ГОСТы сталей. ГОСТ 16591.3-94
ГОСТ 16591.3-94
(ИСО 4159-78)
Группа В19
МЕЖГОСУДАРСТВЕННЫЙ СТАНДАРТ
ФЕРРОСИЛИКОМАРГАНЕЦ
Методы определения марганца
Ferrosilicomanganese. Methods for determination of manganese
ОКС 77.100
ОКСТУ 0809
Дата введения 1996-01-01
Предисловие
1 РАЗРАБОТАН Российской Федерацией, Техническим комитетом ТК 8 "Ферросплавы"
ВНЕСЕН Госстандартом России
2 ПРИНЯТ Межгосударственным Советом по стандартизации, метрологии и сертификации 21 октября 1994 г. (протокол N 6-94)
За принятие проголосовали:
Наименование государства | Наименование национального органа стандартизации |
Азербайджанская республика | Азгосстандарт |
Республика Армения | Армгосстандарт |
Республика Беларусь | Белстандарт |
Республика Грузия | Грузстандарт |
Республика Казахстан | Госстандарт Республики Казахстан |
Кыргызская республика | Кыргызстандарт |
Республика Молдова | Молдовастандарт |
Российская Федерация | Госстандарт России |
Республика Узбекистан | Узгосстандарт |
Украина | Госстандарт Украины |
3 Постановлением Комитета Российской Федерации по стандартизации, метрологии и сертификации от 21.06.95 N 312 межгосударственный стандарт ГОСТ 16591.3-94 введен в действие непосредственно в качестве государственного стандарта Российской Федерации с 1 января 1996 г.
Приложение А настоящего стандарта представляет собой полный аутентичный текст международного стандарта ИСО 4159-88* "Ферромарганец и ферросиликомарганец. Определение содержания марганца. Потенциометрический метод"
________________
* Доступ к международным и зарубежным документам, упомянутым в тексте, можно получить, обратившись в Службу поддержки пользователей. - Примечание изготовителя базы данных.
ВЗАМЕН ГОСТ 16591.3-87
1 ОБЛАСТЬ ПРИМЕНЕНИЯ
1 ОБЛАСТЬ ПРИМЕНЕНИЯ
Настоящий стандарт устанавливает потенциометрический метод определения марганца в ферросиликомарганце при массовой доле его от 50 до 80%. Метод основан на окислении двухвалентного марганца до трехвалентного раствором марганцовокислого калия в нейтральной среде в присутствии комплексообразователя - пирофосфорнокислого натрия.
Допускается проводить определение марганца по методике международного стандарта ИСО 4159, приведенной в приложении А.
2 НОРМАТИВНЫЕ ССЫЛКИ
В настоящем стандарте использованы ссылки на следующие стандарты:
ГОСТ 83-79 Натрий углекислый. Технические условия
ГОСТ 342-77 Натрий фосфорнокислый пиро. Технические условия
ГОСТ 2603-79 Ацетон. Технические условия
ГОСТ 3118-77 Кислота соляная. Технические условия
ГОСТ 4204-77 Кислота серная. Технические условия
ГОСТ 4461-77 Кислота азотная. Технические условия
ГОСТ 5962-67 Спирт этиловый ректификованный. Технические условия
ГОСТ 6008-90 Марганец металлический и марганец азотированный. Технические условия
ГОСТ 6613-86 Сетки проволочные тканые с квадратными ячейками. Технические условия
ГОСТ 10484-78 Кислота фтористоводородная. Технические условия
ГОСТ 17260-87 Ферросплавы, хром и марганец металлические. Общие требования к отбору и подготовке проб для химанализа
ГОСТ 18300-87 Спирт этиловый ректификованный технический. Технические условия
ГОСТ 20490-75 Калий марганцовокислый. Технические условия
ГОСТ 28473-90 Чугун, сталь, ферросплавы, хром, марганец металлические. Общие требования к методам анализа
3 ОБЩИЕ ТРЕБОВАНИЯ
3.1 Общие требования к методу анализа - по ГОСТ 28473.
3.2 Лабораторная проба должна быть приготовлена в виде порошка с размером частиц, проходящих через сито с сеткой N 016 по ГОСТ 6613.
4 АППАРАТУРА, РЕАКТИВЫ И РАСТВОРЫ
Установка для потенциометрического титрования с индикаторным платиновым и сравнительным вольфрамовым, хлорсеребряным или каломельным электродами.
Кислота азотная по ГОСТ 4461, растворы 1:1 и 1:10.
Кислота соляная по ГОСТ 3118 и раствор 1:1.
Кислота серная по ГОСТ 4204, раствор 1:1.
Кислота хлорная плотностью 1,5 г/дм.
Кислота фтористоводородная по ГОСТ 10484.
Спирт этиловый ректификованный по ГОСТ 5962 или по ГОСТ 18300.
Бромтимоловый синий, спиртовой раствор 1 г/дм: 0,1 г реактива растворяют в 20 см
этилового спирта, а затем разбавляют водой до объема 100 см
.
Натрий углекислый по ГОСТ 83, раствор 200 г/дм.
Натрий фосфорнокислый пиро по ГОСТ 342, насыщенный раствор: 120 г пирофосфата натрия растворяют в 1 дм воды и при нагревании до 70 °С, охлаждают и дают выкристаллизоваться избытку пирофосфата натрия. Раствор готовят перед применением.
Ацетон по ГОСТ 2603.
Марганец металлический электролитический, по ГОСТ 6008, очищенный от оксидов и жира: 10 г марганца, помещенного в стакане вместимостью 400 см, обрабатывают в течение нескольких минут 50 см
раствора азотной кислоты (1:10). Когда поверхность металла станет блестящей, раствор сливают, затем металл промывают шесть раз водой, затем ацетоном и высушивают при температуре (100±5) °С в сушильном шкафу в течение 10 мин.
Калий марганцовокислый по ГОСТ 20490, перекристаллизованный: 250 г реактива растворяют в 800 см горячей (~80 °С) воды. Горячий раствор фильтруют с отсасыванием через стеклянную фильтрующую воронку N 2 или N 3. Фильтрат переливают в фарфоровую чашку и охлаждают при непрерывном помешивании. Выделившиеся мелкие кристаллы отфильтровывают с отсасыванием на пористый стеклянный фильтр. Промывают небольшим количеством холодной воды и высушивают на стекле на воздухе, а затем в сушильном шкафу при температуре 80-90 °С в течение 2-3 ч. Хранят в плотно закрытой склянке из темного стекла.
Стандартный раствор марганца: 1,0000 г марганца растворяют в 20 см раствора серной кислоты, затем приливают 100 см
воды и нагревают до кипения. Полученный раствор охлаждают, переносят в мерную колбу вместимостью 1 дм
, доливают водой до метки и перемешивают
или 0,7192 г перекристаллизованного марганцовокислого калия помещают в стакан вместимостью 200-250 см, смачивают водой и растворяют при нагревании в 30 см
раствора соляной кислоты. Раствор выпаривают досуха, прибавляют 10 см
соляной кислоты и вновь выпаривают досуха. Сухой остаток растворяют в 20 см
раствора соляной кислоты, приливают 20 см
раствора серной кислоты и выпаривают до паров серной кислоты. После охлаждения растворяют соли в 40-50 см
воды при нагревании. Переносят раствор в мерную колбу вместимостью 250 см
, охлаждают, доливают до метки водой и перемешивают.
Массовая концентрация марганца в стандартном растворе равна 0,001 г/см.
Калий марганцовокислый по ГОСТ 20490, раствор: 1,6 г реактива помещают в стакан вместимостью 1 дм и растворяют в 600-800 см
воды при нагревании. Содержимое стакана переносят в мерную колбу вместимостью 1 дм
, охлаждают, доливают водой до метки и перемешивают. Раствор переливают в склянку из темного стекла и оставляют на 8-10 дней. Отстоявшийся раствор сифонируют в другую склянку из темного стекла через стеклянную вату или фильтруют через фильтрующую воронку с пористой пластинкой.
Массовую концентрацию раствора марганцовокислого калия устанавливают по стандартному раствору марганца. Для этого аликвотную часть стандартного раствора марганца, равную 50,0 см, вливают небольшими порциями при постоянном перемешивании на магнитной мешалке в стакан вместимостью 400 см
, содержащий 150 см
раствора пирофосфорнокислого натрия. Затем устанавливают pH раствора и проводят потенциометрическое титрование, как указано в разделе 5.
Массовую концентрацию раствора марганцовокислого калия , г/см
марганца, вычисляют по формуле
, (1)
где - масса навески марганца, соответствующая аликвотной части стандартного раствора, г;
- объем раствора марганцовокислого калия, израсходованный на титрование стандартного раствора, см
;
- объем раствора марганцовокислого калия, израсходованный на титрование раствора контрольного опыта, см
.
5 ПРОВЕДЕНИЕ АНАЛИЗА
Навеску пробы массой 0,5 г помещают в платиновую или стеклоуглеродную чашку, приливают 20 см раствора азотной кислоты (1:1), 10 см
фтористоводородной кислоты, 10 см
хлорной кислоты, нагревают и выпаривают содержимое чашки досуха. После охлаждения приливают 20 см
соляной кислоты и сплав выпаривают досуха. Чашку охлаждают, приливают 10 см
соляной кислоты, 50-60 см
воды и нагревают до растворения солей. Затем раствор переносят в мерную колбу вместимостью 250 см
, охлаждают, доливают до метки водой и перемешивают.
Отбирают аликвотную часть раствора 50,0 см и вливают небольшими порциями при постоянном перемешивании на магнитной мешалке в стакан вместимостью 400 см
, содержащий 150 см
раствора пирофосфорнокислого натрия. При этом первоначально образующийся осадок белого цвета быстро растворяется. Затем добавляют 15 капель раствора бромтимолового синего, нейтрализуют раствором углекислого натрия до перехода желтой окраски раствора в зеленую или раствором соляной кислоты до перехода синей окраски в зеленую (рН ~7). Контроль и установка pH может производиться по рН-метру.
После нейтрализации в раствор погружают электроды и титруют раствором марганцовокислого калия до резкого отклонения стрелки милливольтметра.
После 10-15 определений платиновый электрод очищают путем погружения на 1-2 мин в раствор соляной кислоты.
6 ОБРАБОТКА РЕЗУЛЬТАТОВ
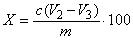
6.1 Массовую долю марганца , %, вычисляют по формуле
, (2)
где - массовая концентрация раствора марганцовокислого калия, выраженная в г/см
марганца;
- объем раствора марганцовокислого калия, израсходованный на титрование раствора пробы, см
;
- объем раствора марганцовокислого калия, израсходованный на титрование раствора контрольного опыта, см
;
- масса навески пробы, соответствующая аликвотной части раствора, г.
6.2 Нормы точности и нормативы контроля точности определения массовой доли марганца приведены в таблице 1.
Таблица 1 - Нормы точности
Массовая доля марганца, % | Погрешность результатов анализа | Допускаемые расхождения, % | |||
двух средних результатов анализа, выполненных в различных условиях | двух параллельных определений | трех параллельных определений | результатов анализа стандартного образца от аттестованного значения | ||
От 50 до 80 включ. | 0,4 | 0,6 | 0,5 | 0,6 | 0,3 |
ПРИЛОЖЕНИЕ А (рекомендуемое). ФЕРРОМАРГАНЕЦ И ФЕРРОСИЛИКОМАРГАНЕЦ. ОПРЕДЕЛЕНИЕ СОДЕРЖАНИЯ МАРГАНЦА. ПОТЕНЦИОМЕТРИЧЕСКИЙ МЕТОД
ПРИЛОЖЕНИЕ А
(рекомендуемое)
Определение содержания марганца. Потенциометрический метод
(ИСО 4159-78)
А.1 Назначение и область применения
Настоящий международный стандарт устанавливает потенциометрический метод определения содержания марганца в ферромарганце и ферросиликомарганце.
Метод применим для сплавов, содержащих от 55 до 95% по массе марганца.
А.2 Ссылка
ГОСТ 17260-87 Ферросплавы, хром и марганец металлические. Общие требования к отбору и подготовке проб для химического анализа
А.3 Сущность метода
Перевод в раствор навески с помощью соляной и фтористоводородной кислот.
Потенциометрическое определение (примечание) содержания марганца с помощью марганцовокислого калия в пирофосфорной среде с контролируемой pH  по реакции:
.
Примечание - Этот метод может быть заменен любым другим электрометрическим методом: амперометрическим и др.
А.4 Реактивы
А.4.1 Кислота хлорная, =1,61 г/см
.
А.4.2 Кислота фтористоводородная, =1,14 г/см
.
А.4.3 Кислота соляная, =1,19 г/см
.
А.4.4 Кислота соляная, =1,19 г/см
, разбавленная 1:2.
А.4.5 Кислота соляная, =1,19 г/см
, разбавленная 1:4.
А.4.6 Пирофосфат натрия, насыщенный раствор
145 г пирофосфата натрия
растворяют в конической колбе вместимостью 2 дм в 1 дм
горячей воды, нагревают до температуры 60 °С, следя за тем, чтобы не превысить эту температуру, до полного растворения соли и охлаждают. Раствор готовят перед использованием.
А.4.7 Калий марганцовокислый перекристаллизованный
50 г марганцовокислого калия чистого для анализа помещают в коническую колбу (А.5.1) и растворяют в 200 см горячей дистиллированной воды 70-80 °С.
Колбу снабжают дефлегматором (А.5.2), доводят раствор до кипения и кипятят 20 мин. Горячий раствор быстро фильтруют в вакууме через воронку из огнеупорного стекла (А.5.3).
Фильтрат охлаждают в холодной воде, энергично помешивая, и дают отстояться мелкому и кристаллическому осадку в течение 10 мин.
Раствор сцеживают, затем с помощью стеклянного шпателя перекладывают кристаллическую массу в воронку с фильтровальной пластинкой пористостью 4 и помещают в разреженную среду на несколько минут, чтобы удалить наибольшую часть маточного раствора.
Кристаллическую массу растворяют в 160 см дистиллированной воды (на этой стадии опыта применяют деионизированную воду) и повторяют перекристаллизацию. После фильтрования и разрежения в течение приблизительно 5 мин помещают кристаллическую массу с помощью шпателя на часовое стекло диаметром 150 мм и высушивают на воздухе, предохраняя от света и пыли. Когда кристаллическая масса, намазанная шпателем, перестанет слипаться, ее высушивают при температуре 110 °С в течение 2 ч, затем перекладывают в сосуд для взвешивания, снабженный пробкой из отшлифованного стекла.
Кристаллическую массу хранят в темном месте.
Полученная соль содержит 34,76% марганца по массе.
А.4.8 Марганцовокислый калий, стандартный раствор, примерно 0,1 н.
А.4.8.1 Приготовление
3,20 г марганцовокислого калия растворяют в 1 дм воды, дают отстояться в течение 6 сут, фильтруют на стеклянное волокно, или фильтр из огнеупорного стекла, затем переливают в коричневый стакан и перемешивают.
А.4.8.2 Установка титра
2,5 г перекристаллизованного марганцовокислого калия (А.4.7), взвешенного с погрешностью до 0,0002 г, помещают в коническую колбу вместимостью 250 см и действуют в соответствии с А.7.3. Рекомендуется проводить установку титра параллельно определению.
Эквивалент раствора марганцовокислого калия (А.4.8), выраженный в граммах марганца в 1 см
раствора, определяют по формуле
, (А.1)
где - масса перекристаллизованного марганцовокислого калия (А.4.7), использованная в ходе определения, г;
- объем раствора марганцовокислого калия (А.4.8), использованный для контрольного опыта, см
;
- объем раствора марганцовокислого калия (А.4.8), использованный для установки титра, см
.
А.5 Оборудование
А.5.1 Коническая колба Эрленмейера с притертой пробкой.
А.5.2 Дефлегматор со стеклянной притертой пробкой (А.5.1).
А.5.3 Фильтрующие тигли или воронки вместимостью 40 см и пористостью 4.
А.5.4 Мерная колба вместимостью 250 см.
А.5.5 Химический стакан вместимостью 600 см.
А.5.6 Коническая колба вместимостью 250 см.
А.5.7 Чашка вместимостью 250 см или химический стакан из тефлона вместимостью 400 см
.
А.5.8 Магнитная мешалка.
А.5.9 pH-метр, снабженный электродами из стекла и каломели (хлористой ртути).
А.5.10 Потенциометр, снабженный электродами из платины и каломели.
А.6 Проба
Используют порошок, проходящий сквозь сито с отверстиями размером 160 мм, подготовленный по ГОСТ 17260.
А.7 Ход анализа
А.7.1 Навеска
Навеску берут массой (1±0,0002) г.
А.7.2 Контрольный опыт
Контрольный опыт проводят параллельно определению содержания марганца, следуя тому же ходу анализа и используя те же реактивы.
А.7.3 Определение
А.7.3.1 На навеску воздействуют, как указано в А.7.3.1.1 или А.7.3.1.2.
А.7.3.1.1 Ферромарганец
Навеску (А.7.3.1) помещают в коническую колбу (А.5.6) и воздействуют на нее 20 см соляной кислоты (А.4.3) и 0,2 см
фтористоводородной кислоты (А.4.2), затем приливают 10 см
хлорной кислоты (А.4.1).
Далее действуют в соответствии с А.7.3.2.
А.7.3.1.2 Ферросиликомарганец
Навеску (А.7.1) помещают в чашку или стакан (А.5.7) и воздействуют 10 см соляной кислоты (А.4.3), приливают 10 см
хлорной кислоты (А.4.1), затем осторожно приливают примерно 20 см
фтористоводородной кислоты (А.4.2)*.
_________________
* Раствор азотной кислоты
окисляют перед добавлением хлорной кислоты.
Далее действуют в соответствии с А.7.3.2.
А.7.3.2 Раствор нагревают сначала осторожно, затем постепенно повышая температуру до образования тяжелых хлорных паров. Нагревание продолжают до образования сиропообразной консистенции и начала осаждения двуокиси марганца и охлаждают.
А.7.3.3 К раствору приливают 20 см раствора соляной кислоты (А.4.5), осторожно нагревают до просветления раствора, тщательно промывают края сосуда струей из промывалки и нагревают еще в течение нескольких минут. Затем приливают 100 см
горячей воды и охлаждают до комнатной температуры и переливают без фильтрования в мерную колбу (А.5.4). После этого тщательно моют сосуд, использованный для реакции с кислотой. Раствор охлаждают, доливают до метки и перемешивают.
А.7.3.4 Пипеткой отбирают 50 см раствора и помещают в химический стакан (А.5.5), разбавляют водой до 100 см
, приливают 250 см
пирофосфата натрия (А.4.6), помещают стакан на магнитную мешалку (А.5.8) и погружают магнитный стержень.
А.7.3.5 pH  раствора подбирают в интервале 6,5-7 с помощью рН-метра (А.5.9) добавлением раствора соляной кислоты (А.4.4).
Примечание - При анализе сплавов, содержащих хром, следует сделать выдержку в течение 30 мин после добавления пирофосфата натрия до начала титрования.
Титровать раствором марганцовокислого калия (А.4.8), осторожно наливая его. Следить за показаниями потенциометра: конец титрования наступит, когда будет отмечен резкий скачок потенциала минимум в 100 мВ.
Рекомендуется провести второе титрование другой аликвотной части опытного раствора в тех же условиях.
А.8 Обработка результатов
Содержание марганца в процентах массы пробы определяют по формуле
, (А.2)
где - масса навески (А.7.1), г;
- объем раствора марганцовокислого калия (А.4.8), использованный для контрольного опыта, см
;
- объем раствора марганцовокислого калия, использованный для определения содержания марганца (А.3.5), см
;
- эквивалент по марганцу раствора марганцовокислого калия (А.4.8), выраженный в граммах марганца соответственно 1 см
раствора.
А.9 Воспроизводимость
Опыт показал, что доверительные пределы в 95% для опытного оператора составляют ±0,20%.
А.10 Отчет об анализе
В отчете указывают:
- ссылку на примененный метод;
- результаты и форму их выражения;
- все особенности, выявленные в ходе анализа;
- все операции, не предусмотренные настоящим международным стандартом, и операции, считающиеся необязательными
Электронный текст документа
подготовлен ЗАО "Кодекс" и сверен по:
официальное издание
М.: ИПК Издательство стандартов, 1995
Разместите заказ
сами сделают вам предложение
