ГОСТы сталей. ГОСТ 16698.4-93
ГОСТ 16698.4-93
Группа В19
МЕЖГОСУДАРСТВЕННЫЙ СТАНДАРТ
МАРГАНЕЦ МЕТАЛЛИЧЕСКИЙ И МАРГАНЕЦ АЗОТИРОВАННЫЙ
Методы определения фосфора
Metallic manganese and nitrated manganese.
Methods for determination of phosphorus
ОКСТУ 0809
Дата введения 1995-07-01
Предисловие
1 РАЗРАБОТАН Российской Федерацией Техническим комитетом ТК 8 "Ферросплавы"
ВНЕСЕН Техническим секретариатом Межгосударственного Совета по стандартизации, метрологии и сертификации
2 ПРИНЯТ Межгосударственным Советом по стандартизации, метрологии и сертификации 17 февраля 1993 г.
За принятие проголосовали:
Наименование государства | Наименование национального органа по стандартизации |
Республика Армения | Армгосстандарт |
Республика Беларусь | Белстандарт |
Республика Казахстан | Казглавстандарт |
Республика Молдова | Молдовастандарт |
Российская Федерация | Госстандарт России |
Туркменистан | Туркменгосстандарт |
Республика Узбекистан | Узгосстандарт |
Украина | Госстандарт Украины |
3 Постановлением Комитета Российской Федерации по стандартизации, метрологии и сертификации от 28.11.94 N 289 Межгосударственный стандарт ГОСТ 16698.4-93 введен в действие непосредственно в качестве государственного стандарта Российской Федерации с 01.07.95
4 ВЗАМЕН ГОСТ 16698.4-71
1 НАЗНАЧЕНИЕ И ОБЛАСТЬ ПРИМЕНЕНИЯ
1 НАЗНАЧЕНИЕ И ОБЛАСТЬ ПРИМЕНЕНИЯ
Настоящий стандарт устанавливает фотометрические методы определения фосфора при массовой доле его в металлическом и азотированном марганце от 0,002 до 0,09%.
2 НОРМАТИВНЫЕ ССЫЛКИ
В настоящем стандарте использованы ссылки на следующие стандарты:
ГОСТ 3118-77 Кислота соляная. Технические условия
ГОСТ 3760-79 Аммиак водный. Технические условия
ГОСТ 3765-78 Аммоний молибденовокислый. Технические условия
ГОСТ 3773-72 Аммоний хлористый. Технические условия
ГОСТ 4165-78 Медь (II) сернокислая 5-водная. Технические условия
ГОСТ 4198-75 Калий фосфорнокислый однозамещенный. Технические условия
ГОСТ 4204-77 Кислота серная. Технические условия
ГОСТ 4461-77 Кислота азотная. Технические условия
ГОСТ 5456-79 Гидроксиламина гидрохлорид. Технические условия
ГОСТ 5962-67* Спирт этиловый ректификованный. Технические условия
_______________
* На территории Российской Федерации действует ГОСТ Р 51652-2000, здесь и далее по тексту. - Примечание изготовителя базы данных.
ГОСТ 6344-73 Тиомочевина. Технические условия
ГОСТ 10484-78 Кислота фтористоводородная. Технические условия
ГОСТ 18300-87 Спирт этиловый ректификованный технический. Технические условия
ГОСТ 26999-86 Марганец металлический и марганец металлический азотированный. Методы отбора и подготовки проб для химического и физикохимического анализов
ГОСТ 28473-90 Чугун, сталь, ферросплавы, хром, марганец металлические. Общие методы к методам анализа
3 ОБЩИЕ ТРЕБОВАНИЯ
3.1 Общие требования к методам анализа - по ГОСТ 28473.
3.2 Лабораторная проба должна быть приготовлена в виде порошка с максимальным размером частиц 0,16 мм по ГОСТ 26999.
4 ФОТОМЕТРИЧЕСКИЙ МЕТОД С ПРИМЕНЕНИЕМ АСКОРБИНОВОЙ КИСЛОТЫ
4.1 Сущность метода
Метод основан на образовании фосфорно-молибденовой гетерополикислоты с последующим восстановлением ее аскорбиновой кислотой в присутствии сурьмяно-винно-кислого калия до комплексного соединения, окрашенного в синий цвет, и измерении его оптической плотности.
4.2 Аппаратура, реактивы и растворы
Спектрофотометр или фотоэлектроколориметр.
Кислота азотная по ГОСТ 4461, раствор 1:2.
Кислота фтористоводородная по ГОСТ 10484.
Кислота хлорная плотностью 1,5 г/см.
Кислота соляная по ГОСТ 3118.
Кислота аскорбиновая, свежеприготовленный раствор 20 г/дм.
Кислота серная по ГОСТ 4204.
Спирт этиловый ректификованный по ГОСТ 5962 или ГОСТ 18300.
Аммоний молибденовокислый по ГОСТ 3765, свежеприготовленный раствор: 1,74 г молибденово-кислого аммония растворяют в 1000 см воды, приливают 20 см
серной кислоты, охлаждают, доливают водой до объема 250 см
и перемешивают.
При необходимости молибденово-кислый аммоний перекристаллизовывают: 250 г молибденово-кислого аммония растворяют в 400 см воды при нагревании до 80 °С. Раствор фильтруют через плотный фильтр, охлаждают, приливают 300 см
этилового спирта, перемешивают и через 1 час осадок под вакуумом отфильтровывают на фильтр средней плотности, помещенный в воронку Бюхнера. Осадок промывают 2-3 раза этиловым спиртом порциями по 20-30 см
и высушивают на воздухе.
Калий сурьмяно-винно-кислый, раствор 3 г/дм.
Калий фосфорно-кислый однозамещенный по ГОСТ 4198.
Стандартные растворы фосфора
Раствор А: 0,4394 г фосфорно-кислого калия, предварительно высушенного при температуре (105±5) °С, растворяют в воде, переносят в мерную колбу вместимостью 1 дм, доливают до метки водой и перемешивают.
Раствор хранят в полиэтиленовой посуде.
Массовая концентрация фосфора в растворе Б равна 0,0001 г/см.
Раствор Б: 10,0 см стандартного раствора А помещают в мерную колбу вместимостью 100 см
, доливают до метки водой и пеперемешивают; готовят перед применением.
Массовая концентрация фосфора в растворе Б равна 0,0000
1 г/см.
4.3 Проведение анализа
4.3.1 Навеску пробы массой 1 г (при массовой доле фосфора до 0,01%) и 0,5 г (при массовой доле фосфора свыше 0,01%) помещают в платиновую или стеклоуглеродистую чашку, смачивают водой, прибавляют 30 см раствора азотной кислоты, 10 см
фтористо-водородной кислоты и 10 см
хлорной кислоты. Нагревают и выпаривают содержимое чашки досуха. После охлаждения прибавляют 20 см
соляной кислоты и снова выпаривают досуха. Затем прибавляют 10 см
соляной кислоты, 40-50 см
воды и нагревают до растворения солей. После охлаждения раствор переносят в мерную колбу вместимостью 100 см
, доливают до метки водой, перемешивают и фильтруют через плотный фильтр в сухую колбу, отбрасывая первые порции фильтрата
.
4.3.2 В коническую колбу вместимостью 100 см помещают аликвотную часть раствора 10-25 см
, содержащую 5-50 мкг фосфора, прибавляют 1 см
хлорной кислоты и выпаривают до начала выделения паров хлорной кислоты. Охлаждают, приливают 50 см
воды, кипятят содержимое колбы, снова охлаждают, затем прибавляют 5,0 см
раствора молибденово-кислого аммония, 5,0 см
раствора аскорбиновой кислоты и 1,0 см
раствора сурьмяно-винно-кислого калия. После прибавления каждого реактива раствор перемешивают, затем раствор переносят в мерную колбу вместимостью 100 см
, доливают до метки водой и перемешивают. Через 15 мин измеряют оптическую плотность раствора на спектрофотометре при длине волны 830 нм или фотоэлектроколориметре в диапазоне длин волн от 680 до 750 нм или 830-920 нм. В качестве раствора сравнения применяют воду.
Массу фосфора находят по градуировочному графику после вычитания значения оптической плотности раствора контрольного опыта из значения оптической плотности раствора проб
ы.
4.3.3 Построение градуировочного графика
В шесть стаканов вместимостью по 100 см отбирают 0,5; 1,0; 2,0; 3,0; 4,0; 5,0 см
стандартного раствора Б, что соответствует 0,000005; 0,00001; 0,00002; 0,00003; 0,00004 и 0,00005 г фосфора. В седьмой стакан стандартный раствор фосфора не вводят. В каждый стакан прибавляют 1 см
хлорной кислоты и далее анализ проводят, как указано в 4.3.2. Раствором сравнения служит раствор, не содержащий стандартного раствора фосфора.
По полученным значениям оптических плотностей растворов и соответствующим им массам фосфора строят градуировочный график.
4.4 Обработка результатов
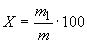
4.4.1 Массовую долю фосфора , %, вычисляют по формуле
, (1)
где - масса фосфора, найденная по градуировочному графику, г;
- масса навески, соответствующая аликвотной части раствора пробы, г.
4.4.2 Нормы точности и нормативы контроля точностей приведены в таблице 1.
Таблица 1 - Нормы точности и нормативы контроля точности
Допускаемые расхождения, % | |||||
Массовая доля марганца, % | Погрешность результатов анализа | двух средних результатов анализа, выполненных | двух парал- | трех | результатов анализа стандартного образца и аттестованного значения |
От 0,002 до 0,005 включ. | 0,002 | 0,002 | 0,002 | 0,002 | 0,001 |
Св. 0,005 " 0,01 " | 0,003 | 0,003 | 0,003 | 0,003 | 0,002 |
" 0,01 " 0,02 " | 0,004 | 0,005 | 0,004 | 0,005 | 0,003 |
" 0,02 " 0,05 " | 0,006 | 0,007 | 0,006 | 0,008 | 0,004 |
" 0,05 " 0,09 " | 0,008 | 0,011 | 0,009 | 0,011 | 0,006 |
5 ФОТОМЕТРИЧЕСКИЙ МЕТОД С ПРИМЕНЕНИЕМ ТИОМОЧЕВИНЫ ИЛИ ИОНОВ ДВУХВАЛЕНТНОГО ЖЕЛЕЗА (при массовой доле фосфора от 0,01 до 0,9%)
5.1 Сущность метода
Метод основан на реакции образования желтой фосфорно-молибденовой гетерополикислоты с последующим восстановлением ее в соляно-кислой среде тиомочевиной или ионами двухвалентного железа в присутствии соляно-кислого гидроксиламина до соединения, окрашенного в синий цвет, и измерении его оптической плотности.
5.2 Аппаратура, реактивы и растворы
Спектрофотометр или фотоэлектроколориметр.
Кислота азотная по ГОСТ 4461 и раствор 1:2.
Кислота хлорная плотностью 1,5 г/см.
Кислота фтористоводородная по ГОСТ 10484.
Кислота соляная по ГОСТ 3118 и раствор плотностью 1,105 г/см: 560 см
соляной кислоты разбавляют водой до 1 дм
.
Аммиак водный по ГОСТ 3760 и раствор 1:1.
Аммоний хлористый по ГОСТ 3773, раствор 25 г/дм.
Буферный раствор: к 1 дм раствора хлористого аммония прибавляют 100 см
соляной кислоты и перемешивают.
Тиомочевина по ГОСТ 6344, раствор 80 г/дм.
Медь (II) серно-кислая 5-водная по ГОСТ 4165, раствор 10 г/дм.
Восстановительная смесь: 150 см раствора серно-кислой меди смешивают с 700 см
раствора тиомочевины. Смесь выдерживают в течение 24 ч и отфильтровывают.
Гидроксиламин соляно-кислый по ГОСТ 5456, раствор 200 г/дм.
Аммоний молибденово-кислый по ГОСТ 3765, перекристаллизованный из спиртового раствора, как указано в 4.2, свежеприготовленный раствор 50 г/дм. Раствор хранят в полиэтиленовой посуде.
Спирт этиловый ректификованный по ГОСТ 5962 или ГОСТ 18300.
Квасцы железоаммонийные, раствор: 173 г реактива растворяют при слабом нагревании в 500 см воды, содержащей 10 см
соляной кислоты, фильтруют и разбавляют водой до 1 дм
. Массовая концентрация железа в растворе равна 0,02 г/дм
.
Калий фосфорно-кислый однозамещенный по ГОСТ 4198.
Стандартные растворы фосфора готовят, как ука
зано в 4.2.
5.3 Проведение анализа
5.3.1 Навеску пробы массой 1 г (при массовой доле фосфора до 0,02%) и 0,5 г (при массовой доле фосфора свыше 0,02%) помещают в платиновую или стеклоуглеродистую чашку, смачивают водой и далее поступают, как указано в 4.3.1.
Полученный раствор используют для определения фосфора по одному из вариантов, указанных в 5.3.2 или 5.3.3.
5.3.2. Восстановление фосфорно-молибденовой гетерополикислоты тиомочевиной
5.3.2.1 В мерную колбу вместимостью 100 см помещают аликвотную часть раствора 10-25 см
, содержащую 10-50 мкг фосфора, приливают 50 см
буферного раствора, 10 см
восстановительной смеси и выдерживают до обесцвечивания раствора. Затем по каплям, при непрерывном перемешивании, прибавляют 8,0 см
раствора молибденово-кислого аммония и перемешивают в течение 1-2 мин. После этого разбавляют раствор водой до метки и перемешивают.
Через 15 мин измеряют оптическую плотность раствора на спектрофотометре при длине волны 830 нм или фотоэлектроколориметре в диапазоне длин волн от 680 до 880 нм.
В качестве раствора сравнения применяют воду.
Массу фосфора находят по градуировочному графику после вычитания значения оптической плотности раствора контрольного опыта из значения оптической плотности раствора пробы или методом сравнения со стандартным образцом с химическим составом, соответствующим требованиям настоящего стандарта и проведенным через все стадии анализа.
5.3.2.2 Построение градуировочного графика
В пять из шести мерных колб вместимостью 100 см отбирают 1,0; 2,0; 3,0; 4,0 и 5,0 см
стандартного раствора Б, что соответствует 0,00001; 0,00002; 0,00003; 0,00004 и 0,00005 г фосфора. В шестую колбу стандартный раствор фосфора не вводят.
В каждую колбу прибавляют 50 см буферного раствора, 10 см
восстановительной смеси и далее анализ проводят, как указано в 5.3.2.1.
В качестве раствора сравнения применяют раствор, не содержащий стандартного раствора фосфора.
По полученным значениям оптических плотностей растворов и соответствующим им массам фосфора строят градуировочный график.
5.3.3 Восстановление фосфорно-молибденовой гетерополикислоты ионами двухвалентного железа в присутствии соляно-кислого гидроксиламина
5.3.3.1 В коническую колбу вместимостью 100 см помещают аликвотную часть 10-25 см
, содержащую 10-50 мкг фосфора, прибавляют 3,0 см
раствора железоаммонийных квасцов и раствор аммиака до появления осадка гидроксида железа, который растворяют в растворе соляной кислоты плотностью 1,105 г/см
, избегая избытка. Прибавляют воду до объема 60 см
, затем прибавляют 10 см
раствора соляно-кислого гидроксиламина, выдерживают при слабом нагревании до обесцвечивания раствора, затем нагревают до кипения.
Если раствор сохраняет желтую окраску, добавляют 1-2 капли раствора аммиака. Бесцветный раствор охлаждают, прибавляют 10 см раствора соляной кислоты плотностью 1,105 г/см
. Затем по каплям при непрерывном перемешивании прибавляют 8,0 см
раствора молибденово-кислого аммония и перемешивают в течение 1-2 мин.
Раствор переносят в мерную колбу вместимостью 100 см, доливают водой до метки и перемешивают.
Через 15 мин измеряют оптическую плотность раствора на спектрофотометре при длине волны 720 нм или фотоэлектроколориметре в диапазоне длин волн от 680 до 900 нм.
В качестве раствора сравнения применяют воду.
Массу фосфора находят по градуировочному графику после вычитания значения оптической плотности раствора контрольного опыта из значения оптической плотности раствора пробы или методом сравнения со стандартным образцом с химическим составом, соответствующим требованиям настоящего стандарта и проведенным через все стадии анал
иза.
5.3.3.2 Построение градуировочного графика
В пять из шести мерных колб вместимостью 100 см отбирают 1,0; 2,0; 3,0; 4,0 и 5,0 см
стандартного раствора Б, что соответствует 0,00001; 0,00002; 0,00003; 0,00004 и 0,00005 г фосфора. В шестую колбу стандартный раствор фосфора не вводят.
В каждую колбу прибавляют по 3 см раствора железо-аммонийных квасцов, 20 см
воды и по каплям раствор аммиака до начала выпадания осадка гидроксида железа, который затем растворяют, добавляя по каплям раствор соляной кислоты плотностью 1,105 г/см
, избегая избытка. Содержимое колб разбавляют водой до 60 см
и далее анализ продолжают, как указано в 5.3.3.1.
В качестве раствора сравнения применяют раствор, не содержащий стандартного раствора фосфора.
По полученным значениям оптических плотностей растворов и соответствующим им массам фосфора строят градуировочный график.
5.3.4 Обработка результатов
5.3.4.1 Массовую долю фосфора , %, определяемую методом градуировочного графика, вычисляют по формуле
, (2)
где - масса фосфора, найденная по градуировочному графику, г;
- масса навески, соответствующая аликвотной части раствора пробы, г.
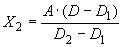
5.3.4.2 Массовую долю фосфора , %, определяемую методом сравнения, вычисляют по формуле
, (3)
где - аттестованное значение массовой доли фосфора в стандартном образце, %;
- значение оптической плотности раствора пробы;
- значение оптической плотности раствора контрольного опыта;
- значение оптической плотности раствора стандартного образца.
Электронный текст документа
подготовлен ЗАО "Кодекс" и сверен по:
официальное издание
М.: Издательство стандартов, 1995
Разместите заказ
сами сделают вам предложение
