ГОСТы сталей. ГОСТ 16698.13-93
ГОСТ 16698.13-93
Группа В19
МЕЖГОСУДАРСТВЕННЫЙ СТАНДАРТ
МАРГАНЕЦ МЕТАЛЛИЧЕСКИЙ И МАРГАНЕЦ АЗОТИРОВАННЫЙ
Метод определения азота
Metallic manganese and nitrated manganese. Method for determination of nitrogen
ОКСТУ 0809
Дата введения 1995-07-01
Предисловие
1 РАЗРАБОТАН Российской Федерацией Техническим комитетом ТК 8 "Ферросплавы"
ВНЕСЕН Техническим секретариатом Межгосударственного Совета по стандартизации, метрологии и сертификации
2 ПРИНЯТ Межгосударственным Советом по стандартизации, метрологии и сертификации
Наименование государства | Национальный орган по стандартизации |
Республика Армения | Армгосстандарт |
Республика Беларусь | Белстандарт |
Республика Казахстан | Казглавстандарт |
Республика Молдова | Молдовастандарт |
Российская Федерация | Госстандарт России |
Туркменистан | Туркменстандарт |
Республика Узбекистан | Узгосстандарт |
Украина | Госстандарт Украины |
3 Постановлением Комитета Российской Федерации по стандартизации, метрологии и сертификации от 28.11.94 N 292 Межгосударственный стандарт ГОСТ 16698.13-93 "Марганец металлический и марганец азотированный. Метод определения азота" введен в действие непосредственно в качестве государственного стандарта Российской Федерации с 01.07.95.
4 ВЗАМЕН ГОСТ 16698.13-84
1 НАЗНАЧЕНИЕ И ОБЛАСТЬ ПРИМЕНЕНИЯ
1 НАЗНАЧЕНИЕ И ОБЛАСТЬ ПРИМЕНЕНИЯ
Настоящий стандарт устанавливает титриметрический метод определения азота при массовой доле его в азотированном марганце от 1 до 8%.
Метод основан на растворении навески в неокисляющих кислотах, в результате чего в растворе образуются амойные* соли. Азот отгоняют в виде аммиака дистилляцией из щелочного раствора, поглощая аммиак раствором серной кислоты в присутствии смеси индикаторов.
____________
* Соответствует оригиналу. - Примечание изготовителя базы данных.
2 НОРМАТИВНЫЕ ССЫЛКИ
В настоящем стандарте использованы ссылки на следующие стандарты:
ГОСТ 83-79 Натрий углекислый. Технические условия
ГОСТ 4145-74 Калий сернокислый. Технические условия
ГОСТ 4199-76 Натрий тетраборнокислый 10-водный. Технические условия
ГОСТ 4232-74 Калий йодистый. Технические условия
ГОСТ 4328-77 Натрия гидроокись. Технические условия
ГОСТ 5962-67* Спирт этиловый ректификованный. Технические условия
________________
* На территории Российской Федерации действует ГОСТ Р 51652-2000. Здесь и далее. - Примечание изготовителя базы данных.
ГОСТ 6552-80 Кислота ортофосфорная. Технические условия
ГОСТ 9656-75 Кислота борная. Технические условия
ГОСТ 14261-77 Кислота соляная особой чистоты. Технические условия
ГОСТ 14262-78 Кислота серная особой чистоты. Технические условия
ГОСТ 18300-87 Спирт этиловый ректификованный технический. Технические условия
ГОСТ 18704-78 Кислота борная. Технические условия
ГОСТ 20490-75 Калий марганцовокислый. Технические условия
ГОСТ 24363-80 Калия гидроокись. Технические условия
ГОСТ 26999-86 Марганец металлический и марганец азотированный. Методы отбора и подготовки проб для химического и физико-химического анализов
ГОСТ 28473-90 Чугун, сталь, ферросплавы, хром, марганец металлические. Общие требования к методам анализа
3 ОБЩИЕ ТРЕБОВАНИЯ
3.1 Общие требования к методу анализа - по ГОСТ 28473.
3.2 Лабораторная проба должна быть приготовлена в виде порошка с максимальным размером частиц 0,16 мм по ГОСТ 26999.
4 АППАРАТУРА, РЕАКТИВЫ И РАСТВОРЫ
Установка для дистилляции аммиака с воздушной аспирацией (чертеж 1).

1 - промывные сосуды, заполненные серной кислотой и водой; 2 - электроплитка; 3 - стеклянная трубка
диаметром 6-7 мм; 4 - реакционная колба из термостойкого стекла вместимостью 300 см;
5 - капельная воронка с краном; 6 - дефлегматор; 7 - холодильник;
8 - барботер; 9 - сосуд для поглощения аммиака
Чертеж 1
Вода бидистиллированная или деионизированная, используемая в ходе анализа и для приготовления растворов. Для перегонки воды применяют установку, представленную на чертеже 2 или другого типа. При вторичной перегонке к 5 дм дистиллированной воды добавляют 10 см
раствора серной кислоты (1:4) и несколько кристаллов марганцово-кислого калия до получения устойчивой окраски раствора в течение всего времени перегонки.

1 - электроплитка; 2 - дистилляционная колба; 3 - холодильник; 4 - колба-приемник;
5 - предохранительная воронка
Чертеж 2
Очищенную воду проверяют на присутствие в ней ионов аммония реактивом Несслера: к 100 см полученной воды приливают 0,5 см
раствора гидроксида калия и 1 см
реактива Несслера. Если вода не окрасилась в желтый цвет, она может быть использована для анализа. Воду хранят в стеклянной бутылке с притертой пробкой.
Кислота соляная по ГОСТ 14261 и раствор 1:1.
Кислота борная по ГОСТ 9656 или по ГОСТ 18704, раствор 20 г/дм.
Кислота ортофосфорная по ГОСТ 6552.
Кислота серная по ГОСТ 14262, раствор 1:4 и раствор (1/2H
SO
)=0,02 моль/дм
, приготовленный из фиксанала.
Массовую концентрацию раствора серной кислоты устанавливают по тетраборнокислому натрию или углекислому натрию.
Массовую концентрацию раствора серной кислоты по тетраборнокислому натрию устанавливают следующим образом: 0,1000 г реактива растворяют в 150 см воды, прибавляют несколько капель смеси индикаторов и титруют раствором серной кислоты до перехода окраски из зеленой в фиолетовую.
Массовую концентрацию раствора серной кислоты по углекислому натрию устанавливают следующим образом: 0,1000 г реактива растворяют в 100 см воды, переносят в мерную колбу вместимостью 250 см
, доливают водой до метки и перемешивают. Отбирают аликвотную часть, равную 50,0 см
, помещают в коническую колбу вместимостью 250 см
, приливают 100 см
воды, добавляют несколько капель смеси индикаторов и титруют до перехода окраски из зеленой в фиолетовую.
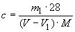
Массовую концентрацию раствора серной кислоты , г/см
азота, вычисляют по формуле
, (1)
где - масса титруемой навески тетраборнокислого или углекислого натрия;
- молекулярная масса азота;
- объем раствора серной кислоты, израсходованный на титрование, см
;
- объем раствора серной кислоты, израсходованный на титрование раствора контрольного опыта, см
;
- молекулярная масса тетраборнокислого натрия или углекислого натрия.
Смесь кислот: к 300 см воды приливают 600 см
ортофосфорной кислоты, перемешивают и приливают 150 см
серной кислоты.
Натрия гидроокись по ГОСТ 4328, раствор 400 г/дм: в колбу вместимостью 5 дм
помещают 1 кг гидроксида натрия, 10-20 г цинка, 2-3 г медной проволоки и приливают 2,7 дм
воды. Раствор кипятят до достижения объема 2,5 дм
. Раствор хранят в закрытом полиэтиленовом сосуде.
Калия гидроокись по ГОСТ 24363, раствор 150 г/дм. Раствор хранят в полиэтиленовом сосуде.
Натрий углекислый по ГОСТ 83, высушенный в течение 1 ч при температуре 270-300 °С.
Натрий тетраборнокислый 10-водный по ГОСТ 4199, перекристаллизованный: 150 г реактива растворяют при температуре не выше 60 °С в 300 см воды, полученный раствор фильтруют через складчатый фильтр в фарфоровую чашку, охлаждаемую льдом или водой до 5 °С. Непрерывно помешивая фильтрат стеклянной палочкой, получают препарат в виде тонкой кристаллической массы.
Кристаллы отсасывают на воронку Бюхнера, промывают небольшим количеством холодной воды, затем высушивают на воздухе 2-3 дня. Хранят в закрытой посуде.
Калий марганцовокислый по ГОСТ 20490.
Спирт этиловый ректификованный по ГОСТ 5962 или по ГОСТ 18300.
Метиленовый голубой.
Метиловый красный.
Смесь индикаторов: 0,125 г метилового красного и 0,083 г метиленового голубого растворяют в 100 см этилового спирта.
Цинк металлический гранулированный.
Медь металлическая в виде проволоки.
Калий сернокислый по ГОСТ 4145.
Калий йодистый по ГОСТ 4232.
Ртуть йодная.
Реактив Несслера готовят следующим образом: 12,5 г йодистого калия растворяют в 15 см воды. К раствору прибавляют 17,5 г йодной ртути и перемешивают до полного растворения красного осадка. К полученному раствору приливают 445 см
раствора гидроксида калия, перемешивают и дают отстояться осадку в течение 3 суток. Прозрачный раствор декантируют и хранят в склянке из темного стекла.
Приготовление, хранение растворов и реактивов, а также проведение анализа следует осуществлять в помещениях, атмосфера которых свободна от аммонийных солей и оксидов азота.
5 ПОДГОТОВКА К АНАЛИЗУ
Собирают установку (чертеж 1) для дистилляции аммиака, соединяют все детали шлифами или резиновыми трубками, обеспечивающими герметичность. Подготавливают прибор следующим образом: в реакционную колбу (4) заливают 100 см воды и 150 см
раствора гидроксида натрия, в сосуд для поглощения аммиака (9) - 20-30 см
раствора борной кислоты, включают водоструйный насос и проверяют герметичность системы. Затем включают электроплитку (2) и проводят отгонку аммиака в течение 40 мин. Установку считают готовой к работе, если на нейтрализацию 100 см
дистиллята расходуется не более 0,1 см
раствора серной кислоты.
6 ПРОВЕДЕНИЕ АНАЛИЗА
Навеску пробы массой 0,25 г при массовой доле азота до 4% или 0,1 г при массовой доле азота свыше 4% помещают в коническую колбу (чертеж 2), приливают 30 см раствора соляной кислоты и закрывают пробкой с гидравлическим затвором, в резервуар которого предварительно наливают 2 см
раствора серной кислоты 1:4. Содержимое колбы умеренно нагревают до полного растворения навески. Колбу с раствором охлаждают, раствор из гидравлического затвора присоединяют к основному раствору, приливают 20 см
смеси кислот и нагревают до появления слабых паров серной кислоты, затем осторожно добавляют 1 г серно-кислого калия и нагревание продолжают до появления густых белых паров.
Колбу охлаждают, приливают 100 см бидистиллированной воды и нагревают до растворения солей. Подготовленный и охлажденный раствор анализируемой пробы осторожно переносят через капельную воронку установки (5) в реакционную колбу (4) с предварительно налитым в нее 150 см
раствора гидроксида натрия, а в сосуд для поглощения аммиака (9) - 80 см
раствора борной кислоты. Колбу и капельную воронку ополаскивают небольшими порциями воды, не давая ей стекать до конца. Закрывают кран воронки, включают насос, электроплитку, обеспечивающую температуру нагрева 200-250 °С. Отгонку аммиака продолжают в течение 40 мин.
Затем нагревание прекращают, отсоединяют колбу приемника от системы, обмывают барботер, добавляют несколько капель раствора смеси индикаторов и титруют раствором серной кислоты до перехода цвета индикатора.
7 ОБРАБОТКА РЕЗУЛЬТАТОВ
7.1 Массовую долю азота , %, вычисляют по формуле
, (2)
где - объем раствора серной кислоты, израсходованный на титрование пробы, см
;
- объем раствора серной кислоты, израсходованный на титрование контрольного опыта, см
;
- массовая концентрация раствора серной кислоты, выраженная в г/см
азота;
- масса навески пробы, г
.
7.2 Нормы точности и нормативы точности приведены в таблице 1.
Таблица 1 - Нормы точности и нормативы контроля точности
Допускаемые расхождения, % | |||||
Массовая доля марганца, % | Погрешность результатов анализа | двух средних результатов анализа, выполненных в различных условиях | двух параллельных определений | трех параллельных определений | результатов анализа стандартного образца и аттестованного значения |
От 1 до 2 включ. | 0,12 | 0,15 | 0,12 | 0,15 | 0,08 |
Св. 2 " 5 " | 0,2 | 0,2 | 0,2 | 0,2 | 0,1 |
" 5 " 8 " | 0,3 | 0,3 | 0,3 | 0,3 | 0,2 |
Электронный текст документа
подготовлен ЗАО "Кодекс" и сверен по:
официальное издание
М.: Издательство стандартов, 1995
Разместите заказ
сами сделают вам предложение
