ГОСТы сталей. ГОСТ 14638.9-84
ГОСТ 14638.9-84
(СТ СЭВ 4043-83)
Группа В19
ГОСУДАРСТВЕННЫЙ СТАНДАРТ СОЮЗА ССР
ФЕРРОВОЛЬФРАМ
Методы определения меди
Ferrotungsten. Methods for determination of copper content
ОКСТУ 0809
Срок действия с 01.07.85
до 01.07.90*
_______________________________
* Ограничение срока действия снято по протоколу N 4-93
Межгосударственного Совета по стандартизации,
метрологии и сертификации (ИУС N 4, 1994 год). -
Примечание изготовителя базы данных.
РАЗРАБОТАН Министерством черной металлургии СССР
ИСПОЛНИТЕЛИ
Н.П.Поздеев, канд. техн. наук; Н.А.Чирков, канд. техн. наук; В.Л.Зуева; Е.М.Познякова; П.Ф.Агафонов; Л.М.Клейнер; Г.И.Гусева
ВНЕСЕН Министерством черной металлургии СССР
Член Коллегии В.Г.Антипин
УТВЕРЖДЕН И ВВЕДЕН В ДЕЙСТВИЕ Постановлением Государственного комитета СССР по стандартам от 22 мая 1984 г. N 1698
ВЗАМЕН ГОСТ 14638.9-69
ВНЕСЕНО Изменение N 1, утвержденное и введенное в действие Постановлением Государственного комитета СССР по управлению качеством продукции и стандартам от 30.10.89 N 3261 с 01.07.90
Изменение N 1 внесено изготовителем базы данных по тексту ИУС N 2, 1990 год
Настоящий стандарт устанавливает фотометрический, полярографический и атомно-абсорбционный методы определения в ферровольфраме массовой доли меди в диапазоне от 0,01 до 0,4%.
Стандарт полностью соответствует СТ СЭВ 4043-83.
1. ОБЩИЕ ТРЕБОВАНИЯ
1. ОБЩИЕ ТРЕБОВАНИЯ
1.1. Общие требования к методам анализа - по ГОСТ 27349-87.
1.2. Лабораторная проба должна быть приготовлена в виде тонкого порошка с размером частиц, проходящих через сито с сеткой N 016 по ГОСТ 6613-86.
1.1, 1.2. (Измененная редакция, Изм. N 1).
2. ФОТОМЕТРИЧЕСКИЙ МЕТОД
2.1. Сущность метода
Метод основан на образовании комплексного соединения меди с диэтилдитиокарбаматом натрия, окрашенного в коричневый цвет, и измерении его оптической плотности на спектрофотометре при длине волны 453 нм или фотоэлектроколориметре в диапазоне длин волн 400-480 нм.
2.2. Аппаратура, реактивы и растворы
Спектрофотометр или фотоэлектроколориметр со всеми принадлежностями.
Кислота соляная по ГОСТ 3118-77 и разбавленная 1:50.
Кислота азотная по ГОСТ 4461-77 и разбавленная 1:1.
Кислота фтористоводородная по ГОСТ 10484-78.
Кислота серная по ГОСТ 4204-77 и разбавленная 1:1.
Калий-натрий виннокислый по ГОСТ 5845-79, раствор с массовой долей 50%.
Крахмал по ГОСТ 10163-76, свежеприготовленный раствор с массовой долей 0,25%.
Желатин по ГОСТ 23058-78*, свежеприготовленный раствор с массовой долей 1%.
______________
* На территории Российской Федерации действует ГОСТ 23058-89, здесь и далее по тексту. - Примечание изготовителя базы данных.
Аммиак водный по ГОСТ 3760-79.
Натрия N, N-диэтилдитиокарбамат по ГОСТ 8864-71, раствор с массовой долей 0,1%.
Медь металлическая по ГОСТ 859-78*.
______________
* На территории Российской Федерации действует ГОСТ 859-2001, здесь и далее по тексту. - Примечание изготовителя базы данных.
Стандартные растворы меди.
Раствор А: 0,1000 г металлической меди растворяют при нагревании в 10 см разбавленной азотной кислоты. Добавляют 30 см
разбавленной серной кислоты и выпаривают до появления паров серной кислоты. Соли растворяют в 100 см
воды. Раствор переносят в мерную колбу вместимостью 1 дм
, доливают водой до метки и перемешивают.
Массовая концентрация меди в растворе А равна 0,0001 г/см.
Раствор Б: 10 см раствора А помещают в мерную колбу вместимостью 100 см
, доливают водой до метки и перемешивают.
Массовая концентрация меди в растворе Б равна 0,00001 г/см; готовят в день применения.
(Измененная редакция, Изм. N 1).
2.3. Проведение анализа
2.3.1. Массу навески ферровольфрама устанавливают в зависимости от ожидаемой массовой доли меди в соответствии с табл.1.
Таблица 1
Массовая доля меди, % | Масса навески пробы, г | Объем аликвотной части раствора пробы, см |
От 0,01 до 0,05 включ. | 1,0 | 20 |
Св. 0,05 " 0,1 " | 1,0 | 10 |
" 0,1 " 0,2 " | 0,5 | 10 |
" 0,2 " 0,4 " | 0,2 | 10 |
Навеску помещают в фарфоровый тигель и прокаливают 2 ч при температуре 800 °С. Во время прокаливания содержимое тигля 2-3 раза перемешивают. Прокаленный осадок переносят в коническую колбу вместимостью 250 см, приливают 60 см
соляной кислоты и выпаривают раствор до объема 10-15 см
, затем приливают 10 см
азотной кислоты и снова выпаривают раствор до объема 10-15 см
. Приливают 100 см
горячей воды и нагревают раствор до кипения. Осадку вольфрамовой кислоты дают отстояться в течение 2 ч.
При анализе алюминотермического ферровольфрама навеску помещают в платиновую чашку, смачивают водой, приливают 5 см азотной кислоты, 5 см
раствора фтористоводородной кислоты, 10 см
серной кислоты и растворяют при нагревании.
Раствор выпаривают до появления паров серной кислоты. Соли растворяют в 20 см воды. Раствор переносят в стакан вместимостью 250 см
, приливают 100 см
горячей воды и нагревают до кипения. Осадку вольфрамовой кислоты дают отстояться в течение 2 ч.
После разложения навески любым из вышеуказанных способов раствор фильтруют в колбу через плотный фильтр, осадок на фильтре промывают 3-4 раза горячей разбавленной соляной кислотой и отбрасывают.
К фильтрату приливают 10 см серной кислоты (в случае анализа алюминотермического ферровольфрама серную кислоту не приливают) и выпаривают содержимое колбы до появления паров серной кислоты. Ополаскивают стенки колбы водой и снова выпаривают раствор до появления паров серной кислоты.
Раствор охлаждают, приливают 20 см воды, нагревают до растворения солей и переливают в мерную колбу вместимостью 100 см
, после чего доливают до метки водой и перемешивают.
В две мерные колбы вместимостью по 100 см отбирают аликвотные части раствора в соответствии с табл.1. В каждую мерную колбу приливают по 5 см
раствора виннокислого калия-натрия, по 5 см
раствора крахмала или желатина, по 10 см
аммиака. Содержимое колб охлаждают, в одну из колб добавляют 4 см
раствора диэтилдитиокарбамата натрия, доливают колбы до метки водой и перемешивают.
Измеряют оптическую плотность раствора на спектрофотометре при длине волны 453 нм или на фотоэлектроколориметре в диапазоне длин волн 400-480 нм.
В качестве раствора сравнения применяют раствор второй колбы, не содержащей раствора диэтилдитиокарбамата натрия. По результатам, полученным путем вычитания значения оптической плотности раствора контрольного опыта, из значения оптической плотности раствора пробы находят массу меди по градуирово
чному графику.
2.3.2. Построение градуировочного графика
В шесть из семи мерных колб вместимостью по 100 см помещают 1,0; 3,0; 6,0; 8,0; 10,0 и 12,0 см
стандартного раствора Б, что соответствует 0,00001; 0,00003; 0,00006; 0,00008; 0,00010 и 0,00012 г меди. В седьмую колбу стандартный раствор не помещают. Во все колбы добавляют по 5 см
раствора виннокислого калия-натрия, по 5 см
раствора крахмала или желатина и по 10 см
аммиака. Содержимое колб охлаждают, приливают до 4 см
раствора диэтилдитиокарбамата натрия, доливают до метки водой и перемешивают. Измеряют оптическую плотность растворов на спектрофотометре при длине волны 453 нм или фотоэлектроколориметре в диапазоне длин волн 400-480 нм. Раствором сравнения служит раствор, не содержащий стандартного раствора меди. По полученным значениям оптических плотностей и соответствующим им содержаниям меди строят градуировочный график.
2.4. Обработка результатов
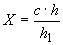
2.4.1. Массовую долю меди () в процентах вычисляют по формуле
,
где - масса меди в растворе пробы, найденная по градуировочному графику, г;
- масса навески, соответствующая аликвотной части раствора пробы, г.
2.4.2. Нормы точности и нормативы контроля точности определения массовой доли меди приведены в табл.2.
Таблица 2
Допускаемые расхождения, % | |||||
Массовая доля меди, % | Погрешность результатов анализа, % | двух средних результатов анализа, выполненных | двух параллельных определений | трех параллельных определений | результатов анализа стандартного образца и аттестованного значения |
От 0,01 до 0,02 включ. | 0,06 | 0,007 | 0,006 | 0,007 | 0,004 |
Св. 0,02 " 0,05 " | 0,01 | 0,01 | 0,01 | 0,01 | 0,005 |
" 0,05 " 0,1 " | 0,02 | 0,02 | 0,02 | 0,02 | 0,01 |
" 0,1 " 0,2 " | 0,02 | 0,03 | 0,02 | 0,03 | 0,02 |
" 0,2 " 0,4 " | 0,03 | 0,04 | 0,03 | 0,04 | 0,02 |
(Измененная редакция, Изм. N 1).
3. ПОЛЯРОГРАФИЧЕСКИЙ МЕТОД
3.1. Сущность метода
Метод основан на полярографировании меди на аммиачно-хлоридном фоне при потенциале восстановления минус 0,35 В относительно ртутного анода. Режим полярографирования - переменнотоковый или осциллографический.
3.2. Аппаратура, реактивы и растворы
Полярограф переменнотоковый или осциллографический со всеми принадлежностями.
Кислота фтористоводородная по ГОСТ 10484-78.
Кислота азотная по ГОСТ 4461-77, разбавленная 1:1.
Кислота серная по ГОСТ 4204-77, разбавленная 1:1.
Аммоний хлористый по ГОСТ 3773-72.
Аммиак водный по ГОСТ 3760-79.
Натрий сернистокислый по ГОСТ 195-77.
Желатин по ГОСТ 23058-78, свежеприготовленный раствор с массовой долей 1%.
Медь металлическая по ГОСТ 859-78.
Стандартный раствор меди: 0,1000 г меди при нагревании растворяют в 15 см азотной кислоты. Раствор переносят в мерную колбу вместимостью 1 дм
, доливают водой до метки и перемешивают.
Массовая концентрация меди в стандартном растворе равна 0,0001 г/см.
(Измененная редакция, Изм. N 1).
3.3. Проведение анализа
3.3.1. Навеску ферровольфрама массой 0,5 г при массовой доле меди 0,01-0,1% и массой 0,25 г при массовой доле меди свыше 0,1% помещают в платиновую чашку, прибавляют 5-10 см раствора фтористоводородной кислоты, 20 см
азотной кислоты и растворяют при нагревании. После растворения навески приливают 10 см
серной кислоты и выпаривают раствор до появления паров серной кислоты, которым дают выделяться 3-5 мин. Содержимое чашки охлаждают, приливают 25 см
воды, нагревают до растворения солей и переносят в мерную колбу вместимостью 100 см
. К полученному раствору прибавляют 3 г хлористого аммония, приливают при непрерывном перемешивании 30 см
аммиака и оставляют на 10 мин. Затем добавляют 5 см
раствора желатина (в случае переменнотокового режима желатин не добавляют), доводят объем раствора до метки водой и перемешивают. Аммиачный раствор отфильтровывают через фильтр средней плотности в сухую колбу. Первые порции фильтрата отбрасывают. К фильтрату прибавляют 1 г сернистокислого натрия и оставляют на 10 мин, периодически перемешивая.
Часть раствора наливают в электролизер и полярографируют при потенциале восстановления минус 0,35 В относительно ртутного анода.
Одновременно с проведением анализа в тех же условиях проводят контрольный опыт на загрязнение реактивов медью
.
3.3.2. Массовую долю меди определяют методом сравнения со стандартным образцом или методом добавок.
3.3.2.1. При применении метода сравнения одновременно с проведением анализа испытуемых проб по п.3.3.1 проводят анализ стандартного образца, близкого по составу и массовой доле меди.
3.3.2.2. При применении метода добавок к навеске пробы добавляют такое количество стандартного раствора меди, при котором масса добавки меди составляла не менее половины массы меди в анализируемой пробе. Далее анализ проводят по п.3.3.1.
3.4. Обработка результатов
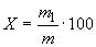
3.4.1. Массовую долю меди в процентах вычисляют по формулам:
для метода сравнения ()
,
где - массовая доля меди в стандартном растворе, %;
- высота пика анализируемой пробы, мм;
- высота пика стандартного образца, мм;
для метода добавок ()
,
где - высота пика, полученная при полярографировании раствора пробы без добавки стандартного раствора меди, мм;
- высота пика, полученная при полярографировании раствора пробы с добавкой стандартного раствора меди, мм;
- масса меди в добавленном стандартном растворе меди, г;
- масса навески пробы, г.
3.4.2. Нормы точности и нормативы контроля точности определения массовой доли меди приведены в табл.2.
(Измененная редакция, Изм. N 1).
4. АТОМНО-АБСОРБЦИОННЫЙ МЕТОД
4.1. Сущность метода
Метод основан на измерении поглощения меди при резонансной линии 324,7 нм в пламени ацетилен-воздух. Определение меди проводят методом добавок.
4.2. Аппаратура, реактивы и растворы
Спектрофотометр атомно-абсорбционный любого типа со всеми принадлежностями.
Кислота соляная по ГОСТ 3118-77.
Кислота азотная по ГОСТ 4461-77 и разбавленная 1:1.
Кислота серная по ГОСТ 4204-77 и разбавленная 1:1.
Кислота фтористоводородная по ГОСТ 10484-78.
Стандартные растворы меди.
Раствор А: 0,1000 г металлической меди растворяют при нагревании в 10 см разбавленной азотной кислоты. Добавляют 30 см
серной кислоты и выпаривают до паров серной кислоты. Соли растворяют в 100 см
воды. Раствор переносят в мерную колбу вместимостью 1 дм
, доливают до метки водой и перемешивают.
Массовая концентрация меди в растворе А равна 0,0001 г/см.
Раствор Б: 10 см раствора А помещают в мерную колбу вместимостью 100 см
, доливают водой до метки и перемешивают.
Массовая концентрация меди в растворе Б равна 0,00001 г/см
.
4.3. Проведение анализа
4.3.1. Навеску ферровольфрама массой 0,5 г помещают в фарфоровый тигель и прокаливают 2 ч при температуре 800 °С. Во время прокаливания содержимое тигля 2-3 раза перемешивают. Прокаленный осадок переносят в стакан вместимостью 250 см, приливают 60 см
соляной кислоты и выпаривают раствор до объема 10-15 см
, затем приливают 10 см
азотной кислоты и снова выпаривают раствор до объема 10-15 см
. Приливают 10 см
разбавленной серной кислоты и выпаривают до появления паров серной кислоты. Стенки стакана ополаскивают водой и снова выпаривают раствор до паров серной кислоты. Приливают воды до объема 90 см
и нагревают раствор до кипения. Охлажденный раствор с осадком переносят в мерную колбу вместимостью 100 см
, доливают водой до метки и перемешивают. Осадку вольфрамовой кислоты дают отстояться в течение 2 ч.
При анализе алюминотермического ферровольфрама навеску массой 0,5 г помещают в платиновую чашку, смачивают водой, приливают 5 см азотной кислоты, 5 см
раствора фтористоводородной кислоты, 10 см
разбавленной серной кислоты и растворяют при нагревании. Раствор выпаривают до появления паров серной кислоты. Стенки чашки ополаскивают водой и снова выпаривают до паров серной кислоты. Соли растворяют в 20 см
воды, раствор переносят в стакан вместимостью 250 см
, приливают горячей воды до объема 90 см
и нагревают до кипения. Охлажденный раствор с осадком переносят в мерную колбу вместимостью 100 см
, доливают водой до метки и перемешивают. Осадку вольфрамовой кислоты дают отстояться в течение 2 ч.
После разложения навески любым из вышеуказанных способов раствор фильтруют через плотный фильтр в сухой стакан вместимостью 100 см, отбрасывая первые порции фильтрата. Полученный раствор вводят распылением в пламя горелки и измеряют атомную абсорбцию при длине волны 324,7 нм и строго постоянном давлении воздуха и ацетилена.
Одновременно с проведением анализа в тех же условиях проводят контрольный опыт на загрязнение реакти
вов медью.
4.3.2. Массовую долю меди определяют методом добавок. Для этого к раствору пробы, полученному после разложения одним из вышеуказанных способов, добавляют такое количество стандартного раствора меди, при котором масса добавки меди составляла не менее половины массы меди в анализируемой пробе. Затем приливают 10 см разбавленной серной кислоты и раствор выпаривают до паров серной кислоты. Далее анализ проводят по п.4.3.1.
4.4. Обработка результатов
4.4.1. Массовую долю меди () в процентах вычисляют по формуле
,
где - масса меди в добавленном стандартном растворе, г;
- значение атомного поглощения раствора пробы;
- значение атомного поглощения раствора контрольного опыта на загрязнение реактивов медью;
- значение атомного поглощения раствора пробы с добавлением стандартного раствора;
- масса навески пробы, г.
4.4.2. Нормы точности и нормативы контроля точности определения массовой доли меди приведены в табл.2.
(Измененная редакция, Изм. N 1).
Электронный текст документа
подготовлен АО "Кодекс" и сверен по:
официальное издание
Ферровольфрам. Методы химического и
физико-химического анализов: Сб. ГОСТов. -
М.: Издательство стандартов, 1984
Редакция документа с учетом
изменений и дополнений
подготовлена АО "Кодекс"
Разместите заказ
сами сделают вам предложение
