ГОСТы сталей. ГОСТ 16698.6-93
ГОСТ 16698.6-93
Группа В19
МЕЖГОСУДАРСТВЕННЫЙ СТАНДАРТ
МАРГАНЕЦ МЕТАЛЛИЧЕСКИЙ И МАРГАНЕЦ АЗОТИРОВАННЫЙ
Методы определения железа
Metallic manganese and nitrated manganese. Methods for determination ofiron
ОКСТУ 0809
Дата введения 1995-07-01
Предисловие
1 РАЗРАБОТАН Российской Федерацией Техническим комитетом ТК 8 "Ферросплавы"
ВНЕСЕН Техническим секретариатом Межгосударственного Совета по стандартизации, метрологии и сертификации
2 ПРИНЯТ Межгосударственным Советом по стандартизации, метрологии и сертификации 17 февраля 1993 г.
За принятие проголосовали:
Наименование государства | Наименование национального органа по стандартизации |
Республика Армения | Армгосстандарт |
Республика Беларусь | Белстандарт |
Республика Казахстан | Казглавстандарт |
Республика Молдова | Молдовастандарт |
Российская Федерация | Госстандарт России |
Туркменистан | Туркменгосстандарт |
Республика Узбекистан | Узгосстандарт |
Украина | Госстандарт Украины |
3 Постановлением Комитета Российской Федерации по стандартизации, метрологии и сертификации от 28.11.94 N 291 Межгосударственный стандарт ГОСТ 16698.6-93 Марганец металлический и марганец азотированный. Методы определения железа введен в действие непосредственно в качестве государственного стандарта Российской Федерации с 01.07.95
4. ВЗАМЕН ГОСТ 16698.6-71
1 НАЗНАЧЕНИЕ И ОБЛАСТЬ ПРИМЕНЕНИЯ
1 НАЗНАЧЕНИЕ И ОБЛАСТЬ ПРИМЕНЕНИЯ
Настоящий стандарт устанавливает методы определения железа в металлическом и азотированном марганце: фотометрические и атомно-абсорбционный при массовой доле железа от 0,1 до 3,5%; титриметрический при массовой доле железа от 0,5 до 3,5%.
2 НОРМАТИВНЫЕ ССЫЛКИ
В настоящем стандарте использованы ссылки на следующие стандарты:
ГОСТ 199-78 Натрий уксусный 3-водный. Технические условия
ГОСТ 612-75 Марганец (II) серно-кислый 5-водный. Технические условия
ГОСТ 3118-77 Кислота соляная. Технические условия
ГОСТ 3760-79 Аммиак водный. Технические условия
ГОСТ 3773-72 Аммоний хлористый. Технические условия
ГОСТ 4144-79 Калий азотнокислый. Технические условия
ГОСТ 4197-74 Натрий азотистокислый. Технические условия
ГОСТ 4204-77 Кислота серная. Технические условия
ГОСТ 4220-75 Калий двухромовокислый. Технические условия
ГОСТ 4329-77 Квасцы алюмокалиевые. Технические условия
ГОСТ 4461-77 Кислота азотная. Технические условия
ГОСТ 4478-78 Кислота сульфосалициловая 2-водная. Технические условия
ГОСТ 5456-79 Гидроксиламина гидрохлорид. Технические условия
ГОСТ 6552-80 Кислота ортофосфорная. Технические условия
ГОСТ 10484-78 Кислота фтористоводородная. Технические условия
ГОСТ 11069-74* Алюминий первичный. Марки
______________
* На территории Российской Федерации действует ГОСТ 11069-2001, здесь и далее по тексту. - Примечание изготовителя базы данных.
ГОСТ 26999-86 Марганец металлический и марганец металлический азотированный. Методы отбора и подготовки проб для химического и физикохимического анализов
ГОСТ 28473-90 Чугун, сталь, ферросплавы, хром, марганец металлические. Общие требования к методам анализа
3 ОБЩИЕ ТРЕБОВАНИЯ
3.1 Общие требования к методам анализа - по ГОСТ 28473.
3.2 Лабораторная проба должна быть приготовлена в виде порошка с максимальным размером частиц 0,16 мм по ГОСТ 26999.
4 ФОТОМЕТРИЧЕСКИЙ МЕТОД С ПРИМЕНЕНИЕМ 1,10-ФЕНАНТРОЛИНА
4.1 Сущность метода
Метод основан на образовании комплексного соединения двухвалентного железа с 1,10-фенантролином, измерении его оптической плотности на спектрофотометре при длине волны 510 нм или на фотоэлектроколориметре в диапазоне длин волн от 480 до 530 нм.
4.2 Аппаратура, реактивы и растворы
Спектрофотометр или фотоэлектроколориметр.
Кислота азотная по ГОСТ 4461 и раствор 1:2.
Кислота фтористоводородная по ГОСТ 10484.
Кислота серная по ГОСТ 4204, раствор 1:1.
Кислота соляная по ГОСТ 3118, раствор 1:1.
Аммиак водный по ГОСТ 3760, растворы 1:1 и 1:100.
Аммоний хлористый по ГОСТ 3773, раствор 200 г/дм.
Алюминий металлический по ГОСТ 11069.
Квасцы алюмокалиевые по ГОСТ 4329, раствор 50 г/дм или раствор алюминия: 0,25 г алюминия растворяют при нагревании в 10 см раствора соляной кислоты, добавляют 20-30 см
горячей воды, перемешивают, затем раствор охлаждают, переносят в мерную колбу вместимостью 100 см
, доливают до метки водой и перемешивают.
Гидроксиламин соляно-кислый по ГОСТ 5456, раствор 250 г/дм.
1,10-фенантролин, свежеприготовленный раствор 2,5 г/дм.
Натрий уксуснокислый по ГОСТ 199, раствор 500 г/дм.
Бумага индикаторная универсальная.
Железо металлическое.
Стандартные растворы железа
Раствор А: 0,1000 г железа растворяют при нагревании в 30 см соляной кислоты. Раствор охлаждают, переносят в мерную колбу вместимостью 1 дм
, доливают водой до метки и перемешивают. Массовая концентрация железа в растворе А равна 0,0001 г/см
.
Раствор Б: 10,0 см раствора А помещают в мерную колбу вместимостью 100 см
, доливают водой до метки и перемешивают. Готовят перед применением.
Массовая концентрация железа в растворе Б равна 0,00001 г/см.
4.3 Проведение анализа
4.3.1 Навеску пробы, отобранную в соответствии с таблицей 1, помещают в платиновую или стеклоуглеродистую чашку, смачивают водой, прибавляют 30 см раствора азотной кислоты, 10 см
фтористоводородной кислоты и 10 см
раствора серной кислоты. Нагревают и выпаривают содержимое чашки до выделения паров серной кислоты. После охлаждения прибавляют 10 см
соляной кислоты, соли растворяют при нагревании и приливают 50-70 см
воды. Затем содержимое чашки переносят в стакан вместимостью 300 см
, приливают 10 см
раствора алюмокалиевых квасцов (или 10 см
раствора алюминия), 20 см
раствора хлористого аммония, нагревают до кипения и осаждают гидроксиды раствором аммиака (1:1), прибавляя его до рН=5-6 (контроль по универсальной индикаторной бумаге). Затем раствор нагревают до кипения, дают осадку отстояться в течение 3-5 мин и отфильтровывают осадок на фильтр средней плотности. Стакан и осадок на фильтре промывают 5-6 раз горячим раствором аммиака (1:100) и смывают осадок водой в стакан, в котором проводилось осаждение. Остаток осадка на фильтре растворяют в 20 см
горячего раствора соляной кислоты и промывают фильтр 5-6 раз горячей водой, собирая фильтрат и промывные воды в тот же стакан. Содержимое стакана кипятят, выпаривают до объема 50-60 см
, охлаждают, переносят в мерную колбу вместимостью, указанной в таблице.1, доливают до метки водой и перемешивают. Раствор фильтруют через сухой фильтр в колбу, отбрасывая первые порции фильтрата.
Таблица 1
Массовая доля железа, % | Масса навески пробы, г | Объем мерной колбы, см | ||||
От | 0,10 | до | 0,25 | включ. | 0,5 | 100 |
Св. | 0,25 | " | 0,50 | " | 0,5 | 200 |
" | 0,50 | " | 1,0 | " | 0,25 | 200 |
" | 1,0 | " | 2,0 | " | 0,2 | 250 |
" | 2,0 | " | 3,5 | " | 0,1 | 250 |
В стакан вместимостью 100 см помещают аликвотную часть раствора, равную 5,0 см
, приливают 10 см
воды, 5 см
раствора соляно-кислого гидроксиламина и устанавливают рН раствора 5,0-5,5 (по универсальной индикаторной бумаге) раствором уксусно-кислого натрия. Затем приливают 10,0 см
раствора 1,10-фенантролина и содержимое стакана переносят в мерную колбу вместимостью 100 см
, доливают до метки водой и перемешивают. Через 30 мин измеряют оптическую плотность раствора на спектрофотометре при длине волны 510 нм или фотоэлектроколориметре в диапазоне длин волн от 480 до 530 нм. В качестве раствора сравнения применяют воду. Массу железа находят по градуировочному графику после вычитания значения оптической плотности раствора контрольного опыта из значения оптической плотности раствора пробы.
4.3.2 Построение градуировочного графика
В шесть стаканов вместимостью 100 см помещают 2,0; 3,0; 4,0; 5,0; 6,0 и 8,0 см
стандартного раствора Б, что соответствует 0,00002; 0,00003; 0,00004; 0,00005; 0,00006 и 0,00008 г железа. В седьмой стакан стандартный раствор железа не вводят. В каждый стакан приливают по 25 см
воды, 5 см
раствора солянокислого гидроксиламина и раствором уксусно-кислого натрия доводят рН раствора до 5,0-5,5. Затем приливают 10,0 см
раствора 1,10-фенантролина и далее анализ проводят, как указано в 4.3.1. Раствором сравнения служит раствор, не содержащий стандартного раствора железа. По полученным значениям оптических плотностей и соответствующим им массам железа строят градуировочный график.
4.4 Обработка результатов
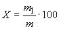
4.4.1 Массовую долю железа (), %, вычисляют по формуле
, (1)
где - масса железа, найденная по градуировочному графику, г;
- масса навески, соответствующая аликвотной части раствора пробы, г.
4.5 Нормы точности и нормативы контроля точности приведены в таблице 2.
Таблица 2 - Нормы точности и нормативы контроля точности
Допускаемые расхождения, % | |||||||||
Массовая доля марганца, % | Погрешность результатов анализа | двух средних результатов анализа, выполненных в различных условиях | двух параллельных определений | трех параллельных определений | результатов анализа стандартного образца и аттестованного значения | ||||
От | 0,1 | до | 0,2 | включ. | 0,02 | 0,03 | 0,02 | 0,03 | 0,01 |
Св. | 0,2 | " | 0,5 | " | 0,04 | 0,04 | 0,04 | 0,04 | 0,02 |
" | 0,5 | " | 1,0 | " | 0,05 | 0,06 | 0,05 | 0,06 | 0,03 |
" | 1,0 | " | 2,0 | " | 0,07 | 0,09 | 0,07 | 0,09 | 0,05 |
" | 2,0 | " | 3,5 | " | 0,11 | 0,14 | 0,11 | 0,14 | 0,07 |
5 ФОТОМЕТРИЧЕСКИЙ МЕТОД С ПРИМЕНЕНИЕМ СУЛЬФОСАЛИЦИЛОВОЙ КИСЛОТЫ
5.1 Сущность метода
Метод основан на образовании желтого комплексного соединения железа с сульфосалициловой кислотой в щелочной среде (рН 8-12) и измерении его оптической плотности на спектрофотометре при длине волны 430 нм или на фотоэлектроколориметре в диапазоне длин волн от 430 до 480 нм.
5.2 Аппаратура, peaктивы и растворы
Спектрофотометр или фотоэлектроколориметр.
Кислота азотная по ГОСТ 4461 и раствор 1:2.
Кислота фтористоводородная по ГОСТ 10484.
Кислота серная по ГОСТ 4204, раствор 1:1.
Кислота соляная по ГОСТ 3118.
Кислота сульфосалициловая 2-водная по ГОСТ 4478, раствор100 г/дм.
Аммиак водный по ГОСТ 3760 и раствор 1:1.
Гидроксиламин гидрохлррид по ГОСТ 5456, раствор 100 г/дм.
Железо металлическое.
Стандартные растворы железа по 4.2.
5.3 Проведение анализа
5.3.1 Навеску пробы, отобранную в соответствии с таблицей 3, помещают в платиновую или стеклоуглеродистую чашку, смачивают водой, прибавляют 30 см раствора азотной кислоты, 10 см
фтористоводородной кислоты и 10 см
раствора серной кислоты. Нагревают и выпаривают содержимое чашки до выделения паров серной кислоты. После охлаждения прибавляют 10 см
соляной кислоты, 50-70 см
воды и растворяют соли при нагревании. После охлаждения содержимое чашки переносят в мерную колбу вместимостью, указанной в таблице 3.
Таблица 3
Массовая доля железа, % | Масса навески, г | Объем мерной колбы, см | Аликвотная часть раствора, см | ||||
От | 0,1 | до | 0,2 | включ. | 0,5 | 100 | 10,0 |
Св. | 0,2 | " | 0,4 | " | 0,25 | 100 | 10,0 |
" | 0,4 | " | 0,8 | " | 0,25 | 100 | 5,0 |
" | 0,8 | " | 2,0 | " | 0,1 | 200 | 10,0 |
" | 2,0 | " | 3,5 | " | 0,1 | 200 | 5,0 |
Аликвотную часть раствора, в соответствии с таблицей 3, помещают в мерную колбу вместимостью 100 см, приливают 10 см
раствора соляно-кислого гидроксиламина, 30 см
раствора сульфосалициловой кислоты и добавляют аммиак до появления желтой окраски и еще в избыток 5 см
. Раствор доливают водой до метки и перемешивают. Оптическую плотность раствора измеряют на спектрофотометре при длине волны 430 нм или фотоэлектроколориметре в диапазоне длин волн от 430 до 480 нм. В качестве раствора сравнения применяют воду.
Массу железа находят по градуировочному графику после вычитания значения оптической плотности раствора контрольного опыта из значения оптической плотности раствора пробы.
5.3.2 Построение градуировочного графика
В пять мерных колб вместимостью 100 см помещают 2,5; 5,0; 7,5; 10,0 и 12,5 см
стандартного раствора Б, что соответствует 0,000025; 0,00005; 0,000075; 0,00010 и 0,000125 г железа. В шестой стакан стандартный раствор железa не вводят.
В каждую колбу приливают по 10 см раствора соляно-кислого гидроксиламина, перемешивают и далее анализ проводят, как указано в 5.3.1.
Раствором сравнения служит раствор, не содержащий стандартного раствора железа.
По полученным значениям оптических плотностей и соответствующим им массам железа строят градуировочный график.
5.4 Обработка результатов
5.4.1 Массовую долю железа () в процентах вычисляют, как указано в 4.4.1.
5.4.2 Нормы точности и нормативы контроля точности определения массовой доли железа приведены в таблице 2.
6 АТОМНО-АБСОРБЦИОННЫЙ МЕТОД
6.1 Сущность метода
Метод основан на измерении атомной абсорбции железа в пламени воздух-ацетилен при длине волны 248,4 нм. Навеску пробы предварительно растворяют в смеси кислот.
6.2 Аппаратура, реактивы и растворы
Атомно-абсорбционный спектрометр со всеми принадлежностями.
Кислота азотная по ГОСТ 4461 и растворы 1:1 и 1:2.
Кислота соляная по ГОСТ 3118.
Кислота серная по ГОСТ 4204, раствор 1:1.
Кислота фтористоводородная по ГОСТ 10484.
Калий азотно-кислый по ГОСТ 4144, раствор 100 г/дм.
Натрий азотисто-кислый по ГОСТ 4197, раствор 100 г/дм.
Марганец металлический электролитический или марганец хлористый 4-х водный по ГОСТ 612.
Раствор марганца 20 г/дм: 10 г металлического марганца растворяют в 50 см
раствора азотной кислоты (1:1) при нагревании, затем раствор кипятят до удаления оксидов азота. Охлажденный раствор переносят в мерную колбу вместимостью 500 см
, доливают водой до метки и перемешивают. Или:
36,0 г хлорида марганца растворяют в 50 см воды и 20 см
соляной кислоты при нагревании. Охлажденный раствор переносят в мерную колбу вместимостью 500 см
, доливают водой до метки и перемешивают.
Железо металлическое.
Стандартные растворы железа.
Раствор А: 0,5000 г железа растворяют в 20 см соляной кислоты, окисляют азотной кислотой, кипятят до удаления оксидов азота. Охлажденный раствор переносят в мерную колбу вместимостью 500 см
, доливают до метки водой и перемешивают.
Массовая концентрация железа в растворе А равна 0,001 г/см.
Раствор Б: 10,0 см раствора А помещают в мерную колбу вместимостью 100 см
, доливают до метки и перемешивают.
Массовая концентрация железа в растворе Б равна 0,0001 г/см.
6.3 Проведение анализа
6.3.1 Навеску пробы, отобранную в соответствии с таблицей 4, помещают в стакан вместимостью 250 см, смачивают водой, приливают 10 см
раствора азотной кислоты 1:2, 5 см
соляной кислоты и нагревают до полного растворения навески. Раствор кипятят до удаления оксидов азота. Охлажденный раствор переносят в мерную колбу вместимостью 100 см
, доливают водой до метки и перемешивают.
Таблица 4
Массовая доля железа, % | Масса навески пробы, г | Масса железа в атомизируемом растворе, мг | Стандартный раствор | Объем стандартного раствора, см |
От 0,1 до 0,5 включ. | 0,5 | 0,5-2,5 | Б | 5-25 |
Св. 0,5 " 3,5 " | 0,2 | 1-7 | А | 1-7 |
Или:
Навеску пробы, отобранную в соответствии с таблицей 4, помещают во фторопластовый стакан вместимостью 100 см или стеклоуглеродистую чашку, смачивают водой и приливают 10 см
раствора азотной кислоты 1:2, затем приливают 5 см
фтористоводородной кислоты, 10 см
раствора серной кислоты и выпаривают до выделения паров серной кислоты. Соли растворяют при нагревании в 30 см
воды. В случае появления окраски окисленного марганца, добавляют несколько капель раствора нитрата калия или натрия и кипятят раствор для удаления оксидов азота. Охлажденный раствор переносят в мерную колбу вместимостью 100 см
, доливают водой до метки и перемешивают.
6.3.2 В растворах, приготовленных по 6.3.1, измеряют атомную абсорбцию железа. Измерения проводят последовательно в растворах контрольного опыта, анализируемых проб, стандартных растворах для построения градуировочного графика, растворах стандартного образца при длине волны 248,4 нм в пламени воздух-ацетилен.
После вычитания значения абсорбции раствора контрольного опыта из значения абсорбции раствора пробы массовую долю железа находят методом градуировочного графика или методом сравнения со стандартным образцом или методом добавок.
6.3.2.1 При применении метода градуировочного графика в конические колбы вместимостью 100 см помещают стандартный раствор железа, в соответствии с таблицей 4. В одну колбу стандартный раствор не помещают. Раствор этой колбы служит контрольным опытом. Во все колбы приливают раствор марганца в количестве, соответствующем его содержанию в пробе, 10 см
раствора азотной кислоты (1:2), 5 см
соляной кислоты или 10 см
раствора серной кислоты и далее проводят анализ, как указано в 6.3.1 и 6.3.2.
Градуировочный график строят по результатам, полученным после вычитания значения абсорбции раствора, не содержащего стандартный раствор железа, из значений абсорбции растворов, содержащих стандартный раствор, и соответствующим им массам железа.
6.3.2.2 При применении метода сравнения со стандартным образцом навеску пробы проводят через все стадии анализа, как указано в 6.3.1 и 6.3.2.
6.3.2.3 При применении метода добавок к навеске пробы добавляют такое количество стандартного раствора железа, чтобы значение абсорбции раствора пробы с добавлением стандартного раствора составляло не более двукратного значения абсорбции раствора пробы и находилось в линейном диапазоне градуировочного графика, далее анализ проводят по 6.3.1 и 6.3.2.
6.4 Обработка результатов
6.4.1 Массовую долю железа , %, определяемую методом градуировочного графика, вычисляют по формуле
, (2)
где - масса железа, найденная по градуировочному графику, г;
- масса навески пробы, г.
6.4.2 Массовую долю железа , %, определяемую методом сравнения, вычисляют по формуле
, (3)
где - аттестованное значение массовой доли железа в стандартном образце, %;
- значение атомной абсорбции раствора пробы;
- значение атомной абсорбции раствора контрольного опыта;
- значение атомной абсорбции раствора стандартного образца.
6.4.3 Массовую долю железа , %, определяемую методом добавок, вычисляют по формуле
, (4)
где - масса железа, добавленная к навеске пробы, г;
- значение атомной абсорбции раствора пробы без добавления стандартного раствора;
- значение атомной абсорбции раствора контрольного опыта;
- значение атомной абсорбции раствора пробы с добавлением стандартного раствора;
- масса навески пробы, г.
6.4.4 Нормы точности и нормативы контроля точности определения массовой доли железа приведены в таблице 2.
7 ТИТРИМЕТРИЧЕСКИЙ МЕТОД
7.1 Сущность метода
Метод основан на восстановлении трехвалентного железа раствором двухлористого олова с последующим титрованием двухвалентного железа двухромовокислым калием с индикатором дифениламиносульфонатом натрия.
7.2 Реактивы и растворы
Кислота азотная по ГОСТ 4461, раствор 1:2.
Кислота фтористоводородная по ГОСТ 10484.
Кислота соляная по ГОСТ 3118.
Кислота ортофосфорная по ГОСТ 6552.
Кислота серная по ГОСТ 4204, раствор 1:1.
Смесь кислот: к 750 см холодной воды осторожно добавляют 250 см
серной кислоты и после охлаждения раствора приливают 50 см
фосфорной кислоты.
Олово двухлористое 2-водное, раствор 100 г/дм: 10 г двухлористого олова растворяют в 20 см
соляной кислоты и доводят водой до объема 100 см
.
Ртуть двухлористая, раствор 50 г/дм.
Дифениламин-4 - сульфокислоты натриевая соль (дифениламиносульфонат натрия), индикатор, раствор 5 г/дм.
Марганец хлористый 4-х водный по ГОСТ 612.
Раствор марганца 20 г/дм: 36 г хлорида марганца растворяют в 50 см
воды и 20 см
соляной кислоты при нагревании. Охлажденный раствор переносят в мерную колбу вместимостью 500 см
, доливают водой до метки и перемешивают.
Железо металлическое.
Стандартный раствор железа.
Раствор А: 0,5000 г железа растворяют в 20 см соляной кислоты, окисляют азотной кислотой, кипятят до удаления оксидов азота. Охлажденный раствор переносят в мерную колбу вместимостью 500 см
, доливают до метки водой и перемешивают.
Массовая концентрация железа в растворе А равна 0,001 г/см.
Калий двухромово-кислый по ГОСТ 4220, перекристаллизованный: 100 г двухромово-кислого калия растворяют в 150 см воды и нагревают до кипения. Энергично перемешивая, раствор выливают тонкой струей в фарфоровую чашку. Охлаждают раствор ледяной водой и выпавшие кристаллы отфильтровывают с отсасыванием на воронке с пористой стеклянной пластинкой, сушат 2-3 ч при 100-105 °С, растирают в порошок и окончательно высушивают при 160-180 °С в течение 10-12 ч.
Калий двухромово-кислый, раствор (
K
Cr
O
)=0,025 моль/дм
: 1,23 г калия двухромово-кислого (перекристаллизованного) растворяют в воде в мерной колбе вместимостью 1 дм
, доливают водой до метки и перемешивают.
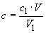
Массовую концентрацию раствора двухромово-кислого калия устанавливают по стандартному образцу марганца металлического, проведенному через все стадии анализа, или по стандартному раствору железа, проведенному через все стадии анализа с добавлением раствора хлористого марганца. Количество добавляемого железа и марганца приблизительно должно соответствовать содержанию железа и марганца в анализируемой пробе.
Массовую концентрацию раствора двухромово-кислого калия , г/см
железа, вычисляют по формуле
, (5)
где - массовая концентрация стандартного раствора железа, г/см
;
- объем стандартного раствора железа, взятый для титрования, см
;
- объем раствора двухромово-кислого калия, израсходованный на титрование, см
.
7.3 Проведение анализа
7.3.1 Навеску пробы массой 1,0000 г помещают в стеклоуглеродистую чашку, смачивают водой, прибавляют 30 см раствора азотной кислоты, 10 см
фтористоводородной кислоты и 10 см
раствора серной кислоты. Нагревают и выпаривают содержимое чашки до выделения паров серной кислоты. После охлаждения прибавляют 10 см
соляной кислоты, 15-20 см
горячей воды, растворяют соли при нагревании и переносят в коническую колбу вместимостью 500 см
. Нагревают раствор до 70-80 °С, приливают раствор хлористого олова по каплям до обесцвечивания и 1-2 капли в избыток. К обесцвеченному раствору приливают 5 см
раствора двухлористой ртути, 150 см
воды и раствор охлаждают. После охлаждения к раствору прибавляют 25 см
смеси кислот, 8-10 капель раствора дифениламиносульфоната натрия и титруют раствором двухромово-кислого калия до перехода окраски раствора из зеленой в фиолетовую.
7.4 Обработка результатов
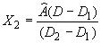
7.4.1 Массовую долю железа , %, вычисляют по формуле
, (6)
где - массовая концентрация раствора двухромово-кислого калия, выраженная в г/см
железа;
- объем раствора двухромово-кислого калия, израсходованный на титрование раствора пробы, см
;
- объем раствора двухромово-кислого калия, израсходованный на титрование раствора контрольного опыта, см
;
- масса навески пробы, г.
Электронный текст документа
подготовлен ЗАО "Кодекс" и сверен по:
официальное издание
М.: Издательство стандартов, 1995
Разместите заказ
сами сделают вам предложение
