ГОСТы сталей. ГОСТ 27041-86
ГОСТ 27041-86
Группа В19
МЕЖГОСУДАРСТВЕННЫЙ СТАНДАРТ
ФЕРРОСПЛАВЫ, ХРОМ И МАРГАНЕЦ МЕТАЛЛИЧЕСКИЕ
Методы определения серы
Ferroalloys, metal chromium and metal manganese.
Methods of sulphur determination
ОКСТУ 0809
Дата введения 1988-01-01
ИНФОРМАЦИОННЫЕ ДАННЫЕ
1. РАЗРАБОТАН И ВНЕСЕН Министерством черной металлургии СССР
2. УТВЕРЖДЕН И ВВЕДЕН В ДЕЙСТВИЕ Постановлением Государственного комитета СССР по стандартам от 23.10.86 N 3189
Изменение N 1 принято Межгосударственным Советом по стандартизации, метрологии и сертификации 15.04.94 по переписке (отчет Технического секретариата N 2)
За принятие проголосовали:
Наименование государства | Наименование национального органа по стандартизации |
Республика Беларусь | Госстандарт Беларуси |
Республика Казахстан | Госстандарт Республики Казахстан |
Республика Молдова | Молдовастандарт |
Российская Федерация | Госстандарт России |
Туркменистан | Главная государственная инспекция Туркменистана |
Украина | Госстандарт Украины |
3. ВЗАМЕН ГОСТ 13020.3-85, 13151.4-80, 13201-74, 13217.3-79, 13230.3-81, 14021.3-78, 14250.3-80, 14638.2-81, 14858.2-81, 15933.2-70, 16591.2-71, 16698.3-71, 17001.2-76, 21876.3-76 *
________________
* По информации ИУС 1-87 ГОСТ 27041-86 введен в действие взамен ГОСТ 13020.3-85, ГОСТ 13151.4-80, ГОСТ 13201.5-77, ГОСТ 13217.3-79, ГОСТ 13230.3-81, ГОСТ 14021.3-78, ГОСТ 14250.3-80, ГОСТ 14638.2-81, ГОСТ 14858.2-81, ГОСТ 15933.2-70, ГОСТ 16591.2-71, ГОСТ 16698.3-71, ГОСТ 17001.2-71, ГОСТ 21600.2-76, ГОСТ 21876.3-76. - Примечание изготовителя базы данных.
4. ССЫЛОЧНЫЕ НОРМАТИВНО-ТЕХНИЧЕСКИЕ ДОКУМЕНТЫ
Обозначение НТД, на который дана ссылка | Номер пункта |
ГОСТ 860-75 | 2.2; 3.2 |
ГОСТ 3118-77 | 2.2; 3.2 |
ГОСТ 4108-72 | 2.2 |
ГОСТ 4145-74 | 3.2 |
ГОСТ 4199-76 | 3.2 |
ГОСТ 4202-75 | 3.2 |
ГОСТ 4232-74 | 3.2 |
ГОСТ 4234-77 | 2.2 |
ГОСТ 4470-79 | 3.2 |
ГОСТ 6613-86 | 1.2 |
ГОСТ 9147-80 | 2.2, 3.2 |
ГОСТ 10163-76 | 3.2 |
ГОСТ 10929-76 | 2.2; 3.2 |
ГОСТ 16539-79 | 2.2; 3.2 |
ГОСТ 18300-87 | 3.2 |
ГОСТ 20490-75 | 3.2 |
ГОСТ 23916-79 | 1.2 |
ГОСТ 24363-80 | 3.2 |
ГОСТ 28473-90 | 1.1, 3.2 |
5. Ограничение срока действия снято по протоколу N 2-92 Межгосударственного Совета по стандартизации, метрологии и сертификации (ИУС 2-93)
6. ПЕРЕИЗДАНИЕ (июнь 1999 г.) с Изменением N 1, утвержденным в декабре 1995 г. (ИУС 3-96)
Настоящий стандарт устанавливает кулонометрический, титриметрический и инфракрасно-абсорбционный методы определения серы в ферросплавах, металлических хроме и марганце (при массовой доле серы от 0,002 до 0,6%).
(Измененная редакция, Изм. N 1).
1. ОБЩИЕ ТРЕБОВАНИЯ
1. ОБЩИЕ ТРЕБОВАНИЯ
1.1. Общие требования к методам анализа - по ГОСТ 28473.
1.2. Лабораторная проба должна быть приготовлена в соответствии с табл.1, с размером частиц, проходящих через сито с сеткой по ГОСТ 6613.
Таблица 1
Анализируемый материал | Характеристика лабораторной пробы | Размер стороны ячейки в свету, мм (номер сетки) |
Феррониобий, феррохром углеродистый и азотированный, содержащий азота 4% и более | Порошок | 0,080 |
Феррохром остальных марок | Стружка толщиной не более 0,2 мм, размельченная в агатовой ступке | 1,600 |
Ферросиликохром, ферросиликоцирконий, ферросилиций, ферросиликомарганец, ферромарганец, ферротитан, ферромолибден, феррованадий, ферровольфрам, силикокальций, ферробор, марганец металлический и азотированный | Порошок | 0,160 |
Хром металлический | Стружка толщиной не более 0,5 мм, подготовленная по ГОСТ 23916 | - |
2. КУЛОНОМЕТРИЧЕСКИЙ МЕТОД
2.1. Сущность метода
Метод основан на сжигании навески ферросплава или металла в потоке кислорода при температуре, указанной в табл.2.
Таблица 2
Условия определения серы в ферросплавах, металлических хроме и марганце
Анализируемый материал | Метод определения | Диапазон опреде- | Масса на- | Применяемые | Соотно- шение состав- | Соотно- шение анализи- руемого мате- | Способ подготовки смеси к анализу | Рабочая темпе- ратура сжига- |
Марганец металлический | Кулонометрический | От 0,005 до 0,12 | 0,5 | Окись меди или железо | - | 1:1 | Навеску пробы помещают в лодочку, добавляют плавень и перемешивают | 1325±25 |
Титриметрический | От 0,005 до 0,07 | 1,0 | Окись меди или железо | - | 1:1 | |||
Св. 0,07 до 0,12 | 0,5 | |||||||
Инфракрасно- | От 0,005 до 0,12 | Анализ проводят согласно прилагаемой к прибору инструкции | ||||||
Хром металлический | Кулонометрический | От 0,005 до 0,05 | 0,5 | Смесь железа с оловом или | 2:1 | 1:4 | Навеску пробы помещают в лодочку, добавляют плавень и перемешивают | 1375±25 |
смесь окиси меди в виде проволоки с железом, или | 5:1 | 1:4 | ||||||
смесь пятиокиси ванадия с железом | 1:5 | 1:2 | ||||||
Титриметрический | От 0,005 до 0,05 | 0,5 | Смесь железа с оловом или | 2:1 | 1:4 | |||
смесь окиси меди в виде проволоки с железом или | 5:1 | 1:4 | ||||||
смесь пятиокиси ванадия с железом | 1:5 | 1:2 | ||||||
Инфракрасно- | От 0,005 до 0,05 | Анализ проводят согласно прилагаемой к прибору инструкции | ||||||
Феррованадий | Кулонометрический | От 0,005 до 0,12 | 0,5 | Окись меди | - | 1:1 | Навеску пробы помещают в лодочку, добавляют плавень и перемешивают | 1300±20 |
Титриметрический | От 0,005 до 0,07 | 1,0 | Окись меди | - | 1:1 | |||
Св. 0,07 до 0,12 | 0,5 | 1:1 | ||||||
Инфракрасно- | От 0,005 до 0,12 | Анализ проводят согласно прилагаемой к прибору инструкции | ||||||
Ферромарганец | Кулонометрический | От 0,003 до 0,05 | 0,5 | Окись меди или | - | 1:1,5 | Навеску пробы помещают в лодочку, добавляют плавень и перемешивают | 1325±25 |
олово | 1:1,5 | |||||||
Титриметрический | От 0,003 до 0,05 | 1,0 | Окись меди или | - | 1:1,5 | |||
олово | 1:1,5 | |||||||
Инфракрасно- | От 0,003 до 0,05 | Анализ проводят согласно прилагаемой к прибору инструкции | ||||||
Ферромолибден | Кулонометрический | От 0,03 до 0,20 | 0,5 | Окись меди или пятиокись ванадия | - | 1:1 | Навеску пробы помещают в лодочку, добавляют плавень и перемешивают | 1325±25 |
Св. 0,20 | 0,25 | 1:2 | ||||||
Св. 0,40 до 0,60 | 0,2 | 1:0,5 - при массе навески 0,5 г; | ||||||
1:1 - при массе навески 0,25 г | ||||||||
Титриметрический | От 0,03 до 0,07 | 1,0 | Окись меди | - | 1:1 | |||
Св. 0,07 | 0,5 | 1:1 | ||||||
Св. 0,15 до 0,30 | 0,25 | 1:2 | ||||||
Св. 0,30 до 0,60 | 0,1 | |||||||
Инфракрасно- | От 0,03 до 0,60 | Анализ проводят согласно прилагаемой к прибору инструкции | ||||||
Ферровольфрам | Кулонометрический | От 0,01 до 0,15 | 0,5 | Окись меди или смесь окиси меди с железом | 3:1 | 1:1 | Навеску пробы помещают в лодочку, добавляют плавень и перемешивают | 1325±25 |
Св. 0,15 до 0,20 | 0,25 | 1:2 | ||||||
1:1 - при массе навески 0,5 г; | ||||||||
1:2 - при массе навески 0,25 г | ||||||||
Титриметрический | От 0,01 до 0,07 | 1,0 | Окись меди или смесь окиси меди с железом | 3:1 | 1:1 | Навеску пробы помещают в лодочку, добавляют плавень и перемешивают | 1325±25 | |
Св. 0,07 до 0,15 | 0,5 | 1:1 | ||||||
Св. 0,15 до 0,20 | 0,25 | 1:2 | ||||||
Инфракрасно- | От 0,01 до 0,20 | Анализ проводят согласно прилагаемой к прибору инструкции | ||||||
Ферротитан | Кулонометрический | От 0,015 до 0,12 | 0,5 | Окись меди или смесь окиси меди с железом | 1:2 | 1:2 | Навеску пробы помещают в лодочку, добавляют плавень и перемешивают | 1325±25 |
Титриметрический | От 0,015 до 0,07 | 1,0 | Окись меди или смесь окиси меди с железом | 1:2 | 1:2 | |||
Св. 0,07 до 0,12 | 1:2 | |||||||
Инфракрасно- | От 0,015 до 0,12 | Анализ проводят согласно прилагаемой к прибору инструкции | ||||||
Ферробор | Кулонометрический | От 0,005 до 0,03 | 0,5 | Олово или окись | - | 1:2 | Навеску пробы помещают в лодочку, добавляют плавень и перемешивают | 1325±25 |
Титриметрический | От 0,005 до 0,03 | 1,0 | Олово или окись меди | - | 1:2 | |||
Инфракрасно- | От 0,005 до 0,03 | Анализ проводят согласно прилагаемой к прибору инструкции | ||||||
Феррониобий | Кулонометрический | От 0,002 до 0,06 | 0,5 | Окись меди | - | 1:2 | Навеску пробы помещают в лодочку, добавляют плавень и перемешивают | 1350±25 |
Титриметрический | От 0,002 до 0,06 | 1,0 | Окись меди | - | 1:2 | |||
Инфракрасно- | От 0,002 до 0,06 | Анализ проводят согласно прилагаемой к прибору инструкции | ||||||
Ферросилико- | Кулонометрический | От 0,01 до 0,05 | 0,5 | Смесь окиси меди с железом | 1:1 | 1:3 | Навеску пробы помещают в лодочку, добавляют плавень и перемешивают | 1325±25 |
Титриметрический | От 0,01 до 0,05 | 1,0 | Смесь окиси меди с железом | 1:1 | 1:3 | |||
Инфракрасно- | От 0,01 до 0,05 | Анализ проводят согласно прилагаемой к прибору инструкции | ||||||
Ферросилиций | Кулонометрический | От 0,002 до 0,08 | 0,5 | Смесь окиси меди с железом | 2:1 | 1:3 | Навеску пробы помещают в лодочку, добавляют плавень и перемешивают | 1375±25 |
Титриметрический | От 0,002 до 0,08 | 1,0 | Смесь окиси меди с железом | 2:1 | 1:3 | |||
Инфракрасно- | От 0,002 до 0,08 | Анализ проводят согласно прилагаемой к прибору инструкции | ||||||
Ферросилико- | Кулонометрический | От 0,002 до 0,04 | 0,5 | Смесь окиси меди с железом или | 3:1 | 1:4 | Допускается растирание навески с плавнем в агатовой ступке | 1375±25 |
пятиокись ванадия | 1:1 | |||||||
Титриметрический | От 0,005 до 0,04 | 1,0 | Смесь окиси меди с железом или | 3:1 | 1:3 | |||
пятиокись ванадия | 1:0,5 | |||||||
Инфракрасно- | От 0,002 до 0,04 | Анализ проводят согласно прилагаемой к прибору инструкции | ||||||
Феррохром | Кулонометрический | От 0,002 до 0,09 | 0,5 | Окись меди в виде проволоки или | 1:3 | 1:3 | Навеску пробы помещают в лодочку, добавляют плавень и перемешивают | 1375±25 |
пятиокись ванадия, или | 1:1 | |||||||
железо | 1:2 | |||||||
Титриметрический | От 0,005 до 0,09 | 0,5 | Окись меди в виде проволоки или | 1:4 | ||||
пятиокись ванадия, или | 1:1 | |||||||
железо | 1:2 | |||||||
Инфракрасно- | От 0,002 до 0,09 | Анализ проводят согласно прилагаемой к прибору инструкции | ||||||
Ферросилико- | Кулонометрический | От 0,003 до 0,05 | 0,5 | Смесь окиси меди с железом или | 3:1 | 1:4 | Навеску пробы помещают в лодочку, добавляют плавень и перемешивают | 1375±25 |
смесь пятиокиси ванадия с железом | 1:5 | 1:2 | ||||||
Титриметрический | От 0,003 до 0,05 | 1,0 | Смесь окиси меди с железом или | 3:1 | 1:3 | |||
смесь пятиокиси ванадия с железом | 1:5 | 1:2 | ||||||
Инфракрасно- | От 0,003 до 0,05 | Анализ проводят согласно прилагаемой к прибору инструкции | ||||||
Силикокальций | Кулонометрический | От 0,003 до 0,15 | 0,5 | Окись меди в виде проволоки или | - | 1:2 | Допускается растирание навески с плавнем в агатовой ступке | 1325±25 |
Св. 0,15 до 0,20 | 0,25 | порошка | 1:4 | |||||
Титриметрический | От 0,005 до 0,05 | 1,0 | Окись меди в виде | - | 1:3 | |||
Св. 0,05 до 0,15 | 0,5 | проволоки или | 1:3 | |||||
Св. 0,15 до 0,20 | 0,25 | порошка | 1:4 | |||||
Инфракрасно- | От 0,003 до 0,20 | Анализ проводят согласно прилагаемой к прибору инструкции | ||||||
Образовавшийся при сжигании сернистый газ вытесняется потоком кислорода в сосуд, содержащий поглотительный раствор с определенным начальным значением рН.
В установке для кулонометрического титрования измеряют количество электричества, необходимое для восстановления исходного значения рН, которое изменяется за счет образования кислоты.
Количество определенного электричества пропорционально массовой доле серы в навеске пробы.
2.2. Аппаратура, реактивы и растворы
Экспресс-анализатор типа АС 7012, АС 7412 в комплекте с устройством сжигания УС-7077.
Допускается применять анализаторы и устройства сжигания других типов.
Кислород технический из кислородопровода или баллон с кислородом, снабженный редукционным вентилем.
Трубки огнеупорные муллито-кремнеземистые длиной 650-800 мм с внутренним диаметром 18-22 мм, прокаленные при рабочей температуре при пропускании через трубку кислорода до отсутствия показания на табло прибора.
Лодочки фарфоровые N 2 по ГОСТ 9147, предварительно прокаленные в муфельной печи при температуре не ниже 900 °С в течение 3-4 ч, хранят в эксикаторе.
При определении серы 0,1% и менее лодочки прокаливают в потоке кислорода непосредственно перед анализом при рабочей температуре.
Барий хлористый по ГОСТ 4108.
Калий хлористый по ГОСТ 4234.
Кислота соляная по ГОСТ 3118, раствор с молярной концентрацией 0,1 моль/дм.
Водорода перекись по ГОСТ 10929.
Плавень. В качестве плавня могут быть использованы:
железо металлическое или карбонильное;
меди (II) окись в виде порошка по ГОСТ 16539, проволоки или гранул, прокаленная при температуре (800±20) °С в течение 3-4 ч;
ванадия пятиокись, прокаленная при температуре (450±20) °С в течение 3-4 ч;
олово металлическое по ГОСТ 860.
Соотношение составных частей плавня, а также соотношение массы навески с плавнем приведены в табл.2.
Допускается применять другие плавни в других соотношениях с навеской.
Массовая доля серы в плавнях не должна превышать величины допускаемых расхождений, приведенных в табл.4.
Таблица 4*
Допускаемое расхождение, % | |||||
Массовая | Погрешность | двух средних результатов анализа, выполненных | двух параллельных определений | трех параллельных определений | результатов стандартного образца от аттестованного значения |
От 0,002 до 0,005 включ. | 0,0012 | 0,0015 | 0,0012 | 0,0015 | 0,0008 |
Св. 0,005 " 0,010 " | 0,0016 | 0,0020 | 0,0017 | 0,0020 | 0,0010 |
" 0,01 " 0,02 " | 0,004 | 0,005 | 0,004 | 0,005 | 0,003 |
" 0,02 " 0,05 " | 0,006 | 0,008 | 0,007 | 0,008 | 0,004 |
" 0,05 " 0,1 " | 0,012 | 0,015 | 0,012 | 0,015 | 0,008 |
" 0,1 " 0,2 " | 0,016 | 0,020 | 0,017 | 0,020 | 0,010 |
" 0,2 " 0,5 " | 0,024 | 0,030 | 0,025 | 0,030 | 0,016 |
" 0,5 " 0,6 " | 0,03 | 0,04 | 0,03 | 0,04 | 0,02 |
________________
* Таблица 3. (Исключена, Изм. N 1).
Растворы поглотительный и вспомогательный, готовят согласно инструкции, прилагаемой к экспресс-анализатору.
(Измененная редакция, Изм. N 1).
2.3. Проведение анализа
В лодочку помещают навески пробы и плавня массой, установленной в соответствии с табл.2. Затем лодочку помещают в наиболее нагретую часть трубки печи и сразу же закрывают затвором.
Устанавливают показание индикаторного цифрового табло на "0" и сжигают пробу при соответствующей температуре, приведенной в табл.2.
В процессе сжигания пробы на цифровом табло осуществляется непрерывный отсчет показаний. Анализ считается законченным, если цифровые показания табло за 1 мин изменяются на величину, не превышающую величину холостого счета прибора. Записывают результаты анализа по показаниям табло, открывают затвор и извлекают лодочку.
2.4. Обработка результатов
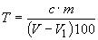
2.4.1. Массовую долю серы () в процентах вычисляют по формуле
,
где - масса навески стандартного образца, по которой отградуирован прибор, г;
- показание прибора при сжигании анализируемого образца, %;
- показание прибора при проведении контрольного опыта на загрязнение реактивов, %;
- масса навески анализируемого образца, г.
2.4.2. Нормы точности и нормативы контроля точности определения массовой доли серы приведены в табл.4.
3. ТИТРИМЕТРИЧЕСКИЙ МЕТОД
3.1.Сущность метода
Метод основан на сжигании навески ферросплава или металла в потоке кислорода при температуре, указанной в табл.2, поглощении образующейся двуокиси серы водой или раствором сернокислого калия в присутствии перекиси водорода, последующем титровании сернистой кислоты раствором йодид-йодата калия в присутствии индикатора - крахмала или, соответственно, серной кислоты раствором тетраборнокислого натрия, в присутствии смеси индикаторов.
3.2. Аппаратура, реактивы и растворы
Для проведения анализа применяют установку, схема которой приведена на чертеже.
Схема установки для проведения анализа
Стеклянные части установки соединяют встык при помощи отрезков резиновых трубок так, чтобы продукты сжигания не находились в соприкосновении с резиновыми трубками. Во избежание нагревания концов трубки торцевые поверхности печи прикрывают асбестовыми экранами, а концы трубки охлаждают влажными полосками хлопчатобумажной ткани или другими подходящими охлаждающими устройствами.
Установка состоит из следующих элементов: стального баллона с кислородом или кислородопровода 1, снабженного редукционным вентилем 2 и манометром 3; промывной склянки 4.1, содержащей раствор марганцовокислого калия в растворе гидроокиси калия. Допускается применять сухую очистку кислорода, для чего промывную склянку 4.1 заменяют -образной трубкой, наполненной в первой половине по направлению потока кислорода асбестом, пропитанным оксидом марганца, а во второй - обезвоженным хлористым кальцием; колонки 4, заполненной в нижней части аскаритом, а в верхней - ангидроном; реометра или газового счетчитка 5; трехходового крана 6 для пуска кислорода в поглотительный сосуд через печь или минуя печь; печи трубчатой горизонтальной с силитовыми нагревателями 7, обеспечивающими нагрев до температуры 1400 °С; трансформатора 8, трубки огнеупорной муллито-кремнеземистой 9 длиной 650-800 мм, с внутренним диаметром 18-22 мм, концы которой должны выступать на (190±10) мм; лодочки фарфоровой 10 по ГОСТ 9147, N 2, предварительно прокаленной в муфельной печи при температуре не ниже 900 °С в течение 4-5 ч, а затем в потоке кислорода в течение 5 мин при рабочей температуре; резиновой трубки для подачи кислорода через барботажную трубку в поглотительный сосуд, минуя печь 11; термопары с терморегулятором для контроля температуры печи 12; стеклянной трубки, заполненной стекловатой для очистки смеси газов от оксидов, образующихся при сжигании 13; крана для изолирования печи от поглотительного сосуда 14, поглотительного сосуда 15, высотой 250 мм и диаметром 30-50 мм; бюретки 16; сосуда для раствора сравнения высотой 250 мм и диаметром 30-50 мм 17. Допускается применение поглотительного сосуда другой формы без сосуда сравнения.
Крючок из жаропрочной низкоуглеродистой проволоки диаметром 3-5 мм, длиной 500-600 мм, с помощью которого фарфоровые лодочки с пробой и плавнем помещают в трубку для сжигания и извлекают из нее.
Калия гидроокись по ГОСТ 24363 и раствор с массовой концентрацией 100 г/дм.
Калий марганцовокислый по ГОСТ 20490; раствор с массовой концентрацией 40 г/дм в растворе гидроокиси калия с массовой концентрацией 100 г/дм
.
Марганца (IV) окись по ГОСТ 4470.
Магний хлорнокислый безводный (ангидрон).
Калий сернокислый по ГОСТ 4145.
Кислота соляная по ГОСТ 3118.
Калий йодистый по ГОСТ 4232.
Калий йодноватистокислый по ГОСТ 4202.
Водорода перекись по ГОСТ 10929.
Спирт этиловый ректификованный технический по ГОСТ 18300.
Поглотительный раствор: 5 г сернокислого калия растворяют в 200 см прокипяченной воды, прибавляют 100 см
раствора перекиси водорода и доводят до 2,5 дм
прокипяченной водой.
Крахмал растворимый по ГОСТ 10163, свежеприготовленный раствор с массовой концентрацией 0,5 г/дм: 0,5 г растворимого крахмала смешивают с 50 см
холодной воды. Полученную суспензию вливают в стакан, содержащий 950 см
кипящей воды, прибавляют 10 см
соляной кислоты и кипятят 2-3 мин. После охлаждения прибавляют раствор йодид-йодата калия до получения бледно-голубой окраски раствора и перемешивают.
Метиловый красный.
Метиленовый синий.
Смесь индикаторов: 0,1 г метилового красного растворяют при перемешивании и нагревании в 300 см этилового спирта и смешивают с раствором, содержащим 0,05 г метиленового синего в 50 см
воды.
Кальций хлористый.
Аскарит.
Калия йодид-йодат, титрованные растворы.
Раствор А: 0,1110 г йодноватокислого калия, 5 г йодистого калия и 0,4 г гидроокиси калия помещают в стакан вместимостью 250 см и растворяют в 100 см
воды. Раствор переносят в мерную колбу вместимостью 1 дм
, доливают до метки водой и перемешивают. Раствор хранят в склянке из темного стекла.
1 см раствора А соответствует ~ 0,00005 г серы.
Раствор Б: 250 см раствора А разбавляют в мерной колбе водой до 500 см
.
1 см раствора Б соответствует ~ 0,000025 г серы.
Массовую концентрацию раствора А или Б йодид-йодата калия устанавливают по стандартному образцу в соответствии с требованием ГОСТ 28473.
Массовую концентрацию растворов А или Б йодид-йодата калия () в граммах серы на кубический сантиметр вычисляют по формуле
,
где - массовая доля серы в стандартном образце ферросплава или металла, %;
- объем раствора йодид-йодата калия, израсходованный на титрование серы, содержащейся в навеске стандартного образца, см
;
- объем раствора йодид-йодата калия, израсходованный на титрование раствора контрольного опыта, см
;
- масса навески стандартного образца, г.
Натрий тетраборнокислый по ГОСТ 4199, титрованные растворы.
Раствор А: 0,5947 г реактива растворяют в мерной колбе 1 дм предварительно прокипяченной воды.
1 см раствора А соответствует ~ 0,00005 г серы.
Раствор Б: 250 см раствора А разбавляют в мерной колбе водой до 500 см
.
1 см раствора Б соответствует ~ 0,000025 г серы.
Массовую концентрацию растворов А или Б тетраборнокислого натрия () в граммах серы на кубический сантиметр раствора вычисляют по формуле 2, где
и
- соответствующие объемы раствора тетраборнокислого натрия.
Плавень. В качестве плавня могут быть использованы:
железо металлическое или железо карбонильное;
меди (II) окись в виде порошка по ГОСТ 16539, проволоки или гранул, прокаленная при температуре (800±20) °С в течение 3-4 ч;
ванадия пятиокись, прокаленная при температуре (450±20) °С в течение 3-4 ч;
олово металлическое по ГОСТ 860.
Соотношение составных частей плавня, а также соотношение массы навески с плавнем приведены в табл.2.
Допускается применять другие плавни в других соотношениях с навеской.
Массовая доля серы в плавнях не должна превышать величины допускаемых расхождений, приведенных в табл.4.
(Измененная редакция, Из
м. N 1).
3.3. Подготовка к анализу
3.3.1. Устанавливают рабочую температуру печи и проверяют установку на герметичность. Для этого в нагретую трубку из газовой системы при помощи крана 6 подают кислород при закрытом кране 14. Установку считают герметичной, если в промывной склянке 4.1 через некоторое время прекратится появление пузырьков газа. В противном случае установку следует разобрать, проверить стеклянные стыки, краны, смазать их вазелином, собрать установку и снова проверить герметичность.
Перед проведением анализа контролируют полноту выгорания серы из трубки.
3.3.2. При применении титрованного раствора йодид-йодата калия в поглотительный сосуд и сосуд сравнения наливают по 50 см раствора крахмала, окрашенного йодид-йодатом калия до светло-голубого цвета. Затем через поглотительный сосуд пропускают поток кислорода с умеренной скоростью. Если через 4-5 мин окраска раствора в поглотительном сосуде исчезает, то добавляют раствор йодид-йодата до получения светло-голубой окраски раствора и вновь пропускают кислород. Устойчивость окраски раствора в поглотительном сосуде свидетельствует о полном выгорании серы из трубки.
3.3.3. При применении титрованного раствора тетраборнокислого натрия в поглотительный сосуд наливают 50 см поглотительного раствора и 5-6 капель раствора смеси индикаторов. К раствору прибавляют несколько капель раствора тетраборнокислого натрия до изменения окраски раствора в светло-зеленую. В процессе прибавления раствора тетраборнокислого натрия пропускание кислорода не прекращают. Устойчивость окраски раствора в поглотительном сосуде свидетельствует о полном выгорании серы из трубки.
3.4. Проведение анализа
3.4.1. В лодочку помещают навески пробы и плавня массой, установленной в соответствии с табл.2. Закрывают кран 14, соединяющий печь с поглотительным сосудом 15, кран 6 поворачивают в положение, при котором кислород поступает в поглотительный сосуд через трубку 11 и верхний отвод барботажной трубки 15.3, минуя печь.
Открывают муллито-кремнеземистую трубку, помещают лодочку с навеской и плавнем в наиболее нагретую часть трубки, закрывают металлическим затвором или резиновой пробкой и продолжают нагревание навески при рабочей температуре, приведенной в табл.2 приблизительно 30 с без доступа кислорода.
Во время нагревания образца газ должен барботировать в поглотительном сосуде, не допуская поглощения двуокиси серы в барботажной трубке. Поворачивают кран 6 в положение, при котором кислород поступает в печь, затем быстро открывают кран 14 и пропускают поток газа через поглотительный раствор. Для контроля скорости подачи кислорода следует использовать реометр и поддерживать расход кислорода 1,5-2 дм/мин.
Когда сернистый газ, поступающий из печи в поглотительный сосуд, начнет обесцвечивать нижний слой жидкости, из бюретки по каплям прибавляют раствор йодид-йодата калия с массовой концентрацией по сере, приведенной в табл.5, со скоростью при которой жидкость все время оставалась бы светло-голубого цвета. Титрование считают законченным, когда интенсивность окраски раствора в обоих сосудах будет одинаковой, не исчезающей в течение 1 мин. Для полноты сжигания навески кислород подают еще в течение 1 мин. Если интенсивность окраски раствора не уменьшится, анализ считают законченным.
Таблица 5
Масса серы, | Массовая концентрация раствора йодид-йодат калия |
От 0,00002 до 0,0003 | 0,000025 |
Св. 0,0003 " 0,001 | 0,000050 |
При применении титрованного раствора тетраборнокислого натрия окраска поглотительного раствора изменяется из светло-зеленой в малиновую. В этом случае прибавляют раствор тетраборнокислого натрия с массовой концентрацией, соответствующей определяемой массе серы (табл.5) до получения светло-зеленой окраски раствора. Прекращают подачу кислорода в печь. Для этого перекрывают кран 14 и быстро поворачивают кран 6 в положение, при котором кислород поступает в поглотительный сосуд, минуя печь, и извлекают лодочку из трубки.
Участок системы между трубкой сжигания и поглотительным сосудом должен быть сухим; для надежности перед началом работы его промывают этиловым спиртом и эфиром.
Недопустимо засасывание поглотительного раствора в барботажную трубку 15.1.
Если же в процессе сжигания навески или в момент переключения кранов все же наблюдается засасывание поглотительного раствора в барботажную трубку, то необходимо слить раствор из поглотительного сосуда и просушить его путем длительного пропускания горячего потока кислорода, проходящего через печь, или заменить поглотительный сосуд другим сосудом с сухой барботажной трубкой.
Для предотвращения засасывания поглотительного раствора в барботажную трубку вместо подачи кислорода в поглотительный сосуд через трехходовый кран 6 и резиновую трубку 11 рекомендуется трехходовый кран убрать и подачу кислорода осуществлять с различной скоростью двумя самостоятельными источниками. Через верхний отвод барботажной трубки 15.3 непрерывно подают кислород со скоростью 0,3 дм/мин, при этом кран 14 должен быть закрыт, а в период сжигания навески сплава кран 14 открывают и кислород пропускают через трубку и нижний отвод барботажной трубки 15.2 со скоростью 1-2 дм
/мин, при этом необходимо исключить одноминутную выдержку в процессе сжигания навески сплава.
После сжигания навески и оттитровывания поглотительного раствора кран 14 перекрывают, открывают пробку и выгружают лодочку из трубки; кислород в поглотительную ячейку продолжают подавать через верхний отвод барботажной трубки со скоростью 0,3 дм/мин.
3.5. Обработка результатов
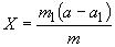
3.5.1. Массовую долю серы () в процентах вычисляют по формуле
,
где - массовая концентрация раствора йодид-йодата калия или тетраборнокислого натрия, выраженная в г/см
серы;
- объем раствора йодид-йодата калия или тетраборнокислого натрия, израсходованный на титрование, см
;
- объем раствора йодид-йодата калия или тетраборнокислого натрия, израсходованный на титрование раствора контрольного опыта, см
;
- масса навески, г
.
3.5.2. Нормы точности и нормативы контроля точности определения массовой доли серы приведены в табл.4.
(Измененная редакция, Изм. N 1).
4. ИНФРАКРАСНО-АБСОРБЦИОННЫЙ МЕТОД
4.1.Сущность метода
Метод основан на сжигании навески ферросплава или металла в потоке кислорода при соответствующей температуре и определении количества образовавшейся двуокиси серы путем измерения поглощенной ею инфракрасной радиации.
4.2. Аппаратура, реактивы и растворы
Автоматический анализатор, основанный на абсорбции инфракрасной радиации, любого типа со всеми принадлежностями.
Плавень, поглотительный и вспомогательные материалы - в зависимости от типа применяемого анализатора.
4.3. Проведение анализа
Перед проведением анализа проводят градуировку прибора по стандартным образцам.
Анализ проводят в зависимости от типа анализатора.
4.4. Обработка результатов
4.4.1. Массовую долю серы определяют по цифровому указателю анализатора.
4.4.2. Нормы точности и нормативы контроля точности определения массовой доли серы приведены в табл.4.
(Измененная редакция, Изм. N 1).
Электронный текст документа
подготовлен ЗАО "Кодекс" и сверен по:
официальное издание
М.: ИПК Издательство стандартов, 1999
Разместите заказ
сами сделают вам предложение

