ГОСТы сталей. ГОСТ 15933.13-70
ГОСТ 15933.13-70
Группа В19
ГОСУДАРСТВЕННЫЙ СТАНДАРТ СОЮЗА ССР
ФЕРРОНИОБИЙ
Метод определения содержания висмута
Ferroniobium. Method for the determination of bismuth content
Дата введения 1971-07-01
Постановлением Комитета стандартов, мер и измерительных приборов при Совете Министров СССР от 6/V 1970 г. N 626 срок введения установлен с 1/VII 1971 г.
Настоящий стандарт распространяется на феррониобий и устанавливает фотоколориметрический метод определения содержания висмута (при содержании висмута от 0,002 до 0,10%).
Метод основан на образовании желтого комплексного соединения висмута с йодистым калием. От основных элементов висмут отделяют едким натром в присутствии перекиси водорода. Для восстановления железа применяют сульфит натрия.
Применение метода предусматривается в стандартах и технических условиях, устанавливающих технические требования на феррониобий.
1. ОБЩИЕ ТРЕБОВАНИЯ
1. ОБЩИЕ ТРЕБОВАНИЯ
1.1. Общие требования к методу анализа - по ГОСТ 15933.0-70.
2. АППАРАТУРА, РЕАКТИВЫ И РАСТВОРЫ
Фотоэлектроколориметр.
Кислота фтористоводородная (плавиковая кислота) по ГОСТ 10484-63*.
________________
* На территории Российской Федерации документ не действует. Действует ГОСТ 10484-78. - Примечание изготовителя базы данных.
Кислота азотная по ГОСТ 4461-67* и разбавленная 1:1.
________________
* На территории Российской Федерации документ не действует. Действует ГОСТ 4461-77. - Примечание изготовителя базы данных.
Кислота серная по ГОСТ 4204-66 и разбавленная 1:1, 1:4 и 1:9.
Водорода перекись (пергидроль) по ГОСТ 10929-64*.
________________
* На территории Российской Федерации документ не действует. Действует ГОСТ 10929-76. - Примечание изготовителя базы данных.
Натрия гидрат окиси (натр едкий) по ГОСТ 4328-66, 50 и 1%-ный раствор.
Кислота соляная по ГОСТ 3118-67* и разбавленная 1:1.
________________
* На территории Российской Федерации документ не действует. Действует ГОСТ 3118-77. - Примечание изготовителя базы данных.
Калий йодистый по ГОСТ 4232-65*, 10%-ный раствор.
________________
* На территории Российской Федерации документ не действует. Действует ГОСТ 4232-74. - Примечание изготовителя базы данных.
Натрий сернистокислый (сульфит натрия) кристаллический по ГОСТ 429-66*, 10%-ный раствор.
________________
* На территории Российской Федерации документ не действует. Действует ТУ 6-09-5313-86. Документ в информационных продуктах не содержится. За информацией о документе Вы можете обратиться в Службу поддержки пользователей. - Примечание изготовителя базы данных.
1 мл раствора А содержит 0,1 мг висмута.
Раствор Б; готовят десятикратным разбавлением раствора А разбавленной 1:9 серной кислотой.
1 мл раствора Б содержит 0,01 мг висмута.
Чашка платиновая N 5 по ГОСТ 6563-58*.
________________
* На территории Российской Федерации документ не действует. Действует ГОСТ 6563-75. - Примечание изготовителя базы данных.
3. ПРОВЕДЕНИЕ АНАЛИЗА
Навеску феррониобия 0,5 г помещают в платиновую чашку, смачивают водой, приливают 5-7 мл фтористоводородной кислоты и осторожно по каплям приливают концентрированную азотную кислоту до полного растворения пробы, избегая бурного вспенивания и избытка кислоты. Затем приливают 15 мл концентрированной серной кислоты и выпаривают раствор до начала выделения паров серной кислоты. После охлаждения содержимое чашки сливают в стакан вместимостью 150-200 мл, тщательно обмывают чашку водой и приливают 3-5 мл 30%-ного раствора перекиси водорода. В прозрачный раствор при перемешивании приливают 50%-ный раствор едкого натра до образования осадка и в избыток 15-20 мл, после чего раствор кипятят 3-5 мин и дают отстояться. Фильтруют осадок на фильтр "белая лента" и промывают 5-6 раз горячим 1%-ным раствором едкого натра. При этом большая часть ниобия, олова, сурьмы и частично свинец переходят в раствор, а висмут и железо остаются в осадке. Осадок на фильтре растворяют горячей разбавленной 1:1 соляной кислотой, собирая раствор в тот же стакан, в котором производилось осаждение едким натром. Фильтр промывают 8-10 раз горячей водой. К раствору приливают 5-7 мл 30%-ного раствора перекиси водорода и вторично производят осаждение едким натром. Затем раствор кипятят 3-5 мин, дают отстояться, после чего осадок отфильтровывают на фильтр "белая лента" и промывают 6-8 раз горячим 1%-ным раствором едкого натра. Снова растворяют осадок на фильтре горячей, разбавленной 1:1 соляной кислотой, промывают фильтр 6-8 раз горячей водой и выпаривают раствор до 8-10 мл. Раствор переливают в мерную колбу вместимостью 100 мл (если раствор мутный, то его фильтруют и фильтр промывают водой), приливают 5 мл 10%-ного раствора йодистого калия и осторожно по каплям прибавляют 10%-ный раствор сульфита натрия до обесцвечивания раствора. Затем доливают раствор водой до метки и фотометрируют на фотоэлектроколориметре с синим светофильтром (область светопропускания 450 нм) в кювете с толщиной слоя 50 мм. Комплекс висмута с йодистым калием развивается очень быстро, поэтому фотометрировать можно сразу, тем более что при стоянии растворы мутнеют. Если перед фотометрированием появится муть, то ее необходимо отфильтровать через сухой фильтр в сухую колбу.
Раствором сравнения служит вода. Одновременно через все стадии анализа проводят контрольный опыт на содержание висмута в реактивах.
3.1. Построение калибровочного графика
В мерные колбы вместимостью по 100 мл пипеткой отмеривают 0,5; 1,0; 2,0; 3,0; 4,0 и 5,0 мл стандартного раствора Б, что соответствует 5, 10, 20, 30, 40 и 50 мкг висмута, приливают 15-20 мл воды, 5 мл разбавленной 1:4 серной кислоты, 10 мл 10%-ного раствора йодистого калия, одну каплю 10%-ного раствора сульфита натрия, доливают до метки водой и перемешивают.
Оптическую плотность раствора измеряют на фотоэлектроколориметре с синим светофильтром (область светопропускания 450 нм) в кювете с толщиной слоя 50 мм. В качестве раствора сравнения применяют воду. По полученным значениям оптических плотностей и соответствующим им концентрациям висмута строят калибровочный график.
4. ПОДСЧЕТ РЕЗУЛЬТАТОВ АНАЛИЗА
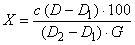
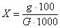
4.1. Содержание висмута в феррониобии () в процентах вычисляют по формулам:
при построении калибровочного графика
,
где: - количество висмута, найденное по калибровочному графику, в мг;
- навеска, соответствующая аликвотной части раствора, взятой для колориметрирования, в г;
при сравнении со стандартным раствором висмута
,
где: - содержание висмута в стандартном растворе, близком по оптической плотности к анализируемому раствору, в г;
- оптическая плотность анализируемого раствора;
- оптическая плотность раствора контрольного опыта;
- оптическая плотность стандартного раствора;
- навеска, соответствующая колориметрируемой части раствора, в г.
4.2. Допускаемые расхождения между результатами анализа не должны превышать величин, указанных в таблице.
Содержание висмута в % | Допускаемые расхождения между крайними результатами анализа в абс. % | |||
От | 0,002 | до | 0,005 | 0,0003 |
Св. | 0,005 | " | 0,010 | 0,0005 |
" | 0,010 | " | 0,020 | 0,0010 |
" | 0,020 | " | 0,030 | 0,0020 |
" | 0,030 | " | 0,050 | 0,0035 |
" | 0,050 | " | 0,10 | 0,0050 |
Электронный текст документа
подготовлен АО "Кодекс" и сверен по:
официальное издание
Феррониобий. Методы химического анализа.
ГОСТ 15933.0-70-ГОСТ 15933.18-70: Сборник ГОСТов. -
М.: Издательство стандартов, 1970 год
Разместите заказ
сами сделают вам предложение
