ГОСТы сталей. ГОСТ 13663-86
ГОСТ 13663-86
Группа В62
МЕЖГОСУДАРСТВЕННЫЙ СТАНДАРТ
ТРУБЫ СТАЛЬНЫЕ ПРОФИЛЬНЫЕ
Технические требования
Shaped steel tubes. Technical requirements
ОКП 13 1900, 13 4400, 13 5100, 13 7300
Дата введения 1988-01-01
ИНФОРМАЦИОННЫЕ ДАННЫЕ
1. РАЗРАБОТАН И ВНЕСЕН Министерством черной металлургии СССР
РАЗРАБОТЧИКИ
Е.А.Близнюков, В.П.Сокуренко, В.Н.Ровенский, А.Б.Петрушевская
2. УТВЕРЖДЕН И ВВЕДЕН В ДЕЙСТВИЕ Постановлением Государственного комитета СССР по стандартам от 26.09.86 N 2918
3. ВЗАМЕН ГОСТ 13663-68
4. ССЫЛОЧНЫЕ НОРМАТИВНО-ТЕХНИЧЕСКИЕ ДОКУМЕНТЫ
Обозначение НТД, на который дана ссылка | Номер пункта |
ГОСТ 166-89 (ИСО 3599-76) | 3.2 |
ГОСТ 380-2005 | 1.4; 1.5 |
ГОСТ 1050-88 | 1.44; 1.5 |
ГОСТ 3845-75 | 3.11 |
ГОСТ 4543-71 | 1.4 |
ГОСТ 6507-90 | 3.2; 3.3 |
ГОСТ 7502-98 | 3.5 |
ГОСТ 7565-81 | 3.10 |
ГОСТ 7661-67 | 3.4 |
ГОСТ 8026-92 | 3.4; 3.6 |
ГОСТ 8638-57 | 1.2 |
ГОСТ 8639-82 | 1.2 |
ГОСТ 8642-68 | 1.2 |
ГОСТ 8644-68 | 1.2 |
ГОСТ 8645-68 | 1.2 |
ГОСТ 8646-68 | 1.2 |
ГОСТ 9045-93 | 1.4 |
ГОСТ 9454-78 | 3.12 |
ГОСТ 10006-80 | 3.12 |
ГОСТ 10692-80 | 2.1; 4.1 |
ГОСТ 12344-2003 | 3.9 |
ГОСТ 12345-2001 (ИСО 671-82, ИСО 4935-89) | 3.9 |
ГОСТ 12346-78 (ИСО 439-82, ИСО 4829-1-86) | 3.9 |
ГОСТ 12347-77 | 3.9 |
ГОСТ 12348-78 (ИСО 629-82) | 3.9 |
ГОСТ 12350-78 | 3.9 |
ГОСТ 12352-81 | 3.9 |
ГОСТ 12355-78 | 3.9 |
ГОСТ 12356-81 | 3.9 |
ГОСТ 12357-84 | 3.9 |
ГОСТ 12359-99 (ИСО 4945-77) | 3.9 |
ГОСТ 18360-93 | 3.2 |
ГОСТ 18365-93 | 3.2 |
ГОСТ 19281-89 (ИСО 4950-2-81, ИСО 4950-3-81, ИСО 4951-79, ИСО 4995-78, ИСО 4996-78, ИСО 5952-83) | 1.5 |
ГОСТ 22536.0-87 | 3.9 |
ГОСТ 22536.1-88 | 3.9 |
ГОСТ 22536.2-87 | 3.9 |
ГОСТ 22536.3-88 | 3.9 |
ГОСТ 22536.4-88 | 3.9 |
ГОСТ 22536.5-87 (ИСО 629-82) | 3.9 |
ГОСТ 22536.7-88 | 3.9 |
ГОСТ 22536.8-87 | 3.9 |
ГОСТ 22536.9-88 | 3.9 |
(Измененная редакция, Изм. N 3).
5. Ограничение срока действия снято Постановлением Госстандарта от 03.06.92 N 525
6. ИЗДАНИЕ с Изменениями N 1, 2, утвержденными в декабре 1987 г., ноябре 1989 г. (ИУС 3-88, 2-90)
ВНЕСЕНО Изменение N 3, принятое Межгосударственным советом до стандартизации, метрологии и сертификации по переписке (протокол N 35-2009 от 11.06.2009). Государство-разработчик Россия. Приказом Федерального агентства по техническому регулированию и метрологии от 24.02.2010 N 22-ст введено в действие на территории РФ с 01.04.2010
Изменение N 3 внесено изготовителем базы данных по тексту ИУС N 5, 2010 год
Настоящий стандарт распространяется на профильные бесшовные и сварные трубы общего назначения из углеродистой и легированной стали.
(Измененная редакция, Изм. N 3).
1. ТЕХНИЧЕСКИЕ ТРЕБОВАНИЯ
1. ТЕХНИЧЕСКИЕ ТРЕБОВАНИЯ
1.1. Трубы изготовляют в соответствии с требованиями настоящего стандарта, по технологическим регламентам, утвержденным в установленном порядке.
1.2. Размеры труб должны соответствовать указанным в ГОСТ 8638, ГОСТ 8639, ГОСТ 8642, ГОСТ 8644 - ГОСТ 8646.
Предельные отклонения по размерам должны соответствовать указанным в ГОСТ 8639.
1.3. Трубы изготовляют бесшовными горячедеформированными, бесшовными холоднодеформированными, электросварными, электросварными холоднодеформированными, электросварными горячекалиброванными, а также изготовленными методом печной сварки.
1.4. Трубы изготовляют:
- из углеродистой стали марок Ст1сп, Ст1пс, Ст1кп, Ст2сп, Ст2пс, Ст2кп, Ст3сп, Ст3пс, Ст3кп, Ст4сп, Ст4пс, Ст4кп по ГОСТ 380, марок 08, 08пс, 08кп, 10, 10пс, 10кп, 15, 15пс, 15кп, 20, 20пс, 20кп, 35, 45 по ГОСТ 1050, марки 08Ю по ГОСТ 9045;
- из легированной стали марок 09Г2, 09Г2С, 10ХСНД по ГОСТ 19281, марок 10Г2 и 30ХГСА по ГОСТ 4543.
1.5. В зависимости от назначения трубы изготовляют следующих групп:
А - с нормированием механических свойств основного металла труб в соответствии с таблицами 1 и 2;
В - с нормированием химического состава стали по ГОСТ 380, ГОСТ 1050, ГОСТ 9045, ГОСТ 19281, ГОСТ 4543 и механических свойств основного металла труб в соответствии с таблицами 1 и 2. В условных обозначениях труб индекс группы проставляется перед маркой стали.
1.3-1.5. (Измененная редакция, Изм. N 3).
1.6. Трубы изготовляют термически обработанными или без термической обработки.
1.7. Механические свойства термически обработанных труб или труб без дополнительной термообработки после прокатного нагрева должны соответствовать нормам, приведенным в табл.1.
Таблица 1
Марка стали | Временное сопротивление разрыву | Предел текучести | Относительное удлинение | Вид труб |
не менее | ||||
10, 10пс | 353 (36) | 216 (22) | 24 | Трубы горяче- |
20 | 412 (42) | 245 (25) | 21 | |
35 | 510 (52) | 294 (30) | 18 | |
45 | 549 (56) | 323 (33) | 14 | |
09Г2 | 441 (45) | 294 (30) | 20 | |
09Г2С | 441 (45) | 294 (30) | 18 | |
10ХСНД | 490 (50) | 343 (35) | 18 | |
10Г2 | 422 (43) | 265 (27) | 21 | |
30ХГСА | 600 (61) | 350 (36) | 21 | |
10, 10пс | 343 (35) | 206 (21) | 24 | Трубы холодно- |
20 | 412 (42) | 245 (25) | 20 | |
35 | 510 (52) | 294 (30) | 18 | |
45 | 549 (56) | 323 (33) | 14 | |
09Г2 | 441(45) | 294 (30) | 20 | |
09Г2С | 441 (45) | 265 (27) | 18 | |
10ХСНД | 490 (50) | 343 (35) | 18 | |
10Г2 | 422 (43) | 265 (27) | 21 | |
30ХГСА | 600 (61) | 350 (36) | 21 | |
Ст2сп, Ст2пс, Ст2кп | 333 (34) | 206 (21) | 24 | Трубы электросварные, электросварные холоднодефор- |
Ст3сп, Ст3пс, Ст3кп | 353 (36) | 216 (22) | 22 | |
Ст4сп, Ст4пс, Ст4кп | 412 (42) | 245 (25) | 21 | |
10, 10пс | 333 (34) | 206 (21) | 24 | |
20 | 412 (42) | 245 (25) | 21 | |
Ст08пс | 333 (34) | 206 (21) | 24 | Трубы печной сварки |
1.8. Механические свойства нетермообработанных электросварных профильных труб должны соответствовать нормам, приведенным в табл.2.
Таблица 2
Марка стали | Временное сопротивление разрыву | Относительное удлинение |
не менее | ||
08Ю | 294 (30) | 14 |
08, 08пс, 08кп | 314 (32) | 13 |
Ст1сп, Ст1пс, Ст1кп | 333 (34) | 11 |
Ст2сп, Ст2пс, Ст2кп | 353 (36) | 10 |
Ст3сп, Ст3пс, Ст3кп | 363 (37) | 10 |
Ст4сп, Ст4пс, Ст4кп | 372 (38) | 10 |
10, 10пс, 10кп | 353 (36) | 10 |
15, 15пс, 15кп | 372 (38) | 10 |
20, 20пс, 20кп | 372 (38) | 10 |
1.7, 1.8. (Измененная редакция, Изм. N 1, 3).
1.9. На поверхности горячедеформированных труб не допускаются трещины, плены, рванины, закаты.
Допускаются отдельные незначительные забоины, вмятины, риски, тонкий слой окалины, следы зачистки дефектов и мелкие плены, не выводящие толщину стенки за пределы минусовых отклонений.
1.9.1. На поверхности холоднодеформированных труб не допускаются трещины, плены, рванины и закаты.
Отдельные незначительные забоины, окалина, следы отслоившейся окалины, не препятствующие осмотру, вмятины, следы правки, риски и следы зачистки дефектов допускаются, если они не выводят размеры труб за предельные отклонения.
1.9.2. На поверхности электросварных труб, электросварных горячекалиброванных и труб печной сварки не допускаются трещины, плены и закаты.
Рябизна, риски и другие повреждения механического происхождения, слой окалины и следы зачистки дефектов допускаются при условии, если они не выводят размеры труб за предельные отклонения.
На внутренней поверхности труб допускается остаток грата, обусловленный способом производства.
Наружный грат на трубах должен быть удален.
В месте снятия грата допускается утонение стенки до 0,1 мм сверх минусового допуска.
(Измененная редакция, Изм. N 3).
1.9.3. На поверхности электросварных холоднодеформированных труб не допускаются трещины, плены, рванины, закаты.
Допускаются следы окалины, не препятствующие осмотру, вмятины, следы правки, риски и следы зачистки дефектов, если они не выводят размеры труб за предельные отклонения.
1.10. По требованию потребителя холоднодеформированные трубы изготовляют с очищенной от окалины поверхностью.
По согласованию изготовителя с потребителем горячедеформированные и электросварные трубы изготовляют с очищенной от окалины поверхностью.
1.11. Концы труб должны быть обрезаны под прямым углом.
По требованию потребителя трубы изготовляют без обрезки концов.
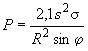
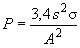
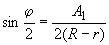
1.12. Трубы всех видов, работающие под давлением (условия работы труб оговариваются в заказе), должны выдерживать испытательное гидравлическое давление (Р), МПа (кгс/см), вычисляемое по формулам:
для труб прямоугольного сечения
![]()

для труб квадратного сечения
![]()

для труб овального сечения

,
где - допускаемое напряжение, равное 80% предела текучести, Н/мм
(кгс/мм
);
- минимальная толщина стенки, мм (за вычетом минусового допуска);
- сторона квадрата или большая сторона прямоугольника, мм;
- меньшая сторона прямоугольника, мм;
и
- радиусы большой и малой дуг овала, мм;
- расстояние между центрами окружностей дуг малого овала, мм;
- угол, образованный линиями, проведенными из центра окружности дуги большого овала через центры окружности дуг малого овала, градус.
Гидравлическое испытание труб других видов профиля и нормы по ним определяют по согласованию изготовителя с потребителем.
Способность труб выдерживать испытательное гидравлическое давление обеспечивается технологией производс
тва.
1.13. По согласованию изготовителя с потребителем трубы бесшовные холоднодеформированные из стали марки 09Г2С с толщиной стенки 4 мм и более должны выдерживать испытания на ударный изгиб.
Нормы ударной вязкости, тип образца (с концентратором вида U или V), а также температура испытаний оговариваются в заказе.
(Введен дополнительно, Изм. N 3).
2. ПРАВИЛА ПРИЕМКИ
2.1. Трубы принимают партиями. Партия должна состоять из труб одного размера, одной марки стали и одного вида термообработки (для термообработанных труб) и оформлена одним документом о качестве по ГОСТ 10692 с указанием вида трубы (горячедеформированные, холоднодеформированные, электросварные, или электросварные холоднодеформированные, электросварные горячекалиброванные или трубы печной сварки).
(Измененная редакция, Изм. N 3).
2.2. Количество труб в партии должно быть, не более:
1000 шт. - для труб наружными размерами до 30 мм включ.;
500 шт. - для труб наружными размерами св. 30 до 70 мм включ.;
200 шт. - для труб наружными размерами св. 70 мм.
2.3. Контролю поверхности и размеров подвергают каждую трубу партии.
Контроль геометрических параметров, кроме толщины стенки, проводится на расстоянии не менее чем 50 мм от любого торца трубы.
По согласованию изготовителя с потребителем допускается на каждой партии труб статистический выборочный метод контроля размеров и поверхности по альтернативному признаку с одноступенчатым уровнем в соответствии с действующими стандартами. Планы контроля устанавливаются при согласовании использования статистического контроля.
(Измененная редакция, Изм. N 1, 3).
2.4. Химический состав стали труб принимают по документу о качестве изготовителя заготовки. В случае необходимости для проверки химического состава металла от партии отбирают одну трубу.
2.5. Для испытания на растяжение и ударный изгиб отбирают две трубы от партии.
(Измененная редакция, Изм. N 3).
2.6. При получении неудовлетворительных результатов испытаний хотя бы по одному из показателей по нему проводят повторные испытания на удвоенном количестве труб, отобранных от той же партии.
Результаты повторных испытаний распространяются на всю партию.
3. МЕТОДЫ ИСПЫТАНИЙ
3.1. Контроль качества поверхности труб проводят осмотром. Глубину залегания дефектов проверяют надпиловкой или иным способом.
3.2. Контроль наружных размеров проводят штангенциркулем типа ШЦ-П по ГОСТ 166, калибром-скобой по ГОСТ 18360 и ГОСТ 18365 и трубным микрометром типа МТ по ГОСТ 6507. Контроль радиуса закругления и отклонения от прямого угла в поперечном сечении проводят по нормативной документации.
(Измененная редакция, Изм. N 1, 3).
3.3. Контроль толщины стенки проводят трубным микрометром типа МТ по ГОСТ 6507.
3.4. Контроль вогнутости сторон проводят поверочной линейкой по ГОСТ 8026 и щупом по НД или индикаторным глубиномером типа ГИ-100 по ГОСТ 7661.
(Измененная редакция, Изм. N 2).
3.5. Контроль длины проводят рулеткой по ГОСТ 7502.
3.6. Контроль кривизны проводят поверочной линейкой по ГОСТ 8026 и щупом по НД.
(Измененная редакция, Изм. N 2).
3.7. Контроль величины скручивания квадратных и прямоугольных труб проводят по нормативной документации.
3.8. Для испытания на растяжение от каждой отобранной трубы отрезают по одному образцу, для испытаний на ударный изгиб - по три образца для каждой температуры.
3.9. Химический анализ проводят по ГОСТ 22536.0 - ГОСТ 22536.5, ГОСТ 22536.7 - ГОСТ 22536.9, ГОСТ 12344, ГОСТ 12345, ГОСТ 12346, ГОСТ 12347, ГОСТ 12348, ГОСТ 12350, ГОСТ 12352, ГОСТ 12355, ГОСТ 12356, ГОСТ 12357, ГОСТ 12359 или иными методами, обеспечивающими необходимую точность определения.
3.7, 3.8, 3.9. (Измененная редакция, Изм. N 3).
3.10. Пробы для определения химсостава металла труб отбирают по ГОСТ 7565.
3.11. Испытания гидравлическим давлением труб проводят по ГОСТ 3845.
3.12. Испытания на растяжение проводят по ГОСТ 10006 на пропорциональном коротком образце.
Допускается контролировать механические свойства труб неразрушающими методами. При разногласиях в оценке качества проверка проводится по ГОСТ 10006.
Испытания на ударный изгиб проводят по ГОСТ 9454.
(Измененная редакция, Изм. N 3).
4. МАРКИРОВКА, УПАКОВКА, ТРАНСПОРТИРОВАНИЕ И ХРАНЕНИЕ
4.1. Маркировку, упаковку, транспортирование и хранение проводят по ГОСТ 10692.
Текст документа сверен по:
официальное издание
Трубы металлические и соединительные части к ним.
Часть 3. Трубы сварные. Трубы профильные: Сб. ГОСТов. -
М.: ИПК Издательство стандартов, 2001
Редакция документа с учетом
изменений и дополнений
подготовлена АО "Кодекс"
Разместите заказ
сами сделают вам предложение
