ГОСТы сталей. ГОСТ 15933.3-90
ГОСТ 15933.3-90
Группа В19
ГОСУДАРСТВЕННЫЙ СТАНДАРТ СОЮЗА ССР
ФЕРРОНИОБИЙ
Метод определения фосфора
Ferroniobium. Method for determination of phosphorus
ОКСТУ 0809
Срок действия с 01.07.91
до 01.07.2001*
_______________________________
* Ограничение срока действия снято
по протоколу N 7-95 Межгосударственного Совета
по стандартизации, метрологии и сертификации
(ИУС N 11, 1995 год). - Примечание изготовителя базы данных.
ИНФОРМАЦИОННЫЕ ДАННЫЕ
1. РАЗРАБОТАН И ВНЕСЕН Министерством металлургии СССР
РАЗРАБОТЧИКИ
В.Г.Мизин, Т.А.Перфильева, С.И.Ахманаев, В.П.Глухова, Г.И.Гусева
2. УТВЕРЖДЕН И ВВЕДЕН В ДЕЙСТВИЕ Постановлением Государственного комитета СССР по управлению качеством продукции и стандартам от 30.03.90 N 791
3. Срок первой проверки - I кв. 2000 г.
Периодичность проверки - 5 лет
4. ВЗАМЕН ГОСТ 15933.3-70
5. ССЫЛОЧНЫЕ НОРМАТИВНО-ТЕХНИЧЕСКИЕ ДОКУМЕНТЫ
Обозначение НТД, на который дана ссылка | Номер пункта, раздела |
ГОСТ 83-79 | 2 |
ГОСТ 3118-77 | 2 |
ГОСТ 3760-79 | 2 |
ГОСТ 3765-78 | 2 |
ГОСТ 4165-78 | 2 |
ГОСТ 4198-75 | 2 |
ГОСТ 4233-77 | 2 |
ГОСТ 4518-75 | 2 |
ГОСТ 5962-67 | 2 |
ГОСТ 6344-73 | 2 |
ГОСТ 9656-75 | 2 |
ГОСТ 18300-87 | 2 |
ГОСТ 20515-75 | 1.2 |
ГОСТ 28473-90 | 1.1 |
Настоящий стандарт устанавливает фотометрический метод определения фосфора в феррониобии при массовой доле его от 0,03 до 0,6%.
Метод основан на реакции образования желтой фосфорномолибденовой гетерополикислоты с последующим восстановлением ее в солянокислой среде тиомочевиной в присутствии сернокислой меди до комплексного соединения, окрашенного в синий цвет. Фосфор отделяют от мешающих элементов сплавлением с пероксидом натрия с последующим выщелачиванием плава раствором хлористого натрия.
1. ОБЩИЕ ТРЕБОВАНИЯ
1. ОБЩИЕ ТРЕБОВАНИЯ
1.1. Общие требования к методу анализа - по ГОСТ 28473.
1.2. Лабораторная проба должна быть приготовлена в виде порошка с максимальным размером частиц 0,08 мм по ГОСТ 20515.
2. АППАРАТУРА, РЕАКТИВЫ И РАСТВОРЫ
Спектрофотометр или фотоэлектроколориметр.
Натрия пероксид.
Натрий хлористый по ГОСТ 4233, насыщенный раствор.
Натрий углекислый по ГОСТ 83.
Квасцы железоаммонийные, раствор: 87 г квасцов растворяют при нагревании в 400 см воды, содержащей 15 см
соляной кислоты, охлаждают, раствор переносят в мерную колбу вместимостью 1 дм
, доливают до метки водой и перемешивают.
Кислота соляная по ГОСТ 3118 и плотностью 1,105 г/см: 500 см
соляной кислоты разбавляют до метки водой в мерной колбе вместимостью 1 дм
и перемешивают.
Аммоний фтористый по ГОСТ 4518, раствор с массовой концентрацией 20 г/дм.
Кислота борная по ГОСТ 9656, раствор с массовой концентрацией 50 г/дм.
Аммиак водный по ГОСТ 3760.
Тиомочевина по ГОСТ 6344, раствор с массовой концентрацией 80 г/дм.
Медь (II) сернокислая 5-водная по ГОСТ 4165, раствор с массовой концентрацией 10 г/дм.
Восстановительная смесь: 150 см раствора сернокислой меди смешивают с 700 см
раствора тиомочевины. После отстаивания в течение 24 ч смесь фильтруют и осадок отбрасывают.
Аммоний молибденовокислый по ГОСТ 3765, свежеприготовленный раствор с массовой концентрацией 50 г/дм. При необходимости молибденовокислый аммоний перекристаллизовывают: 250 г молибденовокислого аммония растворяют в 400 см
воды при нагревании до 80 °С. Раствор фильтруют через плотный фильтр, охлаждают, приливают 300 см
спирта, перемешивают и через 1 ч осадок фильтруют под вакуумом на фильтр средней плотности, помещенный в воронку Бюхнера. Осадок промывают 2-3 раза спиртом (порциями по 30 см
) и высушивают на воздухе.
Спирт этиловый ректификованный технический по ГОСТ 18300 или спирт этиловый ректификованный по ГОСТ 5962*.
_______________
* На территории Российской Федерации действует ГОСТ Р 51652-2000. - Примечание изготовителя базы данных.
Калий фосфорнокислый однозамещенный по ГОСТ 4198.
При необходимости фосфорнокислый калий перекристаллизовывают: 100 г однозамещенного фосфорнокислого калия растворяют в 150 см горячей воды при нагревании, после чего выливают раствор тонкой струей в фарфоровую чашку, энергично перемешивая стеклянной палочкой. После охлаждения раствора до комнатной температуры чашку с кристаллами охлаждают в проточной холодной воде или холодильнике, перемешивая содержимое. По охлаждении кристаллы отфильтровывают под вакуумом на воронку с пористой стеклянной пластинкой и промывают ледяной водой дважды по 5 см
. Осадок переносят в стакан и растворяют в 80 см
горячей воды при нагревании, после чего повторяют перекристаллизацию, как указано выше. Кристаллы фосфорнокислого калия высушивают при температуре (110±5) °С в фарфоровой чашке до постоянной массы.
Стандартные растворы фосфора
Раствор А: 0,4394 г фосфорнокислого калия помещают в мерную колбу вместимостью 1 дм, растворяют в 100 см
воды, доливают водой до метки и перемешивают. Раствор хранят в полиэтиленовой посуде.
Массовая концентрация фосфора в растворе А равна 0,0001 г/см.
Раствор Б: 10,0 см стандартного раствора А переносят в мерную колбу вместимостью 100 см
, доливают водой до метки и перемешивают. Раствор готовят в день применения.
Массовая концентрация фосфора в растворе Б равна 0,00001 г/см.
3. ПРОВЕДЕНИЕ АНАЛИЗА
3.1. Навеску пробы, отобранную согласно табл.1, помещают в железный или никелевый тигель и сплавляют с 4-6 г перекиси натрия, содержащей 1-2 г натрия углекислого при температуре 650-700 °С.
Таблица 1
Массовая доля фосфора, % | Масса навески, г |
От 0,03 до 0,10 включ. | 0,5 |
Св. 0,1 " 0,2 " | 0,25 |
" 0,2 " 0,6 " | 0,1 |
После охлаждения плав выщелачивают во фторпластовом стакане в 100 см насыщенного раствора хлористого натрия. Тигель извлекают из стакана и обмывают его водой. Раствор кипятят до разрушения пероксида натрия, затем охлаждают, количественно переносят вместе с осадком в мерную колбу вместимостью 250 см
, доливают до метки водой и перемешивают. Дают осадку отстояться и затем раствор фильтруют через сухой фильтр в сухую колбу, отбрасывая первые порции фильтрата.
3.2. В две конические колбы вместимостью по 100 см помещают по 25,0 см
фильтрата, приливают по 2,0 см
раствора железоаммонийных квасцов, по 5,0 см
раствора фтористого аммония и по 2,0 см
раствора борной кислоты. Выпавший осадок гидроксида железа растворяют в соляной кислоте плотностью 1,105 г/см
. Затем раствор нейтрализуют аммиаком до начала выпадения осадка гидроксида железа. Выпавший осадок гидроксида железа растворяют, добавляя по каплям раствор соляной кислоты плотностью 1,105 г/см
и еще 2 см
в избыток. Затем приливают 10 см
восстановительной смеси. Раствору дают постоять 5 мин, приливают 10 см
соляной кислоты плотностью 1,105 г/см
и в одну из колб по каплям и при перемешивании приливают 8,0 см
раствора молибденовокислого аммония. Затем растворы переносят в мерные колбы вместимостью по 100 см
, доливают до метки водой и перемешивают.
Через 15 мин измеряют оптическую плотность раствора на спектрофотометре при длине волны 830 нм или на фотоэлектроколориметре в области светопропускания от 680 до 880 нм.
В качестве раствора сравнения применяют раствор второй мерной колбы, не содержащий раствора молибденовокислого аммония.
Массу фосфора находят по градуировочному графику после вычитания значения оптической плотности раствора контрольного опыта из значения оптической плотности раствора пробы или методом сравнения со стандартным образцом, близким по составу к анализируемой пробе и проведенным через все стадии а
нализа.
3.3. Построение градуировочного графика
В шесть конических колб из семи вместимостью 100 см помещают 1,0; 2,0; 3,0; 4,0; 5,0 и 6,0 см
стандартного раствора Б, что соответствует 0,00001; 0,00002; 0,00003; 0,00004; 0,00005 и 0,00006 г фосфора. Во все колбы приливают по 25 см
воды, по 2,0 см
раствора железоаммонийных квасцов, нейтрализуют раствор аммиаком до выделения осадка гидроксида железа. Осадок растворяют в соляной кислоте плотностью 1,105 г/см
и дают еще 2 см
этой же кислоты в избыток и далее анализ проводят, как указано в п.3.2.
Раствором сравнения служит раствор колбы, не содержащий стандартного раствора фосфора.
По полученным значениям оптической плотности растворов и соответствующим им массам фосфора строят градуировочный график.
4. ОБРАБОТКА РЕЗУЛЬТАТОВ
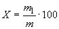
4.1. Массовую долю фосфора () в процентах, определяемую методом градуировочного графика, вычисляют по формуле
,
где - масса фосфора, найденная по градуировочному графику, г;
- масса навески, соответствующая аликвотной части раствора пробы, г.
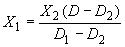
Массовую долю фосфора () в процентах, определяемую методом сравнения со стандартным образцом, вычисляют по формуле
,
где - массовая доля фосфора в стандартном образце, %;
- оптическая плотность анализируемого раствора пробы;
- оптическая плотность раствора стандартного образца;
- оптическая плотность раствора контрольного опыта.
4.2. Нормы точности и нормативы контроля точности определения массовой доли фосфора приведены в табл.2.
Таблица 2
Допускаемые расхождения, % | |||||
Массовая доля фосфора, % | Погрешность результатов анализа, % | результатов двух анализов | двух парал- | трех парал- | результатов анализа стандартного образца от аттестованного значения |
От 0,03 до 0,05 включ. | 0,005 | 0,006 | 0,005 | 0,006 | 0,003 |
Св. 0,05 " 0,1 " | 0,007 | 0,009 | 0,007 | 0,009 | 0,005 |
" 0,1 " 0,2 " | 0,010 | 0,013 | 0,010 | 0,013 | 0,006 |
" 0,2 " 0,5 " | 0,016 | 0,020 | 0,016 | 0,020 | 0,010 |
" 0,5 " 0,6 " | 0,022 | 0,028 | 0,023 | 0,028 | 0,014 |
Электронный текст документа
подготовлен ЗАО "Кодекс" и сверен по:
официальное издание
Феррониобий. Методы химического анализа: Сб. ГОСТов.
ГОСТ 15933.3-90-ГОСТ 15933.8-90. -
М.: Издательство стандартов, 1990
Разместите заказ
сами сделают вам предложение
