклонения по размаху при дубликатных измерениях;
- оценка величин погрешности метода химического анализа, выраженная среднеквадратическим отклонением.*
________________
* Формула и экспликация к ней соответствуют оригиналу. - Примечание изготовителя базы данных.
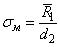
5.2. Погрешность сокращения
Оценку величин погрешности сокращения пробы проводят по формулам:
(3)
или
![]()
, (4*)
где - среднее значение размаха сдвоенных лабораторных проб, одна из которых определена один раз, и одним из дубликатных определений - другой;
- оценка величины погрешности сокращения, выраженная среднеквадратическим отклонением.
_______________
* Другие способы расчета приведены в ИСО 7087 (ГОСТ 17260).
6. ОБРАБОТКА РЕЗУЛЬТАТОВ ЭКСПЕРИМЕНТА
Полученные оценки погрешности сокращения пробы и/или погрешности метода химического анализа сравнивают с заданными величинами или величинами, указанными в государственных стандартах на методы отбора и подготовки проб для отдельных видов или групп ферросплавов.
В случае, если погрешность сокращения проб и/или погрешность метода химического анализа превышают заданные величины или величины, приведенные в соответствующих государственных стандартах, то организации, проводящие эксперименты, должны предпринять необходимые действия по совершенствованию подготовки проб и/или химического анализа.
Во избежание возникновения неконтролируемой ситуации следует помнить, что погрешность сокращения увеличивается в следующих случаях:
а) если пробу, имеющую частицы большого размера, сокращают за один раз до сокращенной пробы малой массы;
б) если сокращение проводят, используя большое число стадий;
в) если используют устройство для сокращения проб, точность которого недостаточно контролируется;
г) если принятая инструкция по подготовке проб точно не выполняется.
Электронный текст документа
подготовлен АО "Кодекс" и сверен по:
официальное издание
М.: Стандартинформ, 2005
Разместите заказ
сами сделают вам предложение



;