ГОСТы сталей. ГОСТ 15933.18-70
ГОСТ 15933.18-70
Группа В19
ГОСУДАРСТВЕННЫЙ СТАНДАРТ СОЮЗА ССР
ФЕРРОНИОБИЙ
Метод определения содержания свинца
Ferroniobium. Method for the determination of lead content
Дата введения 1971-07-01
Постановлением Комитета стандартов, мер и измерительных приборов при Совете Министров СССР от 6/V 1970 г. N 626 срок введения установлен с 1/VII 1971 г.
Настоящий стандарт распространяется на феррониобий и устанавливает фотоколориметрический метод определения содержания свинца (при содержании свинца от 0,001 до 0,10%).
Метод основан на выделении свинца тиоацетамидом на коллекторе азотнокислой меди из аммиачного раствора в присутствии комплексообразователя.
От сопутствующих элементов свинец отделяют на анионите ЭДЭ-10П. Свинец вместе с цинком десорбируют 0,02 н раствором соляной кислоты и извлекают свинец дитизоном. Полученное комплексное соединение дитизоната свинца фотометрируют по смешанной окраске с зеленым светофильтром.
Применение метода предусматривается в стандартах и технических условиях, устанавливающих технические требования на феррониобий.
1. ОБЩИЕ ТРЕБОВАНИЯ
1. ОБЩИЕ ТРЕБОВАНИЯ
1.1. Общие требования к методу анализа - по ГОСТ 15933.0-70.
2. АППАРАТУРА, РЕАКТИВЫ И РАСТВОРЫ
Фотоэлектроколориметр.
Кислота фтористоводородная (плавиковая кислота) по ГОСТ 10484-63*.
________________
* На территории Российской Федерации документ не действует. Действует ГОСТ 10484-78. - Примечание изготовителя базы данных.
Кислота соляная по ГОСТ 3118-67* и 2; 1,5; 0,5 и 0,02 н растворы.
________________
* На территории Российской Федерации документ не действует. Действует ГОСТ 3118-77. - Примечание изготовителя базы данных.
Кислота азотная по ГОСТ 4461-67*.
________________
* На территории Российской Федерации документ не действует. Действует ГОСТ 4461-77. - Примечание изготовителя базы данных.
Аммоний лимоннокислый двузамещенный по ГОСТ 3653-70*.
________________
* На территории Российской Федерации документ не действует. Заменен ТУ 6-09-01-755-88 (ИУС 10-89). Документ в информационных продуктах не содержится. За информацией о документе Вы можете обратиться в Службу поддержки пользователей. - Примечание изготовителя базы данных.
Тиоацетамид, 2%-ный раствор.
Смесь соляной и азотной кислот (царская водка); готовят следующим образом: к 900 мл соляной кислоты приливают 300 мл азотной кислоты и перемешивают.
Ионнообменная колонка, наполненная анионитом ЭДЭ-10П в хлор-ион форме; анионит готовят следующим образом: 50 г анионита ЭДЭ-10П помещают в стакан вместимостью 300-500 мл, промывают путем декантации 3-4 раза водой для удаления пылевидных частиц, заливают 300 мл 2 н раствора соляной кислоты и оставляют на сутки для полного набухания зерен анионита и извлечения основной массы железа. Кислоту сливают, промывают путем декантации еще несколько раз 2 н раствором соляной кислоты до полного удаления катионов железа (проба с роданидом аммония или калия) и 0,5 н раствором соляной кислоты до исчезновения окраски в промывной жидкости. Затем промывают анионит несколькими порциями по 100-150 мл дистиллированной воды и, взмутив анионит, его порциями переводят в колонку, в нижнюю часть которой предварительно помещают тампон из стеклянной ваты. Слой анионита в колонке должен быть ровным, без пузырьков воздуха. Высота колонки 50 см, диаметр 10 мм, высота слоя анионита 25-30 см.
Феноловый красный (фенолсульфофталеин) по ГОСТ 4599-61*, 0,1%-ный раствор в 20%-ном растворе этилового спирта.
________________
* На территории Российской Федерации документ не действует. Заменен ТУ 6-09-5170-84 (ИУС 9-79). Документ в информационных продуктах не содержится. За информацией о документе Вы можете обратиться в Службу поддержки пользователей. - Примечание изготовителя базы данных.
Спирт этиловый ректификованный по ГОСТ 5962-67.
Углерод четыреххлористый по ГОСТ 5827-68.
Дитизон (дифенилтиокарбазон) по ГОСТ 10165-62*, 0,1 и 0,005%-ный раствор.
________________
* На территории Российской Федерации документ не действует. Заменен ТУ 6-09-07-1684-89 (ИУС 8-89). Документ в информационных продуктах не содержится. За информацией о документе Вы можете обратиться в Службу поддержки пользователей. - Примечание изготовителя базы данных.
0,1%-ный раствор дитизона в четыреххлористом углероде; готовят следующим образом: 0,1 г дитизона растворяют на холоду в 30-50 мл четыреххлористого углерода в стакане вместимостью 100 мл, переводят раствор в делительную воронку вместимостью 500 мл, приливают 200 мл разбавленного 1:100 аммиака и энергично встряхивают. Дитизон переходит в аммиачный слой (раствор окрашивается в красный цвет), а продукты его окисления остаются в органическом слое, придавая ему зеленую окраску. Органический слой отбрасывают. Водную вытяжку промывают 2-3 раза встряхиванием с 5-10 мл четыреххлористого углерода, сливая последний после отстаивания. Затем приливают 100 мл четыреххлористого углерода и 1,5 н раствор соляной кислоты до изменения окраски водного слоя. Раствор энергично встряхивают в течение 1-2 мин для полного извлечения дитизона в кислый слой. Водная фаза при этом должна обесцвечиваться. После расслоения раствор дитизона сливают в другую делительную воронку и встряхивают его 3-4 раза по 1 мин со 100 мл воды. Водную фазу после расслоения отбрасывают, а раствор дитизона фильтруют через сухой фильтр в сухую склянку из темного стекла с притертой пробкой. Раствор хранят в темном прохладном месте не более двух недель.
0,005%-ный раствор дитизона в четыреххлористом углероде; готовят в день применения соответствующим разбавлением 0,1%-ного раствора четыреххлористым углеродом.
Калий лимоннокислый по ГОСТ 5538-51*, 10%-ный раствор.
________________
* На территории Российской Федерации документ не действует. Действует ГОСТ 5538-78. - Примечание изготовителя базы данных.
Калий железистосинеродистый по ГОСТ 4207-65*, 5%-ный раствор.
________________
* На территории Российской Федерации документ не действует. Действует ГОСТ 4207-75. - Примечание изготовителя базы данных.
Стандартные растворы свинца.
Раствор А; готовят следующим образом: 0,1 г металлического свинца помещают в стакан вместимостью 200-300 мл, растворяют в 10-15 мл азотной кислоты, разбавленной 1:1, и количественно переносят в мерную колбу вместимостью 1 л. Раствор доливают до метки водой и хорошо перемешивают.
1 мл раствора А содержит 0,0001 г свинца.
Раствор Б; готовят следующим образом: 10 мл раствора А помещают в мерную колбу вместимостью 1 л, доливают до метки водой и перемешивают.
1 мл раствора Б содержит 0,001 мг свинца.
Универсальная индикаторная бумага.
Платиновая чашка по ГОСТ 6563-58*.
________________
* На территории Российской Федерации документ не действует. Действует ГОСТ 6563-75. - Примечание изготовителя базы данных.
3. ПРОВЕДЕНИЕ АНАЛИЗА
Навеску феррониобия 1 г помещают в платиновую чашку, смачивают водой, приливают 3 мл фтористоводородной кислоты и осторожно, избегая сильного вспенивания, прибавляют по каплям концентрированную азотную кислоту до полного растворения навески. Стенки чашки обмывают водой и выпаривают раствор до начала образования кромки солей. В чашку добавляют 30 мл раствора комплексообразователя и переводят ее содержимое в стакан вместимостью 300 мл, всего расходуя на это 100 мл раствора комплексообразователя. Раствор должен быть совершенно прозрачным. Нейтрализуют раствор аммиаком до рН 8 по универсальной индикаторной бумаге, добавляют 1 мл 1%-ного раствора азотнокислой меди, 2 г солянокислого гидроксиламина, нагревают до кипения, приливают 10 мл 2%-ного раствора тиоацетамида и выдерживают раствор в течение 10-15 мин при 80-90 °С. Затем приливают еще 10 мл раствора тиоацетамида и оставляют раствор на 2 ч при 40-50 °С для лучшей коагуляции осадка.
Осадок отфильтровывают на фильтр "белая" или "желтая лента" и 7-8 раз промывают теплой водой, в которую добавляют тиоацетамид, разбавленный 1:200, для возможно полного отмывания от ниобия и железа. Осадок растворяют на фильтре в 10 мл горячей царской водки, промывают фильтр 3-4 раза горячей водой, собирая фильтрат и промывные воды в стакан, где производилось осаждение. Фильтр помещают в платиновый тигель и сжигают в муфеле. Золу добавляют к испытуемому раствору и выпаривают раствор досуха. Для удаления азотной кислоты сухой остаток обрабатывают дважды 5 мл концентрированной соляной кислоты, затем растворяют его в 20 мл 2 н растворе соляной кислоты и после охлаждения пропускают раствор через колонку, заряженную анионитом ЭДЭ-10П, со скоростью 0,5 мл/мин. Предварительно через колонку пропускают 100 мл 2 н раствора соляной кислоты со скоростью 1 мл/мин, затем 100 мл 2 н раствора соляной кислоты и 50-70 мл 0,5 н раствора соляной кислоты для полного вымывания железа (проба на роданистый аммоний или калий). Свинец вымывают 100 мл 0,02 н раствора соляной кислоты и 50 мл горячей воды, пропуская их со скоростью 1 мл/мин. Элюат выпаривают до получения влажных солей, смачивают соли водой, добавляют одну каплю фенолового красного, 2 мл 1%-ного раствора гидроксиламина и по каплям аммиак, разбавленный 1:3, до перехода окраски в розовую. Раствор подкисляют 1,5 н раствором соляной кислоты и приливают 0,5 мл кислоты в избыток. Затем раствор переводят в делительную воронку вместимостью 100-150 мл, добавляют в него 2-3 мл 0,005%-ного раствора дитизона и встряхивают 2 мин для извлечения меди. Дитизонах меди отбрасывают. Извлечение меди повторяют до тех пор, пока органический слой не примет зеленую окраску. Избыток ди-тизона извлекают встряхиванием с 3-5 мл четыреххлористого углерода.
После извлечения меди в раствор добавляют 5-6 капель 10%-ного раствора лимоннокислого калия, аммиак до перехода окраски в розовую, 1 мл 5%-ного раствора ферроцианида калия и устанавливают рН 8-9 по универсальной индикаторной бумаге 1,5 н раствором соляной кислоты и аммиаком, разбавленным 1:3.
Затем к раствору добавляют 2 мл 0,005%-ного раствора дитизона и встряхивают 30 сек до перехода зеленой окраски дитизона в розовую. Дитизонат свинца сливают в пробирку с притертой пробкой. Извлечение свинца повторяют до тех пор, пока очередная порция дитизона после встряхивания не получит сероватую окраску, характерную для смешанной окраски дитизоната свинца и дитизона. После этого повторяют извлечение еще 1 мл дитизона и, если зеленая окраска не исчезнет, то свинец извлечен полностью. Эту порцию дитизона отбрасывают. Объединенные вытяжки дитизоната свинца в пробирках доводят четыреххлористым углеродом до одинакового объема и перемешивают.
Оптическую плотность раствора измеряют на фотоэлектроколориметре с зеленым светофильтром (область светопропускания 530 нм) в кюветах с толщиной слоя 5 мм. В качестве раствора сравнения используют четыреххлористый углерод. Одновременно через весь ход анализа проводят контрольный опыт.
3.1. Построение калибровочного графика
В стаканчики вместимостью по 50 мл отмеривают пипеткой 0; 1; 3; 5; 7 и 10 мл стандартного раствора Б, что соответствует 0; 1; 3; 5; 7 и 10 мкг свинца, добавляют по одной капле фенолового красного, по 2 мл 1%-ного раствора гидроксиламина, по 5-6 капель лимоннокислого калия, по 1 мл 5%-ного раствора ферроцианида калия и, добавляя аммиак, разбавленный 1:3, устанавливают рН 8-9 по универсальной индикаторной бумаге. Затем раствор переводят в делительную воронку вместимостью 100-150 мл, добавляют 2-3 мл 0,005%-ного раствора дитизона и встряхивают до образования красного дитизоната свинца. Извлечение свинца проводят, как указано в разд.3.
По найденным значениям оптических плотностей и соответствующим им концентрациям свинца строят калибровочный график.
4. ПОДСЧЕТ РЕЗУЛЬТАТОВ АНАЛИЗА
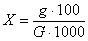
4.1. Содержание свинца () в процентах вычисляют по формулам:
при построении калибровочного графика
,
где: - количество свинца, найденное по калибровочному графику, в мг;
- навеска в г;
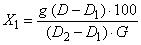
при сравнении со стандартным раствором
,
где: - количество свинца в колориметрируемом объеме стандартного раствора в г;
- оптическая плотность испытуемого раствора;
- оптическая плотность раствора контрольного опыта;
- оптическая плотность стандартного раствора свинца;
- навеска в г.
4.2. Допускаемые расхождения между результатами анализа не должны превышать величин, указанных в таблице.
Содержание свинца в % | Допускаемые расхождения между крайними результатами анализа в абс. % | |||
От | 0,001 | до | 0,004 | 0,0003 |
Св. | 0,004 | " | 0,008 | 0,0004 |
" | 0,008 | " | 0,01 | 0,0005 |
" | 0,01 | " | 0,02 | 0,001 |
" | 0,02 | " | 0,05 | 0,002 |
" | 0,05 | " | 0,07 | 0,005 |
" | 0,07 | " | 0,10 | 0,008 |
Электронный текст документа
подготовлен ЗАО "Кодекс" и сверен по:
официальное издание
/ Феррониобий. Методы химического анализа.
ГОСТ 15933.0-70-ГОСТ 15933.18-70: Сборник ГОСТов. -
М.: Издательство стандартов, 1970 год
Разместите заказ
сами сделают вам предложение
