ГОСТы сталей. ГОСТ 15933.14-70
ГОСТ 15933.14-70
Группа B19
ГОСУДАРСТВЕННЫЙ СТАНДАРТ СОЮЗА ССР
ФЕРРОНИОБИЙ
Метод определения содержания олова
Ferroniobium. Method for the determination of tin content
Дата введения 1971-07-01
Постановлением Комитета стандартов, мер и измерительных приборов при Совете Министров СССР от 6/V 1970 г. N 626 срок введения установлен с 1/VII 1971 г.
Настоящий стандарт распространяется на феррониобий и устанавливает фотоколориметрический метод определения содержания олова (при содержании олова от 0,005 до 0,10%).
Метод основан на образовании окрашенного в оранжево-красный цвет коллоидного соединения олова с паранитрофенилфлуороном, стабилизируемого желатиной. Отделение ниобия производят сплавлением с перекисью натрия, с последующим выщелачиванием плава насыщенным раствором хлористого натрия. Олово осаждают аммиаком вместе с алюминием, применяя в качестве коллектора алюмокалиевые квасцы.
Применение метода предусматривается в стандартах и технических условиях, устанавливающих технические требования на феррониобий.
1. ОБЩИЕ ТРЕБОВАНИЯ
1. ОБЩИЕ ТРЕБОВАНИЯ
1.1. Общие требования к методу анализа - по ГОСТ 15933.0-70.
2. АППАРАТУРА, РЕАКТИВЫ И РАСТВОРЫ
Перекись натрия.
Натрий хлористый по ГОСТ 4233-66*, насыщенный раствор.
________________
* На территории Российской Федерации документ не действует. Действует ГОСТ 4233-77. - Примечание изготовителя базы данных.
Кислота соляная по ГОСТ 3118-67*, разбавленная 1:1.
________________
* На территории Российской Федерации документ не действует. Действует ГОСТ 3118-77. - Примечание изготовителя базы данных.
Квасцы алюмокалиевые (алюминий-калий сернокислый) по ГОСТ 4329-68*, 1%-ный раствор.
________________
* На территории Российской Федерации документ не действует. Действует ГОСТ 4329-77. - Примечание изготовителя базы данных.
Аммиак водный по ГОСТ 3760-64*.
________________
* На территории Российской Федерации документ не действует. Действует ГОСТ 3760-79. - Примечание изготовителя базы данных.
Кислота серная по ГОСТ 4204-66, разбавленная 1:4.
Фенолфталеин по ГОСТ 5850-51*, 1%-ный спиртовой раствор.
________________
* На территории Российской Федерации документ не действует. Действуют ТУ 6-09-5360-87. Документ в информационных продуктах не содержится. За информацией о документе Вы можете обратиться в Службу поддержки пользователей. - Примечание изготовителя базы данных.
Калий марганцовокислый по ГОСТ 4527-65, 2,5%-ный раствор.
Аскорбиновая кислота (витамин С) по ГОСТ 4815-54*, 5%-ный раствор.
________________
* На территории Российской Федерации документ не действует. Действует Государственная фармакопея СССР Х издания, ст.6 (ИУС 11-82). - Примечание изготовителя базы данных.
Натрий уксуснокислый по ГОСТ 199-68*.
________________
* На территории Российской Федерации документ не действует. Действует ГОСТ 199-78. - Примечание изготовителя базы данных.
Кислота уксусная по ГОСТ 61-69*.
________________
* На территории Российской Федерации документ не действует. Действует ГОСТ 61-75. - Примечание изготовителя базы данных.
Буферный раствор; готовят следующим образом: 20 г уксуснокислого натрия растворяют при нагревании в 70 мл воды, прибавляют 70 мл уксусной кислоты и разбавляют водой до 200 мл.
Спирт этиловый ректификованный по ГОСТ 5962-67.
Желатина пищевая по ГОСТ 11293-65*, 0,5%-ный раствор.
________________
* На территории Российской Федерации документ не действует. Действует ГОСТ 11293-89. - Примечание изготовителя базы данных.
Паранитрофенилфлуорон, 0,05%-ный спиртовой раствор; готовят следующим образом: 0,025 г паранитрофенилфлуорона растворяют в 45 мл этилового спирта, прибавляют 1 мл разбавленной 1:1 соляной кислоты и, если плохо растворяется, слегка подогревают до полного растворения паранитрофенилфлуорона. После охлаждения доливают спиртом до 50 мл и перемешивают.
Стандартные солянокислые растворы олова.
Раствор А; готовят следующим образом: 0,1 г металлического олова растворяют в 30 мл соляной кислоты, разбавленной 1:1, при нагревании. После растворения переливают раствор в мерную колбу вместимостью 1 л, доливают до метки разбавленной 1:1 соляной кислотой и перемешивают.
1 мл раствора А содержит 0,1 мг олова.
Раствор Б; готовят следующим образом: 10 мл раствора А помещают в мерную колбу вместимостью 100 мл, приливают 20 мл разбавленной 1:1 соляной кислоты, доливают до метки водой и тщательно перемешивают.
1 мл раствора Б содержит 0,001 мг олова. Раствор готовят в день применения.
Стандартные сернокислые растворы олова.
Раствор А; готовят следующим образом: 0,1 г металлического олова растворяют при нагревании в 20 мл разбавленной 1:4 серной кислоты, раствор переносят в мерную колбу вместимостью 1 л, доливают до метки водой и перемешивают.
1 мл раствора А содержит 0,1 мг олова.
Раствор Б; готовят следующим образом: 1 мл раствора А переносят в мерную колбу вместимостью 100 мл, приливают 5 мл разбавленной 1:4 серной кислоты, доливают до метки водой и перемешивают.
1 мл раствора Б содержит 0,001 мг олова.
3. ПРОВЕДЕНИЕ АНАЛИЗА
Навеску феррониобия 1 г помещают в железный тигель, прибавляют 5-7 г перекиси натрия, перемешивают стеклянной палочкой и сплавляют в муфельной печи при 850-900 °С. После охлаждения тигель помещают в стакан вместимостью 250-300 мл, приливают 30 мл насыщенного раствора хлористого натрия и сразу закрывают стакан часовым стеклом. Когда закончится бурная реакция, стекло снимают, ополаскивают его над стаканом водой, вынимают тигель и обмывают его струей воды из промывалки. Стакан ставят на плиту и кипятят его содержимое в течение 3-5 мин для разрушения перекиси натрия. После охлаждения содержимое стакана переливают в мерную колбу вместимостью 100 мл, доливают до метки водой и хорошо перемешивают. Когда раствор отстоится, его фильтруют через сухой фильтр "синяя лента". Первые порции фильтрата отбрасывают. Аликвотную часть 25 мл помещают в колбу вместимостью 100 мл, нейтрализуют по фенолфталеину, разбавленной 1:1 соляной кислотой до кислой реакции, приливают 5 мл 1%-ного раствора алюмокалиевых квасцов и осаждают олово аммиаком вместе с суммой гидроокисей, добавляя аммиак до появления запаха. Раствор кипятят в течение 2-3 мин для лучшей коагуляции осадка и затем фильтруют через фильтр "красная лента". Осадок гидроокисей промывают на фильтре 6-7 раз горячей водой, после чего струей воды из промывалки смывают осадок с фильтра в тот же стакан, в котором производилось осаждение осадка. Фильтр промывают 2-3 раза горячей разбавленной 1:1 соляной кислотой и 6-8 раз горячей водой. К раствору приливают 5 мл разбавленной 1:4 серной кислоты и выпаривают до начала выделения паров серного ангидрида, затем приливают 10 мл воды и после растворения солей отфильтровывают через гигроскопическую вату осадок кремниевой кислоты. Ватный фильтр промывают 5-6 раз горячей водой и осадок отбрасывают. Раствор нейтрализуют аммиаком по фенолфталеину до появления розовой окраски, приливают по каплям разбавленную 1:4 серную кислоту до исчезновения розовой окраски и в избыток 5 мл. После этого прибавляют 3-5 капель 2,5%-ного раствора марганцовокислого калия для окисления олова и сурьмы, оставляют раствор на 3 мин, прибавляют 1 мл 5%-ного раствора аскорбиновой кислоты, 10 мл буферного раствора, 5 мл этилового спирта, 1 мл 0,5%-ного раствора желатины и 2 мл 0,05%-ного раствора паранитрофенилфлуорона. После прибавления каждого реактива раствор хорошо перемешивают. Затем переливают раствор в мерную колбу вместимостью 100 мл, доливают до метки водой и тщательно перемешивают. Через 40-60 мин измеряют оптическую плотность раствора на фотоэлектроколориметре с зеленым светофильтром (область светопропускания 508 нм) в кювете с толщиной слоя 30 мм. В качестве раствора сравнения применяют воду.
Одновременно проводят контрольный опыт на загрязнение реактивов.
3.1. Построение калибровочного графика
В колбы вместимостью по 100 мл отбирают пипеткой 1,0; 2,0; 3,0; 4,0 и 5,0 мл стандартного раствора Б, что соответствует 10, 20, 30, 40 и 50 мкг олова, приливают по 1 мл концентрированной серной кислоты, нагревают до начала выделения паров серного ангидрида, охлаждают, приливают 15-20 мл воды и перемешивают, после чего прибавляют одну каплю фенолфталеина, нейтрализуют аммиаком до окрашивания раствора в розовый цвет, прибавляют 5 мл разбавленной 1:4 серной кислоты и далее поступают, как указано в разд.3.
По найденным значениям оптической плотности с учетом поправки контрольного опыта на содержание олова в реактивах и соответствующим им концентрациям олова строят калибровочный график.
4. ПОДСЧЕТ РЕЗУЛЬТАТОВ АНАЛИЗА
4.1. Содержание олова в феррониобии () в процентах вычисляют по формулам:
при построении калибровочного графика
,
где: - количество олова, найденное по калибровочному графику, в мг;
- общий объем испытуемого раствора в мл;
- объем аликвотной части раствора, взятый для колориметрирования, в мл;
- навеска пробы в г;
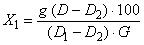
при сравнении со стандартным раствором олова
,
где: - количество олова в стандартном растворе, взятом для колориметрирования, в г;
- оптическая плотность испытуемого раствора;
- оптическая плотность стандартного раствора;
- оптическая плотность раствора контрольного опыта;
- навеска, соответствующая колориметрируемой части раствора, в г.
4.2. Допускаемые расхождения между результатами анализа не должны превышать величин, указанных в таблице.
Содержание олова в % | Допускаемые расхождения между крайними результатами анализа в абс. % | |||
От | 0,005 | до | 0,010 | 0,0010 |
Св. | 0,010 | " | 0,03 | 0,0030 |
" | 0,03 | " | 0,05 | 0,0050 |
" | 0,05 | " | 0,10 | 0,0100 |
Электронный текст документа
подготовлен АО "Кодекс" и сверен по:
официальное издание
Феррониобий. Методы химического анализа.
ГОСТ 15933.0-70-ГОСТ 15933.18-70: Сборник ГОСТов. -
М.: Издательство стандартов, 1970 год
Разместите заказ
сами сделают вам предложение
