ГОСТы сталей. ГОСТ 16698.12-84
ГОСТ 16698.12-84*
Группа В19
МЕЖГОСУДАРСТВЕННЫЙ СТАНДАРТ
МАРГАНЕЦ МЕТАЛЛИЧЕСКИЙ И МАРГАНЕЦ МЕТАЛЛИЧЕСКИЙ АЗОТИРОВАННЫЙ
Метод определения кальция и магния
Metallic manganese and nitrated metallic manganese. Method for determination of calcium and magnesium
ОКСТУ 0809
Дата введения 1985-07-01
Постановлением Государственного комитета СССР по стандартам от 17 мая 1984 г. N 1647 дата введения установлена 01.07.85
Ограничение срока действия снято по протоколу N 2-92 Межгосударственного Совета по стандартизации, метрологии и сертификации (ИУС 2-93)
* ПЕРЕИЗДАНИЕ (июль 1999 г.) с Изменением N 1, утвержденным в сентябре 1989 г. (ИУС 1-90).
Настоящий стандарт устанавливает атомно-абсорбционный метод определения кальция и магния при их массовой доле в металлическом марганце и металлическом азотированном марганце от 0,10 до 0,70% каждого.
Метод основан на растворении навески в хлорной и фтористо-водородной кислотах, распылении раствора в пламени воздух-ацетилен или закись азота-ацетилен и измерении атомной абсорбции кальция при длине волны 422,7 нм, магния при длине волны 285,2 нм.
1. ОБЩИЕ ТРЕБОВАНИЯ
1. ОБЩИЕ ТРЕБОВАНИЯ
1.1. Общие требования к методам анализа - по ГОСТ 28473-90.
1.2. Лабораторная проба должна быть приготовлена в виде тонкого порошка размером частиц, проходящих через сито с сеткой N 016 по ГОСТ 6613-86.
1.1, 1.2. (Измененная редакция, Изм. N 1).
2. АППАРАТУРА, РЕАКТИВЫ И РАСТВОРЫ
Спектрофотометр атомно-абсорбционный со всеми принадлежностями и с источником излучения для кальция и магния.
Баллон с газообразным ацетиленом по ГОСТ 5457-75.
Закись азота газообразная.
Компрессор, обеспечивающий подачу сжатого воздуха, или баллон со сжатым воздухом, или сжатый воздух из воздухопровода.
Вода деионизированная или бидистиллят для приготовления водных растворов и проведения анализа.
Воду очищают на ионообменных смолах - сильнокислотном катионите и сильноосновном анионите со слоем смолы высотой 200 мм, диаметром 25 мм, пропуская через колонки со скоростью 7-10 см/мин.
Кислота соляная по ГОСТ 3118-77, раствор 1:1.
Кислота хлорная плотностью 1,53 или 1,67 г/см.
Кислота фтористоводородная по ГОСТ 10484-78.
Аммоний щавелевокислый по ГОСТ 5712-78, растворы с массовой долей 0,1 и 4%.
Индикатор метиловый оранжевый, водный раствор с массовой долей 0,1%.
Аммиак водный по ГОСТ 3760-79, раствор с массовой долей 25%.
Лантан азотнокислый, раствор с массовой долей 5%.
Калий хлористый по ГОСТ 4234-77, раствор с массовой долей 5%.
Марганец металлический по ГОСТ 6008-90.
Алюминий металлический по ГОСТ 11069-74*, раствор: 0,1 г алюминия растворяют в 30 см раствора соляной кислоты при слабом нагревании. После полного растворения алюминия раствор переносят в мерную колбу вместимостью 1 дм
, доливают до метки водой и перемешивают.
______________
* На территории Российской Федерации действует ГОСТ 11069-2001. - Примечание изготовителя базы данных.
Кальция окись по ГОСТ 8677-76, предварительно прокаленная при температуре 600-650 °С до постоянной массы, стандартные растворы.
Раствор А: 0,6996 г окиси кальция смачивают водой, добавляют 10 см раствора соляной кислоты, нагревают до полного растворения, переносят в мерную колбу вместимостью 500 см
, доливают водой до метки и перемешивают.
Массовая концентрация кальция в растворе А равна 0,001 г/см.
Массовую концентрацию раствора окиси кальция устанавливают гравиметрическим методом. Для этого три аликвотные части раствора по 20 см каждая помещают в стаканы вместимостью 250 см
, прибавляют 100 см
горячей воды, 50 см
раствора щавелевокислого аммония с массовой долей 4% и оставляют раствор с выпавшим осадком щавелевокислого кальция в теплом месте на 10-15 мин. Затем прибавляют 2-3 капли метилового оранжевого; нейтрализуют водным раствором аммиака до изменения окраски индикатора и добавляют 1 см
в избыток. Раствор с осадком кипятят 1-2 мин и через 15-18 ч осадок отфильтровывают на плотный фильтр, затем промывают осадок 6-8 раз раствором щавелевокислого аммония с массовой долей 0,1%.
Фильтр с осадком помещают в предварительно прокаленный и взвешенный платиновый тигель, высушивают, озоляют и прокаливают при температуре от 1000 до 1100 °С до постоянной массы. Тигель с осадком охлаждают в эксикаторе и взвешивают.
Одновременно проводят контрольный опыт.
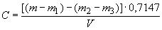
Массовую концентрацию раствора окиси кальция (), выраженную в г/см
кальция, вычисляют по формуле
,
где - масса тигля с осадком окиси кальция, г;
- масса пустого тигля, г;
- масса тигля с осадком контрольного опыта, г;
- масса пустого тигля, в котором находится осадок контрольного опыта, г;
- объем раствора окиси кальция, взятый для установления массовой концентрации, см
;
0,7147 - коэффициент пересчета окиси кальция на кальций.
Раствор Б: 100 см стандартного раствора А помещают в мерную колбу вместимостью 1 дм
, доливают до метки водой и перемешивают.
Массовая концентрация кальция в растворе Б равна 0,0001 г/см.
Магний металлический по ГОСТ 804-93, стандартный раствор: 0,1 г магния растворяют в 40 см раствора соляной кислоты при нагревании. Раствор охлаждают, переносят в мерную колбу вместимостью 1 дм
, доливают водой до метки и перемешивают.
Массовая концентрация магния в растворе равна 0,0001 г/см.
(Измененная редакция, Изм. N 1).
3. ПРОВЕДЕНИЕ АНАЛИЗА
3.1. Навеску металлического марганца или металлического азотированного марганца массой 0,25 г помещают в платиновую или стеклоуглеродистую чашку, добавляют 10 см фтористоводородной и 10 см
хлорной кислоты, растворяют при нагревании и выпаривают до удаления паров хлорной кислоты. Стенки чашки обмывают водой и выпаривают досуха. В охлажденную чашку прибавляют 5 см
соляной кислоты, нагревают до растворения солей, затем прибавляют 50-60 см
воды и переводят содержимое чашки в мерную колбу вместимостью 250 см
, охлаждают, доводят до метки водой и перемешивают.
Аликвотную часть 20 см помещают в мерную колбу вместимостью 100 см
, прибавляют 4 см
соляной кислоты, 1 см
раствора азотнокислого лантана или 1 см
хлористого калия и доливают до метки водой.
Через весь ход анализа проводят контрольный опыт.
Распыляют раствор контрольного опыта и раствор анализируемой пробы в пламени воздух-ацетилен или закись азота-ацетилен в порядке увеличения абсорбции до получения стабильных показаний для каждого раствора. Перед распылением каждого раствора распыляют воду для промывания системы и проверки нулевой точки. Измеряют атомную абсорбцию кальция при длине волны 422,7 нм и магния при длине волны 285,2 нм.
После вычитания значения атомной абсорбции раствора контрольного опыта из значения атомной абсорбции раствора анализируемой пробы находят массовую концентрацию кальция или магния в растворе анализируемой пробы по градуировочному граф
ику.
3.2. Построение градуировочного графика
При определении в пламени воздух-ацетилен в восемь из девяти платиновых или стеклоуглеродистых чашек приливают из микробюретки или пипетки 0,25; 0,50; 0,75; 1,00; 1,25; 1,50; 1,75 и 2,00 см стандартного раствора Б кальция и стандартного раствора магния, что соответствует 0,000025; 0,000050; 0,000075; 0,00010; 0,000125; 0,000150; 0,000175 и 0,00020 г кальция (магния). Девятая чашка, не содержащая стандартные растворы, служит для проведения контрольного опыта. Затем в каждую чашку помещают навеску металлического марганца массой 0,25 г, прибавляют по 1,4 см
раствора алюминия, прибавляют 10 см
фтористоводородной и 10 см
хлорной кислоты, растворяют при нагревании и упаривают содержимое чашки до удаления паров хлорной кислоты. Стенки чашки обмывают водой и выпаривают досуха. В охлажденную чашку прибавляют 8 см
раствора соляной кислоты и нагревают до растворения солей, затем прибавляют 50-60 см
воды, 1 см
азотнокислого лантана или 1 см
хлористого калия, переливают в мерную колбу вместимостью 100 см
, охлаждают, доводят до метки водой и перемешивают.
При определении в пламени закись азота-ацетилен в восемь из девяти мерных колб вместимостью 100 см прибавляют из микробюретки или пипетки 0,25; 0,50; 0,75; 1,00; 1,25; 1,50; 1,75 и 2,00 см
стандартного раствора Б кальция и стандартного раствора магния, что соответствует 0,000025; 0,000050; 0,000075; 0,00010; 0,000125; 0,000150; 0,000175 и 0,00020 г кальция (магния). Девятая колба, не содержащая стандартные растворы, служит для проведения контрольного опыта.
Измерение абсорбции полученных растворов проводят, как указано в п.3.1.
Градуировочный график строят по результатам измерений, полученным после вычитания значения абсорбции раствора, не содержащего стандартный раствор кальция или магния, из значений абсорбции растворов, содержащих стандартный раствор, и соответствующим им массам кальция или магния.
(Измененная редакция, Изм. N 1).
4. ОБРАБОТКА РЕЗУЛЬТАТОВ
4.1. Массовую долю кальция (магния) () в процентах вычисляют по формуле
,
где - массовая концентрация кальция (магния) в растворе анализируемой пробы, найденная по градуировочному графику, г/см
;
- объем раствора, используемый для измерения абсорбции, см
;
- масса навески в растворе, используемом для измерения абсорбции, г.
4.2. Нормы точности и нормативы контроля точности определения массовой доли кальция (магния) приведены в таблице.
Массовая доля кальция (магния), % | Погрешность результатов анализа | Допускаемое расхождение, % | |||
двух средних результатов анализа, выполненных в различных условиях, | двух параллельных определений | двух параллельных определений | результатов анализа стандартного образца и аттестованного значения | ||
От 0,1 до 0,2 включ. | 0,02 | 0,02 | 0,02 | 0,02 | 0,01 |
Св. 0,2 " 0,5 " | 0,03 | 0,03 | 0,02 | 0,03 | 0,02 |
" 0,5 " 0,7 " | 0,04 | 0,05 | 0,04 | 0,05 | 0,02 |
(Измененная редакция, Изм. N 1).
Электронный текст документа
подготовлен ЗАО "Кодекс" и сверен по:
официальное издание
М.: ИПК Издательство стандартов, 1999
Разместите заказ
сами сделают вам предложение
