ГОСТы сталей. ГОСТ 17001.4-86
ГОСТ 17001.4-86
Группа В19
ГОСУДАРСТВЕННЫЙ СТАНДАРТ СОЮЗА ССР
ФЕРРОСИЛИКОЦИРКОНИЙ
Методы определения циркония
Ferrosilicozirconium. Methods for determination of zirconium
ОКСТУ 0809
Срок действия с 01.01.88
до 01.01.98*
_______________________________
* Ограничение срока действия снято по протоколу N 7-95
Межгосударственного Совета по стандартизации,
метрологии и сертификации (ИУС N 11, 1995 год). -
Примечание изготовителя базы данных.
РАЗРАБОТАН Министерством черной металлургии СССР
ИСПОЛНИТЕЛИ
Н.П.Поздеев, Н.А.Чирков, В.Л.Зуева, Г.И.Гусева, В.П.Глухова
ВНЕСЕН Министерством черной металлургии СССР
Член Коллегии В.Г.Антипин
УТВЕРЖДЕН И ВВЕДЕН В ДЕЙСТВИЕ Постановлением Государственного комитета СССР по стандартам от 24 ноября 1986 г. N 3512
ВЗАМЕН ГОСТ 17001.4-71
Настоящий стандарт устанавливает гравиметрический и комплексонометрический методы определения циркония в ферросиликоцирконии при массовой доле его от 15 до 70%.
1. ОБЩИЕ ТРЕБОВАНИЯ
1. ОБЩИЕ ТРЕБОВАНИЯ
1.1. Общие требования к методам анализа - по ГОСТ 13020.0-75.
1.2. Лабораторная проба должна быть приготовлена в виде тонкого порошка с размером частиц, проходящих через сито с сеткой N 016 по ГОСТ 6613-73*.
______________
* На территории Российской Федерации действует ГОСТ 6613-86. - Примечание изготовителя базы данных.
2. ГРАВИМЕТРИЧЕСКИЙ МЕТОД С ПРИМЕНЕНИЕМ МИНДАЛЬНОЙ КИСЛОТЫ
2.1. Сущность метода
Метод основан на осаждении циркония миндальной кислотой в растворе соляной кислоты с молярной концентрацией 2,5 моль/дм. Образующийся осадок миндальнокислого циркония - Zr (С
Н
СНОНСОО)
прокаливают по двуокиси циркония и взвешивают.
2.2. Реактивы и растворы
Кислота соляная по ГОСТ 3118-77 и разбавленная 1:50.
Кислота фтористоводородная по ГОСТ 10484-78.
Кислота азотная по ГОСТ 4461-77.
Кислота серная по ГОСТ 4204-77, разбавленная 1:1.
Кислота миндальная, раствор с массовой концентрацией 150 г/дм.
Промывная жидкость: 50 г миндальной кислоты растворяют в 1 дм соляной кислоты (1:50).
2.3. Проведение анализа
Навеску ферросиликоциркония массой 0,5 г при массовой доле циркония до 30% или 0,2 г при массовой доле циркония свыше 30 % помещают в платиновую чашку или чашку из стеклоуглерода, приливают 5 см воды, 5 см
азотной кислоты, добавляют по каплям фтористоводородную кислоту до растворения основной массы навески, прикрыв чашку крышкой из пластмассы, и еще 5 см
- фтористоводородной кислоты.
Чашку помещают на плиту и нагревают до полного растворения навески. Затем приливают 10 см раствора серной кислоты и выпаривают содержимое чашки досуха. Стенки чашки обмывают водой и снова выпаривают досуха.
Содержимое чашки охлаждают, приливают 30 см соляной кислоты и растворяют соли при нагревании. Полученный раствор переносят в стакан вместимостью 400 см
, стенки чашки обмывают небольшим количеством воды, собирая промывные воды в тот же стакан и нагревают до 80 °С. Если раствор мутный, то проводят нагревание до получения прозрачного раствора.
При наличии нерастворимого остатка его отфильтровывают на плотный фильтр, содержащий небольшое количество фильтробумажной массы, и промывают 10-12 раз горячей соляной кислотой (1:50), фильтр с остатком отбрасывают.
Затем при перемешивании тонкой струей прибавляют 75 см раствора миндальной кислоты. Общий объем раствора должен быть около 150 см
. Осадок миндальнокислого циркония выдерживают при 80-85 °С в течение 40 мин, периодически перемешивая. Для лучшего отстаивания раствор с осадком выдерживают до полного охлаждения при комнатной температуре (можно оставить до следующего дня).
Осадок отфильтровывают на плотный фильтр, содержащий небольшое количество беззольной фильтробумажной массы. Фильтр с осадком промывают 12-15 раз промывной жидкостью. Для проверки фильтрата на полноту осаждения циркония его оставляют на 12 ч.
При выпадении осадка его дополнительно отфильтровывают на плотный фильтр и промывают промывной жидкостью.
Фильтры с основным и дополнительным осадком объединяют, помещают во взвешенный платиновый тигель, высушивают, озоляют и прокаливают при 1000-1100 °С до постоянной массы. Тигель охлаждают и взвешиваю
т.
2.4. Обработка результатов
2.4.1. Массовую долю циркония () в процентах вычисляют по формуле
,
где - масса осадка двуокиси циркония, г;
- масса осадка в контрольном опыте, г;
0,7403 - коэффициент пересчета двуокиси циркония на цирконий; - масса навески, г.
2.4.2. Абсолютные расхождения результатов параллельных определений не должны превышать допускаемых значений, указанных в таблице
Массовая доля циркония, % | Абсолютные допускаемые расхождения, % |
От 15,0 до 30,0 включ. | 0,4 |
Св. 30,0 " 50,0 " | 0,5 |
" 50,0 " 70,0 " | 0,6 |
3. КОМПЛЕКСОНОМЕТРИЧЕСКИЙ МЕТОД
3.1. Сущность метода
Метод основан на прямом титровании цирконил-иона (ZrO) раствором трилона Б в горячем растворе соляной кислоты с массовой концентрацией 2 моль/дм
в присутствии индикатора ксиленолового оранжевого.
Влияние трехвалентного железа устраняют восстановлением его двухлористым оловом.
Алюминий и титан в количествах, содержащихся в ферросиликоцирконии, определению циркония не мешают.
3.2. Реактивы и растворы
Кислота соляная по ГОСТ 3118-77 и разбавленная 1:5, 1:50 и раствор с молярной концентрацией 6 моль/дм.
Кислота азотная по ГОСТ 4461-77.
Кислота фтористоводородная по ГОСТ 10484-78.
Кислота серная по ГОСТ 4204-77, разбавленная 1:1 и 1:4.
Кислота миндальная, раствор с массовой концентрацией 150 г/дм.
Промывная жидкость: 50 г миндальной кислоты растворяют в 1 дм соляной кислоты (1:50).
Олово двухлористое 2-водное по ГОСТ 36-78, раствор с массовой концентрацией 50 г/дм: 50 г двухлористого олова растворяют в 100 см
соляной кислоты, разбавляют водой до 1 дм
и перемешивают.
Натрий хлористый по ГОСТ 4233-77.
Индикатор ксиленоловый оранжевый.
Смесь индикаторная: 1 г ксиленолового оранжевого растирают с 50 г хлористого натрия.
Аммиак водный по ГОСТ 3760-79.
Циркония хлорокись (цирконил хлористый).
Стандартный раствор циркония: 3,533 г хлористого цирконила растворяют в 100 см соляной кислоты с молярной концентрацией 6 моль/дм
. Раствор переливают в мерную колбу вместимостью 1 дм
, доливают до метки этой же кислотой и перемешивают.
Массовая концентрация циркония равна 0,001 г/см.
Допускается стандартный раствор готовить из металлического циркония.
Массовую концентрацию циркония в стандартном растворе проверяют гравиметрическим методом. Для этого аликвотную часть стандартного раствора 50 см помещают в стакан вместимостью 400 см
, прибавляют 30 см
соляной кислоты и нагревают до 80 °С. Затем при перемешивании тонкой струей прибавляют 75 см
раствора миндальной кислоты. Общий объем раствора должен быть около 150 см
. Раствор с осадком миндально-кислого циркония выдерживают при 80-85 °С в течение 40 мин, периодически перемешивая. Для лучшего отстаивания раствор с осадком выдерживают до полного охлаждения при комнатной температуре (лучше оставить на 12 ч).
Осадок отфильтровывают на плотный фильтр, содержащий небольшое количество беззольной фильтробумажной массы, и промывают фильтр с осадком 12-15 раз промывной жидкостью.
Фильтр с осадком помещают во взвешенный тигель, высушивают, озоляют и прокаливают при 1000-1100 °С до постоянной массы, после чего тигель охлаждают и взвешивают.
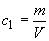
Массовую концентрацию раствора циркония, (), выраженную в г/см
, вычисляют по формуле
,
где - масса двуокиси циркония, г;
- объем стандартного раствора, взятый для определения, см
;
0,7403 - коэффициент пересчета двуокиси циркония на цирконий.
Соль динатриевая этилендиамин-N, N, N', N',-тетрауксусной кислоты 2-водная (трилон Б) по ГОСТ 10652-73, раствор с молярной концентрацией 0,025 моль/дм: 9,306 г трилона Б растворяют в 300 см
воды в присутствии нескольких капель аммиака. Раствор фильтруют в мерную колбу вместимостью 1 дм
. Фильтр промывают 2-3 раза водой и отбрасывают. Раствор доливают до метки водой и перемешивают. Раствор хранят в полиэтиленовой посуде.
Устанавливают массовую концентрацию раствора трилона Б, выраженную в г/см циркония. Для этого аликвотную часть стандартного раствора циркония 50 см
помещают в коническую колбу вместимостью 250 см
, прибавляют 10 см
серной кислоты (1:4), выпаривают до выделения обильных паров серной кислоты и охлаждают. Прибавляют 70 см
соляной кислоты (1:5), нагревают до кипения и кипятят в течение 1-2 мин. Затем прибавляют 0,02 г индикаторной смеси и горячий раствор титруют раствором трилона Б до перехода окраски из розовой в лимонно-желтую.
Массовую концентрацию раствора трилона Б (), выраженную в г/см
циркония, вычисляют по формуле
,
где - масса циркония в аликвотной части стандартного раствора, г;
- объем раствора трилона Б, израсходованный на титрование стандартного раствора циркония, см
.
3.3. Проведение анализа
3.3.1. Навеску ферросиликоциркония массой 0,2 г помещают в платиновую чашку или чашку из стеклоуглерода, приливают 5 см воды, 5 см
азотной кислоты, а затем по каплям добавляют фтористоводородную кислоту до растворения основной массы навески, прикрыв чашку крышкой из пластмассы, и еще 5 см
фтористоводородной кислоты в избыток. Чашку помещают на плиту и нагревают до полного растворения навески. Затем приливают 10 см
серной кислоты (1:1) и выпаривают до обильных паров серной кислоты в течение 10 мин.
Чашку охлаждают, стенки чашки обмывают водой и вновь выпаривают раствор до выделения паров серной кислоты в течение 10 мин. Чашку охлаждают, приливают 30-40 см воды и нагревают до растворения солей. Затем раствор переносят в коническую колбу вместимостью 250 см
. Обмывают стенки чашки водой несколько раз, собирая промывные воды в ту же колбу. Раствор кипятят в течение 1-2 мин.
После этого раствор охлаждают, осаждают цирконий аммиаком, прибавляя его до прекращения выделения осадка, и еще 5-10 см в избыток. Раствор нагревают до кипения и кипятят в течение 3-5 мин. Осадку дают отстояться, а затем отфильтровывают на фильтр средней плотности и промывают 6-8 раз горячей водой с несколькими каплями аммиака. Осадок растворяют в горячей соляной кислоте (1:5), собирая раствор в колбу вместимостью 250 см
, в которой проводилось осаждение гидроксидов аммиаком. Общий объем раствора должен быть не более 70 см
.
Раствор нагревают до полного растворения осадка гидроксидов и кипятят в течение 1-2 мин. Для восстановления трехвалентного железа прибавляют по каплям раствор двухлористого олова до исчезновения желтой окраски. Затем прибавляют 0,015-0,020 г смеси индикатора и снова нагревают раствор до кипения.
Горячий раствор медленно по каплям титруют раствором трилона Б до перехода окраски раствора из розовой в лимонно-желтую. (Перед концом титрования раствор можно подогрет
ь).
3.4. Обработка результатов
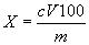
3.4.1. Массовую долю циркония () в процентах вычисляют по формуле
,
где - массовая концентрация трилона Б, выраженная в г/см
циркония;
- объем раствора трилона Б, израсходованный на титрование, см
;
- масса навески, г.
3.4.2. Абсолютные расхождения результатов параллельных определений не должны превышать допускаемых значений, указанных в таблице.
Электронный текст документа
подготовлен АО "Кодекс" и сверен по:
официальное издание
Ферросиликоцирконий. Методы химического и
физико-химического анализов.
ГОСТ 17001.4-86-ГОСТ 17001.8-86: Сб. ГОСТов. -
М.: Издательство стандартов, 1987
Разместите заказ
сами сделают вам предложение
