ГОСТы сталей. ГОСТ 15933.15-70
ГОСТ 15933.15-70
Группа В19
ГОСУДАРСТВЕННЫЙ СТАНДАРТ СОЮЗА ССР
ФЕРРОНИОБИЙ
Метод определения содержания мышьяка
Ferroniobium. Method for the determination of arsenic content
Дата введения 1971-07-01
Постановлением Комитета стандартов, мер и измерительных приборов при Совете Министров СССР от 6/V 1970 г. N 626 срок введения установлен с 1/VII 1971 г.
Настоящий стандарт распространяется на феррониобий и устанавливает фотоколориметрический метод определения содержания мышьяка (при содержании мышьяка от 0,001 до 0,010%).
Метод основан на образовании молибденовой сини в результате взаимодействия пятивалентного мышьяка с молибденово-кислым аммонием в присутствии восстановителей.
Мышьяк отделяют от сопутствующих элементов отгонкой в виде треххлористого мышьяка.
Применение метода предусматривается в стандартах и технических условиях, устанавливающих технические требования на феррониобий.
1. ОБЩИЕ ТРЕБОВАНИЯ
1. ОБЩИЕ ТРЕБОВАНИЯ
1.1. Общие требования к методу анализа - по ГОСТ 15933.0-70.
2. АППАРАТУРА, РЕАКТИВЫ И РАСТВОРЫ
Аппарат для отгонки мышьяка (см. чертеж).

1 - дистилляционная колба вместимостью 100 мл; 2 - насадка с капельной воронкой; 3 - дефлегматор с соединительной трубкой; 4 - змеевиковый холодильник; 5 - барбатер; 6 - пробирка-приемник; 7 - электроплитка.
Платиновая чашка N 5 по ГОСТ 6563-58*.
________________
* На территории Российской Федерации документ не действует. Действует ГОСТ 6563-75. - Примечание изготовителя базы данных.
Кислота фтористоводородная (плавиковая кислота) по ГОСТ 10484-63*.
________________
* На территории Российской Федерации документ не действует. Действует ГОСТ 10484-78. - Примечание изготовителя базы данных.
Кислота азотная по ГОСТ 4461-67*.
________________
* На территории Российской Федерации документ не действует. Действует ГОСТ 4461-77. - Примечание изготовителя базы данных.
Кислота серная по ГОСТ 4204-66, разбавленная 1:1, и 6 н раствор.
Калий бромистый по ГОСТ 4160-65*.
________________
* На территории Российской Федерации документ не действует. Действует ГОСТ 4160-74. - Примечание изготовителя базы данных.
Гидразин солянокислый по ГОСТ 5856-65*.
________________
* Документ отменен без замены (ИУС 7-75). - Примечание изготовителя базы данных.
Гидразин сернокислый по ГОСТ 5841-65*.
________________
* На территории Российской Федерации документ не действует. Действует ГОСТ 5841-74. - Примечание изготовителя базы данных.
Натрия гидрат окиси (натр едкий) по ГОСТ 4328-66, 40 и 5%-ный растворы.
Спирт этиловый ректификованный по ГОСТ 5962-67.
Фенолфталеин по ГОСТ 5850-51*, 1%-ный спиртовой раствор; готовят следующим образом: 1 г фенолфталеина растворяют в 600 мл этилового спирта и смешивают с 40 мл воды.
________________
* На территории Российской Федерации документ не действует. Действуют ТУ 6-09-5360-87. Документ в информационных продуктах не содержится. За информацией о документе Вы можете обратиться в Службу поддержки пользователей. - Примечание изготовителя базы данных.
Олово двухлористое по ГОСТ 36-68*, 0,5%-ный свежеприготовленный водный раствор.
________________
* На территории Российской Федерации документ не действует. Действуют ТУ 6-09-5393-88. - Примечание изготовителя базы данных.
Натрий мышьяковистокислый, стандартные растворы.
Раствор А; готовят следующим образом: 0,132 г мышьяковистокислого ангидрида растворяют в 5 мл 5%-ного раствора едкого натра в мерной колбе вместимостью 100 мл, прибавляют 30 мл воды, затем добавляют разбавленную 1:1 соляную кислоту до слабокислой реакции по лакмусу и доливают водой до метки.
1 мл раствора А содержит 1 мг мышьяка.
Раствор Б; готовят следующим образом; отбирают пипеткой 1 мл раствора А в мерную колбу вместимостью 100 мл и доливают до метки водой.
1 мл раствора Б содержит 0,01 мг мышьяка.
Кислота соляная по ГОСТ 3118-67*, разбавленная 1:1.
________________
* На территории Российской Федерации документ не действует. Действует ГОСТ 3118-77. - Примечание изготовителя базы данных.
3. ПРОВЕДЕНИЕ АНАЛИЗА
Навеску феррониобия 1 г помещают в платиновую чашку, смачивают водой, добавляют 5-7 мл фтористоводородной кислоты и осторожно, по каплям, приливают 5 мл концентрированной азотной кислоты. Затем добавляют 10 мл разбавленной 1:1 серной кислоты и выпаривают раствор до начала выделения паров серного ангидрида. После охлаждения обмывают стенки чашки 5-10 мл воды и снова выпаривают раствор до выделения паров серного ангидрида. После охлаждения осторожно приливают 15 мл концентрированной соляной кислоты и переносят содержимое чашки вместе с осадком в дистилляционную колбу вместимостью 100 мл. Стенки чашки обмывают 15 мл воды. В колбу добавляют 0,5 г бромистого калия, 0,5 г сернокислого или солянокислого гидразина, 4-6 шт. фарфоровых бусинок, закрывают колбу пробкой с отводной трубкой, соединенной с холодильником, ставят на плитку и отгоняют треххлористый мышьяк. Дистиллят собирают в колбу вместимостью 100 мл, в которую налито 10 мл воды и опущена отводная трубка холодильника. Отгонку продолжают до тех пор, пока в колбу-приемник не перейдет 2/3 первоначального объема.
Полученный дистиллят нейтрализуют по фенолфталеину 40%-ным раствором едкого натра до малиновой окраски и затем подкисляют 6 н раствором серной кислоты до обесцвечивания. После охлаждения прибавляют по каплям 0,1%-ный раствор марганцовокислого калия до устойчивой розовой окраски, не исчезающей в течение 1 мин, прибавляют 4 мл молибденовокислого аммония и медленно, по каплям, приливают 0,5%-ный раствор хлористого олова до исчезновения розовой окраски марганцовокислого калия и 1 мл в избыток.
Раствор переносят в мерную колбу вместимостью 100 мл, доливают до метки водой и через 30 мин измеряют оптическую плотность раствора на фотоэлектроколориметре с красным светофильтром (максимум светопропускания 640-700 нм), в кювете с толщиной слоя 50 мм.
Раствором сравнения служит вода.
Одновременно проводят контрольный опыт на загрязнение реактивов.
3.1. Построение калибровочного графика
В шесть стаканов или конических колб вместимостью по 100 мл приливают пипеткой или микробюреткой по 0,5; 1,0; 1,5; 2,0; 2,5; 3,0 мл стандартного раствора Б, прибавляют по 10 мл воды и по каплям 0,1%-ный раствор марганцовокислого калия до не исчезающего в течение 1 мин розового окрашивания. Затем прибавляют по 4 мл молибденовокислого аммония и медленно, по каплям, 0,5%-ный раствор хлористого олова до исчезновения розовой окраски и 1 мл в избыток. Раствор переливают в мерную колбу вместимостью 100 мл, доливают до метки водой и перемешивают. Оптическую плотность раствора измеряют на фотоэлектроколориметре, как указано в разд.3.
По найденным значениям оптической плотности с учетом поправки контрольного опыта и соответствующим им концентрациям мышьяка строят калибровочный график.
4. ПОДСЧЕТ РЕЗУЛЬТАТОВ АНАЛИЗА
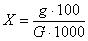
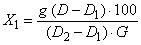
4.1. Содержание мышьяка () в процентах вычисляют по формулам:
при построении калибровочного графика
,
где: - количество мышьяка, найденное по калибровочному графику, в мг;
- навеска в г;
при сравнении со стандартным раствором мышьяка
,
где: - количество мышьяка в стандартном растворе в г;
- оптическая плотность испытуемого раствора;
- оптическая плотность раствора контрольного опыта;
- оптическая плотность стандартного раствора;
- навеска пробы в г.
4.2. Допускаемые расхождения между результатами анализа не должны превышать величин, указанных в таблице.
Содержание мышьяка в % | Допускаемые расхождения между крайними результатами анализа в абс. % | |||
От | 0,001 | до | 0,003 | 0,00050 |
Св. | 0,003 | " | 0,005 | 0,001 |
" | 0,005 | " | 0,010 | 0,002 |
Электронный текст документа
подготовлен АО "Кодекс" и сверен по:
официальное издание
/ Феррониобий. Методы химического анализа.
ГОСТ 15933.0-70-ГОСТ 15933.18-70: Сборник ГОСТов. -
М.: Издательство стандартов, 1970 год
Разместите заказ
сами сделают вам предложение
