ГОСТы сталей. ГОСТ 21876.1-76
ГОСТ 21876.1-76
Группа В19
ГОСУДАРСТВЕННЫЙ СТАНДАРТ СОЮЗА ССР
ФЕРРОМАРГАНЕЦ
Метод определения содержания марганца
Ferromanganese. Method for the determination of manganese content
Дата введения 1978-01-01
Постановлением Государственного комитета стандартов Совета Министров СССР от 24 мая 1976 г. N 1263 срок действия установлен с 01.01.1978 г. до 01.01.1983 г.*
_______________
* Ограничение срока действия снято по протоколу N 4-93 Межгосударственного Совета по стандартизации, метрологии и сертификации (ИУС N 4, 1994 год). - Примечание изготовителя базы данных.
ВЗАМЕН ГОСТ 13091.1-67.
ПЕРЕИЗДАНИЕ. Декабрь 1977 г.
Настоящий стандарт распространяется на ферромарганец и устанавливает потенциометрический метод определения содержания марганца (при содержании марганца от 70% и выше).
Метод основан на реакции окисления двухвалентного марганца до трехвалентного раствором марганцовокислого калия в нейтральной среде (при рН около 7) в присутствии комплексообразователя - пирофосфорнокислого натрия.
Стандарт соответствует рекомендации СЭВ по стандартизации PC 981-67.
1. ОБЩИЕ ТРЕБОВАНИЯ
1. ОБЩИЕ ТРЕБОВАНИЯ
1.1. Общие требования к методу анализа - по ГОСТ 13020.0-75.
1.2. Отбор проб производят по ГОСТ 4755-70 со следующим дополнением.
1.2.1. Проба должна быть приготовлена в виде тонкого порошка с размером частиц, проходящих через сито с сеткой N 016 по ГОСТ 6613-73*.
_______________
* На территории Российской Федерации действует ГОСТ 6613-86. - Примечание изготовителя базы данных.
2. АППАРАТУРА, РЕАКТИВЫ И РАСТВОРЫ
Установка потенциометрическая (см. чертеж).
Чертеж. Установка потенциометрическая

1 - платиновый электрод (проволока длиной 50 мм и диаметром 1-2 мм или спираль из нее);
2 - переменное сопротивление на 25-50 кОм; 3 - милливольтметр типа МПП 254
или милливольтмикроамперметр типов М-95, М-198/2 или другого типа;
4 - вольфрамовый электрод (проволока диаметром 0,5-1,0 мм
или спираль из нее)
Мешалка магнитная.
Кислота азотная по ГОСТ 4461-77 и разбавленная 1:1.
Кислота соляная по ГОСТ 3118-77 и разбавленная 1:1.
Кислота серная по ГОСТ 4204-77, разбавленная 1:1.
Кислота фтористоводородная по ГОСТ 10484-73*.
_______________
* На территории Российской Федерации действует ГОСТ 10484-78. - Примечание изготовителя базы данных.
Мочевина по ГОСТ 6691-77.
Бромтимоловый синий, 0,1%-ный спиртовой раствор; готовят следующим образом: 0,1 г бромтимолового синего растворяют в 20 мл этилового спирта, а затем разбавляют водой до 100 мл.
Спирт этиловый ректификованный по ГОСТ 5692-73*.
_______________
* Соответствует оригиналу. - Примечание изготовителя базы данных.
Натрий пирофосфорнокислый по ГОСТ 342-77, насыщенный раствор; готовят следующим образом: 120 г пирофосфата натрия растворяют в 1 л воды при слабом нагревании (до 70 °С), охлаждают и дают выкристаллизоваться избытку соли.
Ацетон по ГОСТ 2603-71*.
_______________
* На территории Российской Федерации действует ГОСТ 2603-79. - Примечание изготовителя базы данных.
Натрий углекислый по ГОСТ 84-76, 10%-ный раствор.
Марганец металлический марки Мр00 по ГОСТ 6008-75, очищенный от окислов и жира: 10 г электролитического марганца помещают в стакан вместимостью 400 мл. Поверхностный слой обрабатывают в течение нескольких минут в смеси 50 мл воды и 5 мл азотной кислоты до получения блестящей поверхности. Раствор сливают и после шестикратной промывки водой металл промывают ацетоном и высушивают при 100 °С в сушильном шкафу в течение 10 мин.
Стандартный раствор марганца; готовят следующим образом: 1 г очищенного электролитического марганца помещают в стакан вместимостью 600 мл и растворяют в 20 мл серной кислоты, разбавленной 1:1. После растворения навески приливают 100 мл воды и нагревают до кипения. Полученный раствор охлаждают, переносят в мерную колбу вместимостью 1 л, доливают водой до метки и перемешивают. 1 мл раствора содержит 0,001 г марганца.
Калий марганцовокислый по ГОСТ 20490-75, перекристаллизованный. Перекристаллизацию производят следующим образом: марганцовокислый калий растворяют в 250 мл горячей воды (70-80 °С) до получения насыщенного раствора. Раствор нагревают при перемешивании в течение 20-30 мин и, не охлаждая, фильтруют через воронку с пористой пластинкой N 3. Раствор охлаждают при энергичном взбалтывании и дают выделиться кристаллическому осадку. Раствор сифонируют, осадок переносят на воронку с пористой пластиной N 3 и оставшийся раствор отсасывают с применением вакуума. Перекристаллизацию выделенного марганцовокислого калия повторяют дважды. После повторной перекристаллизации марганцовокислый калий помещают на стекло, просушивают на воздухе в закрытом от света и пыли месте, а затем в термостате при 100±5 °С в течение 2-3 ч и хранят в склянке из темного стекла.
Калий марганцовокислый, 0,05 н. раствор; готовят следующим образом: 1,58 г марганцовокислого калия растворяют в 1 л воды. Раствор оставляют на 6 сут, затем сифонируют или фильтруют через слой стеклянной ваты или воронку с пористой пластиной в склянку из темного стекла. Титр раствора марганцовокислого калия устанавливают через день после фильтрации по стандартному раствору марганца или навеске перекристаллизованного марганцовокислого калия.
Установка титра раствора марганцовокислого калия по электролитическому марганцу
50 мл стандартного раствора марганца при перемешивании помещают в стакан вместимостью 400 мл, где находится 2 мл серной кислоты, разбавленной 1:1, 0,5 г мочевины, 150 мл насыщенного раствора пирофосфата натрия и далее анализ ведут, как указано в п.3.1.
Титр раствора марганцовокислого калия (), выраженный в г/мл марганца, вычисляют по формуле
,
где - масса навески марганца, соответствующая аликвотной части раствора, г;
- объем раствора марганцовокислого калия, израсходованный на титрование, мл;
- объем раствора марганцовокислого калия, израсходованный на титрование раствора контрольного опыта на загрязнение реактивов, мл.
Установка титра раствора марганцовокислого калия по марганцовокислому калию
Навеску дважды перекристаллизованного марганцовокислого калия массой 0,8 г растворяют в 30 мл воды, прибавляют 10 мл соляной кислоты и выпаривают досуха. К сухому остатку снова приливают 10 мл соляной кислоты и вновь выпаривают досуха. Сухой остаток растворяют в 40 мл соляной кислоты, разбавленной 1:1, раствор охлаждают, переливают в мерную колбу вместимостью 250 мл, доливают водой до метки и перемешивают. Отбирают пипеткой 50 мл раствора, переносят при перемешивании в стакан вместимостью 400 мл, содержащий 150 мл насыщенного раствора пирофосфата натрия и 2 мл серной кислоты, разбавленной 1:1, и 0,5 г мочевины. Далее анализ ведут, как указано в п.3.1.
Титр раствора марганцовокислого калия (), выраженный в г/мл марганца, вычисляют по формуле
,
где - масса навески марганцовокислого калия, соответствующая аликвотной части раствора, г;
- объем раствора марганцовокислого калия, израсходованный на титрование, мл;
- объем раствора марганцовокислого калия, израсходованный на титрование раствора контрольного опыта на загрязнение реактивов, мл;
0,3476 - коэффициент пересчета марганцовокислого калия на марганец.
3. ПРОВЕДЕНИЕ АНАЛИЗА
3.1. Навеску ферромарганца массой 0,5 г растворяют без нагревания в 40 мл азотной кислоты, разбавленной 1:1, в стакане вместимостью 400 мл, накрытом часовым стеклом.
По окончании реакции прибавляют несколько капель фтористоводородной кислоты, раствор нагревают на плите и умеренно кипятят 5-10 мин. Затем приливают 25 мл серной кислоты, разбавленной 1:4, и выпаривают раствор до появления паров серной кислоты.
При неполном растворении пробы в азотной кислоте раствор с остатком пробы обрабатывают 40 мл смеси соляной и азотной кислот в соотношении 3:1. Затем приливают 25 мл серной кислоты, разбавленной 1:4, и выпаривают раствор до появления паров серной кислоты.
После разложения пробы раствор количественно переливают в мерную колбу вместимостью 500 мл, охлаждают, доливают водой до метки и перемешивают.
Отбирают пипеткой из мерной колбы 100 мл раствора и при перемешивании переносят его в стакан вместимостью 600 мл, где находится 0,5 г мочевины и 150 мл насыщенного раствора пирофосфата натрия. Затем добавляют 15 капель раствора бромтимолового синего, нейтрализуют раствором углекислого натрия или соляной кислоты, разбавленной 1:1, до перехода окраски раствора из желтой в зеленую (до рН 7).
После нейтрализации в раствор погружают электроды, включают мешалку и титруют раствором перманганата калия до изменения потенциала, отмеченного максимальным отклонением стрелки милливольтметра.
После 10-15 определений платиновый электрод очищают путем погружения на 1-2 мин в соляную кислоту, разбавленную 1:1.
4. ОБРАБОТКА РЕЗУЛЬТАТОВ
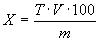
4.1. Содержание марганца () в процентах вычисляют по формуле
,
где - титр раствора марганцовокислого калия, выраженный в граммах марганца;
- объем раствора марганцовокислого калия, израсходованный на титрование, мл;
- масса навески ферромарганца, соответствующая аликвотной части раствора, г.
4.2. Абсолютные допускаемые расхождения между результатами параллельных определений не должны превышать 0,5%.
Замена
ГОСТ 84-76 введен взамен ГОСТ 84-66.
ГОСТ 342-77 введен взамен ГОСТ 342-66.
ГОСТ 6691-77 введен взамен ГОСТ 6691-67.
Электронный текст документа
подготовлен АО "Кодекс" и сверен по:
официальное издание
Ферромарганец. Методы химического анализа:
Сб. ГОСТов. ГОСТ 21876.1-76-ГОСТ 21876.5-76. -
М.: Издательство стандартов, 1978
Разместите заказ
сами сделают вам предложение
