ГОСТы сталей. ГОСТ 15933.12-70
ГОСТ 15933.12-70
Группа В19
ГОСУДАРСТВЕННЫЙ СТАНДАРТ СОЮЗА ССР
ФЕРРОНИОБИЙ
Метод определения содержания кобальта
Ferroniobium. Method for the determination of cobalt content
Дата введения 1971-07-01
Постановлением Комитета стандартов, мер и измерительных приборов при Совете Министров СССР от 6/V 1970 г. N 626 срок введения установлен с 1/VII 1971 г.
Настоящий стандарт распространяется на феррониобий и устанавливает фотоколориметрический метод определения содержания кобальта (при содержании кобальта от 0,005 до 0,10%).
Метод основан на образовании в уксуснокислом растворе комплексного соединения кобальта с нитрозо-Р-солью (1-нитрозо-2 нафтол-3,6-дисульфокислота, двунатриевая соль), окрашенного в розовый цвет. Мешающее влияние ниобия устраняют добавлением фторидов, при этом ниобий связывается в комплекс, а мешающее влияние железа, меди и никеля устраняют кипячением раствора с азотной кислотой.
Применение метода предусматривается в стандартах и технических условиях, устанавливающих технические требования на феррониобий.
1. ОБЩИЕ ТРЕБОВАНИЯ
1. ОБЩИЕ ТРЕБОВАНИЯ
1.1. Общие требования к методу анализа - по ГОСТ 15933.0-70.
2. АППАРАТУРА, РЕАКТИВЫ И РАСТВОРЫ
Кислота фтористоводородная (плавиковая кислота) по ГОСТ 10484-63*.
________________
* На территории Российской Федерации документ не действует. Действует ГОСТ 10484-78. - Примечание изготовителя базы данных.
Кислота азотная по ГОСТ 4461-67* и разбавленная 1:1.
________________
* На территории Российской Федерации документ не действует. Действует ГОСТ 4461-77. - Примечание изготовителя базы данных.
Кислота серная по ГОСТ 4204-66 и разбавленная 1:4.
Кислота соляная по ГОСТ 3118-67*.
________________
* На территории Российской Федерации документ не действует. Действует ГОСТ 3118-77. - Примечание изготовителя базы данных.
Аммиак водный по ГОСТ 3760-64*.
________________
* На территории Российской Федерации документ не действует. Действует ГОСТ 3760-79. - Примечание изготовителя базы данных.
Натрий уксуснокислый по ГОСТ 199-68*, 50%-ный раствор.
________________
* На территории Российской Федерации документ не действует. Действует ГОСТ 199-78. - Примечание изготовителя базы данных.
Нитрозо-Р-соль, 0,1%-ный раствор.
Кобальт хлористый по ГОСТ 4525-68*.
________________
* На территории Российской Федерации документ не действует. Действует ГОСТ 4525-77. - Примечание изготовителя базы данных.
Кобальт сернокислый по ГОСТ 4462-68*.
________________
* На территории Российской Федерации документ не действует. Действует ГОСТ 4462-78. - Примечание изготовителя базы данных.
Стандартные растворы кобальта.
Раствор А; готовят следующим образом: 0,1 г металлического кобальта растворяют в 20 мл разбавленной 1:4 соляной кислоты в присутствии нескольких капель концентрированной азотной кислоты. Раствор кипятят до прекращения выделения окислов азота, переливают его в мерную колбу вместимостью 1 л, доливают до метки водой и перемешивают.
1 мл раствора А содержит 0,1 мг кобальта.
Раствор Б; готовят следующим образом: отбирают пипеткой 10 мл раствора А, помещают его в мерную колбу вместимостью 100 мл, доливают до метки водой и перемешивают.
1 мл раствора Б содержит 0,01 мг кобальта.
Стандартные растворы можно приготовить из хлористой или сернокислой соли кобальта.
Раствор А; готовят следующим образом: 0,8074 г хлористого кобальта (СоСl·6Н
О) или 0,9538 г сернокислого кобальта (CoSО
·7Н
О) растворяют в 0,02 н растворе серной кислоты в мерной колбе вместимостью 1 л, доливают до метки 0,02 н раствором серной кислоты и перемешивают.
1 мл раствора А содержит 0,2 мг кобальта.
Раствор Б; готовят следующим образом: отбирают пипеткой 5 мл раствора А, помещают в мерную колбу вместимостью 100 мл, доливают до метки 0,02 н раствором серной кислоты и перемешивают.
1 мл раствора Б содержит 0,01 мг кобальта.
3. ПРОВЕДЕНИЕ АНАЛИЗА
Навеску феррониобия 1 г помещают в платиновую чашку, приливают 5-7 мл фтористоводородной кислоты и осторожно, по каплям, 5 мл концентрированной азотной кислоты. Стенки чашки обмывают водой, после чего приливают 10 мл концентрированной серной кислоты и выпаривают раствор до выделения густых паров серной кислоты. После охлаждения приливают 10 мл концентрированной соляной кислоты, 1-2 мл раствора фтористоводородной кислоты и нагревают до полного просветления раствора. Затем раствор переносят в мерную колбу вместимостью 100 мл, охлаждают, доливают до метки водой и перемешивают.
Отбирают аликвотную часть 25 мл и нейтрализуют аммиаком до появления осадка, который растворяют в разбавленной 1:4 серной кислоте, добавляя ее по каплям из бюретки. При этом может остаться нерастворившимся белый осадок гидрата окиси ниобия. Затем приливают 5 мл 50%-ного раствора уксуснокислого натрия, нагревают раствор до кипения и кипятят 3-5 мин до выпадения в осадок гидрата окиси железа. После этого приливают 10 мл 0,1%-ного раствора ниторозо-Р-соли и снова кипятят 1 мин для образования комплексного соединения кобальта с нитрозо-Р-солью.
Образовавшийся осадок растворяют в 10 мл концентрированной азотной кислоты, приливая ее до просветления раствора, и кипятят в течение 1 мин для разрушения комплексных соединений сопутствующих элементов (железо, никель, медь). После охлаждения раствор переливают в мерную колбу вместимостью 100 мл, доливают до метки водой и перемешивают. Если раствор остается мутным, то его отфильтровывают через сухой фильтр.
Оптическую плотность раствора измеряют на фотоэлектроколориметре с зеленым светофильтром (область светопропускания 508 нм) в кювете с толщиной слоя 50 мм.
В качестве раствора сравнения применяют воду.
Одновременно проводят контрольный опыт на загрязнение реактивов.
3.1. Построение калибровочного графика
В мерные колбы вместимостью по 100 мл отмеривают пипеткой 0,5; 1,0; 1,5; 2,5; 3,0; 4,0; 5,0 мл стандартного раствора Б, что соответствует 5; 10; 15; 25; 30; 40 и 50 мкг кобальта, приливают по 10 мл воды, около 0,5 мл фтористоводородной кислоты и нейтрализуют по лакмусу аммиаком до щелочной реакции. Избыток аммиака нейтрализуют из бюретки по каплям разбавленной 1:4 серной кислотой до изменения синей окраски лакмусовой бумаги в розовую. Затем прибавляют 5 мл 50%-ного раствора уксуснокислого натрия и далее поступают, как указано в разд.3.
По найденным значениям оптических плотностей растворов и соответствующим им концентрациям кобальта строят калибровочный график.
4. ПОДСЧЕТ РЕЗУЛЬТАТОВ АНАЛИЗА
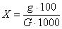
4.1. Содержание кобальта () в процентах вычисляют по формулам:
при построении калибровочного графика
,
где: - количество кобальта, найденное по калибровочному графику, в мг;
- навеска, соответствующая аликвотной части раствора, взятой для колориметрирования, в г;
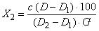
при сравнении со стандартным раствором кобальта
,
где: - содержание кобальта в стандартном образце в %;
- оптическая плотность исследуемого раствора;
- оптическая плотность раствора контрольного опыта;
- оптическая плотность раствора стандартного образца.
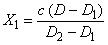
При отсутствии стандартного образца с известным содержанием кобальта его содержание можно вычислить по стандартному раствору кобальта по формуле:
,
где: - содержание кобальта в стандартном растворе, близком по оптической плотности к анализируемому раствору, в г;
- оптическая плотность исследуемого раствора;
- оптическая плотность раствора контрольного опыта;
- оптическая плотность стандартного раствора кобальта;
- навеска пробы в г.
4.2. Допускаемые расхождения между результатами анализа не должны превышать величин, указанных в таблице.
Содержание кобальта в % | Допускаемые расхождения между крайними результатами анализа в абс. % | |||
От | 0,005 | до | 0,010 | 0,003 |
Св. | 0,010 | " | 0,020 | 0,004 |
" | 0,020 | " | 0,050 | 0,005 |
" | 0,050 | " | 0,070 | 0,007 |
" | 0,070 | " | 0,100 | 0,010 |
Электронный текст документа
подготовлен АО "Кодекс" и сверен по:
официальное издание
Феррониобий. Методы химического анализа.
ГОСТ 15933.0-70-ГОСТ 15933.18-70: Сборник ГОСТов. -
М.: Издательство стандартов, 1970 год
Разместите заказ
сами сделают вам предложение
