ГОСТы сталей. ГОСТ 14638.1-81
ГОСТ 14638.1-81
(CT СЭВ 2198-80)
Группа В19
ГОСУДАРСТВЕННЫЙ СТАНДАРТ СОЮЗА ССР
ФЕРРОВОЛЬФРАМ
Методы определения вольфрама
Ferrotungsten.
Methods for the determination of tungsten
ОКСТУ 0809*
_______________·
* Введено дополнительно, Изм. N 1.
Срок действия с 01.01.83
до 01.01.88*
_______________________________
* Ограничение срока действия снято
по протоколу Межгосударственного
Совета по стандартизации, метрологии
и сертификации (ИУС N 2, 1993 год). -
Примечание изготовителя базы данных.
РАЗРАБОТАН Министерством черной металлургии СССР
ИСПОЛНИТЕЛИ
В.Г.Мизин, В.Л.Зуева, П.Ф.Агафонов, Е.М.Позднякова
ВНЕСЕН Министерством черной металлургии СССР
Член Коллегии А.А.Кугушин
УТВЕРЖДЕН И ВВЕДЕН В ДЕЙСТВИЕ Постановлением Государственного комитета СССР по стандартам от 19 июня 1981 г. N 3027
ВЗАМЕН ГОСТ 14638.1-69
ВНЕСЕНО Изменение N 1, утвержденное и введенное в действие Постановлением Государственного комитета СССР по стандартам от 30.01.87 N 158 с 01.01.88
Изменение N 1 внесено изготовителем базы данных по тексту ИУС N 5, 1987 год
Настоящий стандарт устанавливает определение массовой доли вольфрама в диапазоне от 50 до 85% гравиметрическими методами (азотнокислотным и хлорнокислотным с цинхонином) в ферровольфраме.
Стандарт полностью соответствует CT СЭВ 2198-80.
1. ОБЩИЕ ТРЕБОВАНИЯ
1. ОБЩИЕ ТРЕБОВАНИЯ
1.1. Общие требования к методам анализа - по ГОСТ 13020.0-75.
1.2. Лабораторная проба должна быть приготовлена в виде тонкого порошка с размером частиц, проходящих через сито с сеткой N 016 по ГОСТ 6613-73*.
______________
* На территории Российской Федерации действует ГОСТ 6613-86. - Примечание изготовителя базы данных.
2. АЗОТНОКИСЛОТНЫЙ ГРАВИМЕТРИЧЕСКИЙ МЕТОД
2.1. Сущность метода
Метод основан на гидролитическом выделении вольфрама в виде вольфрамовой кислоты из раствора азотной кислоты в присутствии азотнокислого аммония. Определение заканчивают прокаливанием вольфрамовой кислоты до трехокиси вольфрама с последующей проверкой осадка на чистоту.
Остаточное количество вольфрама, не выделившееся в осадок в виде вольфрамовой кислоты, определяют фотометрическим методом с роданистым аммонием в присутствии треххлористого титана.
2.2. Аппаратура, реактивы и растворы
Спектрофотометр или фотоэлектроколориметр.
Кислота соляная по ГОСТ 3118-77 и разбавленная 1:1, 2:1 и 1:100.
Кислота серная по ГОСТ 4204-77 и разбавленная 1:1.
Кислота азотная по ГОСТ 4461-77 и разбавленная 1:1, 1:50.
Кислота фтористоводородная по ГОСТ 10484-78.
Аммиак водный по ГОСТ 3760-79.
Кислота лимонная по ГОСТ 3652-69, раствор с массовой концентрацией 500 г/дм.
Спирт этиловый ректификованный технический по ГОСТ 18300-72*.
______________
* На территории Российской Федерации действует ГОСТ 18300-87. - Примечание изготовителя базы данных.
Аммоний азотнокислый по ГОСТ 22867-77, раствор с массовой концентрацией 250 г/дм, 20 г/дм
и растворы с массовой концентрацией 10 г/дм
.
Аммоний азотнокислый по ГОСТ 22867-77, раствор с массовой концентрацией 20 г/дм, приготовленный на основе азотной кислоты, разбавленной 1:50.
Аммоний уксуснокислый по ГОСТ 3117-78, раствор с массовой концентрацией 500 г/дм.
Калий углекислый - натрий углекислый по ГОСТ 4332-76.
Свинец уксуснокислый по ГОСТ 1027-67, раствор с массовой концентрацией 20 г/дм.
Медь сернокислая по ГОСТ 4165-78, раствор с массовой концентрацией 20 г/дм.
Натрия гидроокись по ГОСТ 4328-77, раствор с массовой концентрацией 250 г/дм и растворы с массовой концентрацией 20 г/дм
.
Тиомочевина по ГОСТ 6344-73, свежеприготовленный раствор с массовой концентрацией 50 г/дм.
Аммоний роданистый по ГОСТ 27067-86, свежеприготовленный раствор с массовой концентрацией 500 г/дм.
Цинк гранулированный по ГОСТ 989-75.
Титан треххлористый по ГОСТ 311-78: к 20 см раствора треххлористого титана добавляют 50 см
соляной кислоты, 30 см
воды, кипятят 2-3 мин и охлаждают. К приготовленному раствору добавляют 1-2 г гранулированного цинка, готовят перед применением.
2-нафтохинолин (нафтохинолин-бета), раствор с массовой концентрацией 20 г/дм: 10 г реактива растворяют в 400 см
воды и прибавляют по каплям серную кислоту, при перемешивании, до полного растворения бета-нафтохинолина. Раствор доливают водой до 500 см
, перемешивают, фильтруют и хранят в закрытой склянке.
Аммоний молибденовокислый по ГОСТ 3765-78, перекристаллизованный: 250 г молибденовокислого аммония растворяют в 400 см воды при нагревании до 80 °С. Раствор фильтруют через плотный фильтр, охлаждают, приливают 300 см
этилового спирта, перемешивают и через 1 ч фильтруют осадок под вакуумом на фильтр средней плотности, помещенный в воронку Бюхнера. Осадок промывают 2-3 раза спиртом и высушивают на воздухе.
Аммоний молибденовокислый, стандартные растворы.
Раствор А: 1,8402 г молибденовокислого аммония помещают в стакан и при нагревании растворяют в воде. После охлаждения раствор переносят в мерную колбу вместимостью 1 дм, доливают до метки водой и перемешивают.
Определяют массовую концентрацию стандартного раствора А молибденовокислого аммония: 100 см стандартного раствора А молибденовокислого аммония помещают в стакан вместимостью 400 см
, приливают 2 см
соляной кислоты (1:1), 25 см
раствора уксуснокислого аммония и разбавляют водой до объема 200 см
. Раствор нагревают до кипения и приливают по каплям 25 см
раствора уксуснокислого свинца. Содержимое стакана кипятят, непрерывно перемешивая в течение 10-15 мин. Затем раствор с осадком оставляют стоять не менее чем на 12 ч, после чего осадок количественно переносят на плотный фильтр и промывают 8-10 раз горячим раствором с массовой концентрацией 20 г/дм
азотнокислого аммония.
Фильтр с осадком помещают в предварительно прокаленный и взвешенный фарфоровый тигель, высушивают, озоляют, прокаливают при температуре 450-500 °С до постоянной массы, охлаждают и взвешивают.
Одновременно проводят контрольный опыт на загрязнение реактивов.
Массовую концентрацию молибденовокислого аммония по молибдену, выраженную в г/см
, вычисляют по формуле
,
где - масса осадка молибденовокислого свинца, г;
- масса осадка контрольного опыта на загрязнение реактивов, г;
- коэффициент пересчета молибденовокислого свинца на молибден; - объем раствора молибденовокислого аммония, взятый для определения его массовой концентрации, см
.
Массовая концентрация молибдена в растворе А приблизительно равна 0,001 г/см.
Раствор Б: 50 см раствора А помещают в мерную колбу вместимостью 500 см
, доливают водой до метки и перемешивают.
Массовая концентрация молибдена в растворе Б равна 0,0001 г/см.
Натрий вольфрамовокислый по ГОСТ 18289-78.
Натрий вольфрамовокислый, стандартные растворы.
Раствор А: 1,7944 г вольфрамовокислого натрия растворяют в 300 см раствора с массовой концентрацией 20 г/дм
гидроокиси натрия. Раствор переносят в мерную колбу вместимостью 1 дм
, доливают до метки водой и перемешивают.
Определяют массовую концентрацию стандартного раствора А вольфрамовокислого натрия: 100 см стандартного раствора А вольфрамовокислого натрия помещают в стакан вместимостью 400 см
и прибавляют соляную кислоту (1:1) до наступления кислой реакции по метиловому оранжевому. Затем к содержимому стакана приливают 15-20 см
раствора бета-нафтохинолина и оставляют стакан в теплом месте на 1 ч. Осадок отфильтровывают на плотный фильтр и промывают 5-6 раз соляной кислотой (1:100). Фильтр с осадком помещают в прокаленный до постоянной массы и взвешенный фарфоровый или платиновый тигель, высушивают, осторожно сжигают при температуре 400-500 °С и прокаливают при температуре 750-800 °С до постоянной массы. Одновременно проводят контрольный опыт на загрязнение реактивов.
Массовую концентрацию раствора вольфрамовокислого натрия по вольфраму, выраженную в г/см
, вычисляют по формуле
,
где - масса осадка трехокиси вольфрама, г;
- масса осадка контрольного опыта на загрязнение реактивов, г,
- коэффициент пересчета трехокиси вольфрама на вольфрам; - аликвотная часть раствора вольфрамовокислого натрия, взятая для определения его массовой концентрации, см
.
Массовая концентрация вольфрама в растворе А приблизительно равна 0,001 г/см.
Раствор Б: 50 см стандартного раствора А помещают в мерную колбу вместимостью 500 см
, доливают раствором с массовой концентрацией 250 г/дм
гидроокиси натрия до метки и перемешивают.
Массовая концентрация вольфрама в растворе Б приблизительно равна 0,0001 г/см.
(Измененная редакция, Изм. N 1).
2.3. Проведение анализа
2.3.1. Навеску ферровольфрама массой 0,5 г помещают в платиновую чашку, смачивают несколькими каплями воды, приливают 5-10 см раствора фтористоводородной кислоты и по каплям азотную кислоту до прекращения вспенивания раствора и еще в избыток 5 см
, затем чашку помещают на плиту и выпаривают до влажных солей. После этого прибавляют 5 см
азотной кислоты и снова выпаривают до влажных солей. Соли растворяют в 10 см
азотной кислоты и 20 см
воды при слабом нагревании в течение 5 мин. Остаток вольфрамовой кислоты, приставшей к стенкам платиновой чашки, растворяют 10-15 каплями аммиака и присоединяют к основному раствору. В стакан приливают 50 см
азотной кислоты (1:1), 2 см
раствора с массовой концентрацией 250 г/дм
азотнокислого аммония. Нагревают раствор до кипения и кипятят в течение 1-2 мин.
Стакан оставляют в теплом месте на 30-40 мин и фильтруют осадок вольфрамовой кислоты на плотный беззольный фильтр, уплотненный в конусе фильтробумажной массой. Осадок на фильтре промывают горячим раствором с массовой концентрацией 20 г/дм азотнокислого аммония, приготовленного на основе раствора азотной кислоты (1:50) до отрицательной реакции на ион железа (III) с раствором роданистого аммония. Промытый осадок помещают в предварительно прокаленный до постоянной массы и взвешенный платиновый тигель, а фильтрат сохраняют для определения остаточного вольфрама (фильтрат А).
Остатки вольфрамовой кислоты, приставшие к стенкам стакана, снимают кусочком фильтра, смоченного аммиаком, и присоединяют к основному осадку. Тигель с осадком помещают на плиту, подсушивают, озоляют и прокаливают при температуре 750-800 °С до постоянной массы осадка. После охлаждения тигля в эксикаторе его взвешивают и находят массу загрязненной примесями трехокиси вольфрама .
Одновременно с проведением анализа проводят контрольный опыт на загрязнение реактив
ов .
2.3.2. Для определения содержания примесей в осадке трехокиси вольфрама к взвешенному осадку трехокиси вольфрама прибавляют 4 г калия натрия углекислого, тщательно перемешивают и сплавляют в муфельной печи при температуре 800 °С в течение 10-15 мин.
Охлажденный тигель помещают в стакан вместимостью 300 см и выщелачивают плав в 100 см
горячего раствора с массовой концентрацией 10 г/дм
азотнокислого аммония. Раствор нагревают и после выщелачивания плава удаляют тигель, промывая его раствором с массовой концентрацией 10 г/дм
азотнокислого аммония. Осадок фильтруют на фильтр средней плотности, промывают 10-12 раз горячим раствором с массовой концентрацией 20 г/дм
азотнокислого аммония, содержащим несколько капель аммиака, и помещают в предварительно взвешенный тигель, а фильтрат Б сохраняют для определения содержания молибдена.
Тигель с осадком помещают на плиту, сушат, озоляют и прокаливают при температуре 800-900 °С до постоянной массы осадка .
2.3.1, 2.3.2. (Измененная редакция, Изм. N 1).
2.3.3. Для определения содержания молибдена фильтрат Б выпаривают до объема 150 см, охлаждают, переливают раствор в мерную колбу вместимостью 250 см
, доливают до метки водой и перемешивают. Отбирают аликвотную часть раствора по 10 см
и переносят в две мерные колбы вместимостью по 100 см
. В каждую колбу приливают по 20 см
воды, по 20 см
раствора лимонной кислоты и по 15 см
разбавленной серной кислоты, перемешивают и охлаждают. Затем приливают по 5 см
раствора сернокислой меди и по 20 см
раствора тиомочевины. Через 10 мин к раствору одной из колб прибавляют 2 см
раствора роданистого аммония, доливают водой до метки и перемешивают. Раствор второй колбы служит в качестве раствора сравнения.
Оптическую плотность раствора измеряют при длине волны 450 нм.
Содержание молибдена находят по градуировочному граф
ику.
2.3.3.1. Построение градуировочного графика
В четыре мерные колбы из пяти вместимостью по 100 см каждая помещают 0,5; 1,0; 1,5; 2,0 см
стандартного раствора молибдена Б, что соответствует 0,00005; 0,00010; 0,00015; 0,00020 г молибдена. В каждую колбу добавляют по 17 см
стандартного раствора вольфрама А, по 20 см
воды, по 20 см
раствора лимонной кислоты и далее анализ проводят, как указано в п.2.3.3. Раствор пятой колбы, в которую помещены все применяемые для построения градуировочного графика реактивы, кроме стандартного раствора, служит раствором сравнения.
По найденным значениям оптической плотности строят градуировочный график.
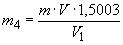
Массу трехокиси молибдена в осадке трехокиси вольфрама в граммах вычисляют по формуле
,
где - масса молибдена, найденная по градуировочному графику, г;
- общий объем раствора, см
;
- аликвотная часть раствора, взятая для определения содержания молибдена, см
;
- коэффициент пересчета массы молибдена на массу трехокиси молибдена.
2.3.4. Для определения содержания вольфрама в фильтрате А после выделения вольфрамовой кислоты фильтрат выпаривают досуха, трижды обрабатывают 5 см соляной кислоты, выпаривая раствор досуха. Затем к сухому остатку приливают 10 см
соляной кислоты, нагревают до растворения солей и разбавляют раствор водой до 100 см
. К горячему раствору приливают раствор с массовой концентрацией 250 г/дм
гидроокиси натрия до выпадения осадка гидроокисей металлов и еще в избыток 10 см
. Раствор кипятят 3-5 мин, охлаждают, переносят в мерную колбу вместимостью 250 см
, доливают водой до метки, перемешивают и фильтруют, отбрасывая первые порции фильтрата. Отбирают аликвотную часть раствора, равную 20 см
, переносят в мерную колбу вместимостью 100 см
, приливают 40 см
соляной кислоты (2:1) и 4 см
раствора роданистого аммония. Раствор охлаждают, приливают по каплям раствор треххлористого титана до появления устойчивой окраски желтого цвета, 3-4 капли в избыток и доливают до метки соляной кислотой (2:1). Оптическую плотность раствора измеряют при длине волны 400 нм.
В качестве раствора сравнения используют раствор контрольного опыта на загрязнение реактивов, проведенного через весь ход анализа.
Содержание вольфрама находят по градуировочному графику.
(Измененная редакция, Изм. N 1).
2.3.4.1. Построение градуировочного графика
В четыре мерные колбы из пяти вместимостью по 100 см каждая помещают 0,5; 1,0; 1,5 и 2,0 см
стандартного раствора вольфрама Б, что соответствует 0,00005; 0,0001; 0,00015 и 0,0002 г вольфрама. В каждую колбу добавляют по 20 см
раствора с массовой концентрацией 20 г/дм
гидроокиси натрия, по 40 см
соляной кислоты, разбавленной 2:1, по 4 см
раствора роданистого аммония и далее анализ проводят, как указано в п.2.3.4. Раствор пятой колбы, в которую помещены все применяемые для построения градуировочного графика реактивы, кроме стандартного раствора, служит раствором сравнения.
По данным значениям оптической плотности строят градуировочный график.
Массу трехокиси вольфрама в граммах в фильтрате А вычисляют по формуле
,
где - масса вольфрама, найденная по градуировочному графику, г;
- общий объем раствора, см
;
- аликвотная часть раствора, взятая для определения содержания вольфрама, см
;
- коэффициент пересчета массы вольфрама на массу трехокиси вольфрама.
(Измененная редакция, Изм. N 1).
2.4. Обработка результатов
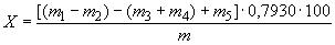
2.4.1. Массовую долю вольфрама в процентах вычисляют по формуле
,
где - масса осадка трехокиси вольфрама с примесями, г;
- масса осадка контрольного опыта на загрязнение реактивов, г;
- масса осадка примесей в трехокиси вольфрама, г;
- масса трехокиси молибдена, найденная в осадке трехокиси вольфрама, г;
- масса трехокиси вольфрама, найденная в фильтрате (А), г;
- масса навески, г;
- коэффициент пересчета массы трехокиси вольфрама на массу вольфрама
.
2.4.2. Абсолютные расхождения результатов параллельных определений не должны превышать допускаемых значений, указанных в таблице.
Массовая доля вольфрама, % | Абсолютные допускаемые расхождения, % |
От 50 до 60 | 0,5 |
Св. 60 " 85 | 0,7 |
(Измененная редакция, Изм. N 1).
3. ХЛОРНОКИСЛОТНЫЙ ГРАВИМЕТРИЧЕСКИЙ МЕТОД С ПРИМЕНЕНИЕМ ЦИНХОНИНА
3.1. Сущность метода
Метод основан на гидролитическом выделении вольфрама в виде вольфрамовой кислоты выпариванием раствора с хлорной кислотой. Для количественного выделения вольфрамовой кислоты применяют цинхонин.
Определение заканчивают прокаливанием вольфрамовой кислоты до трехокиси вольфрама с последующей проверкой осадка на чистоту фотометрическим методом.
3.2. Аппаратура, реактивы и растворы
Спектрофотометр или фотоэлектроколориметр.
Кислота фтористоводородная по ГОСТ 10484-78.
Кислота азотная по ГОСТ 4461-77.
Аммиак водный по ГОСТ 3760-79 и разбавленный 1:3.
Кислота хлорная, раствор с массовой концентрацией 570 г/дм.
Кислота соляная по ГОСТ 3118-77 и разбавленная 1:1 и 1:100.
Аммоний роданистый по ГОСТ 27067-86, раствор с массовой концентрацией 500 г/дм.
Цинхонин, свежеприготовленный раствор с массовой концентрацией 125 г/дм: 125 г цинхонина растворяют в 500 см
соляной кислоты. Полученный раствор охлаждают и разбавляют водой до 1 дм
.
Промывной раствор с цинхонином: к 10 см раствора цинхонина прибавляют 10 см
соляной кислоты, доливают водой до 1 дм
и перемешивают.
Калий углекислый - натрий углекислый по ГОСТ 4332-76.
Спирт этиловый ректификованный по ГОСТ 5962-67.
Аммоний углекислый по ГОСТ 3770-75, раствор с массовой концентрацией 5 г/дм.
Аммоний хлористый по ГОСТ 3773-72, раствор с массовой концентрацией 10 г/дм.
Кислота лимонная по ГОСТ 3652-69, раствор с массовой концентрацией 500 г/дм.
Кислота серная по ГОСТ 4204-77 и разбавленная 1:1 и 1:4.
Железо металлическое, восстановленное водородом.
Железо сернокислое, окисное, раствор: 7,5 г металлического железа растворяют при нагревании в 100 см серной кислоты (1:4), осторожно окисляют азотной кислотой и кипятят 5 мин; раствор охлаждают, переливают в мерную колбу вместимостью 500 см
, доливают до метки водой и перемешивают.
Медь сернокислая по ГОСТ 4165-78, раствор с массовой концентрацией 20 г/дм.
Тиомочевина по ГОСТ 6344-73, раствор с массовой концентрацией 50 г/дм.
Аммоний уксуснокислый по ГОСТ 3117-78, раствор с массовой концентрацией 500 г/дм.
Свинец уксуснокислый по ГОСТ 1027-67, раствор с массовой концентрацией 20 г/дм.
Аммоний азотнокислый по ГОСТ 22867-77, раствор с массовой концентрацией 20 г/дм.
Аммоний молибденовокислый по ГОСТ 3765-78, стандартные растворы.
Раствор А: 1,8402 г молибденовокислого аммония помещают в стакан и растворяют в воде при нагревании. После охлаждения раствор переносят в мерную колбу вместимостью 1 дм, доливают до метки водой, перемешивают.
Массовая концентрация молибдена в растворе А равна 0,001 г/см.
Раствор Б: 50 см раствора А молибденовокислого аммония помещают в мерную колбу вместимостью 500 см
, доливают водой до метки и перемешивают.
Массовая концентрация молибдена в растворе Б равна 0,0001 г/см.
Натрия гидроокись по ГОСТ 4328-77, раствор с массовой концентрацией 20 г/дм.
Метиловый оранжевый.
Натрий вольфрамовокислый по ГОСТ 18298-78, стандартный раствор: 1,7944 г вольфрамовокислого натрия растворяют в 300 см раствора гидроокиси натрия. Раствор переносят в мерную колбу вместимостью 1 дм
, доливают до метки водой и перемешивают.
Массовая концентрация вольфрама в растворе вольфрамовокислого натрия равна 0,001 г/см.
(Измененная редакция, Изм. N 1).
3.3. Проведение анализа
Навеску ферровольфрама массой 0,5 г помещают в платиновую чашку и растворяют в 5-10 см фтористоводородной и азотной кислот, прибавляя последнюю по каплям до полного растворения пробы. Прибавляют еще 5 см
азотной кислоты, раствор нагревают и выпаривают до появления солей.
Добавляют 5 см азотной кислоты и повторяют выпаривание до появления солей. Затем добавляют еще 5 см
азотной кислоты и 20 см
горячей воды и нагревают чашку до растворения солей, после чего переносят содержимое в стакан вместимостью 600 см
.
Вольфрамовую кислоту, приставшую к стенкам чашки, растворяют несколькими каплями водного аммиака. Полученный раствор прибавляют к основному раствору в стакан вместимостью 600 см.
Затем обмывают чашку 2-3 раза горячей водой, собирая также промывные воды. Прибавляют в стакан 40 см хлорной кислоты и нагреванием выпаривают содержимое до выделения паров хлорной кислоты в течение 10 мин. Охлаждают, обмывают стенки стакана водой и повторяют выпаривание до появления паров хлорной кислоты, которым дают выделяться в течение 5 мин. После охлаждения прибавляют 10 см
соляной кислоты, 150 см
воды и кипятят 5 мин. Раствор разбавляют горячей водой до объема 300-400 см
, прибавляют 10 см
раствора цинхонина и кипятят 10 мин. Стакан с осадком оставляют при комнатной температуре 1-2 ч. Осадок отфильтровывают через плотный фильтр с фильтробумажной массой, промывают 3-5 раз холодным промывным раствором до полного удаления трехвалентного иона железа (отрицательная реакция с роданистым аммонием). Фильтр с осадком помещают в платиновый тигель, предварительно прокаленный до постоянной массы. Вольфрамовую кислоту, приставшую к стенкам чашки, снимают количественно кусочком фильтра, смоченным предварительно раствором аммиака (1:3), и присоединяют к основному осадку в платиновом тигле.
Осадок вольфрамовой кислоты, помещенный в платиновый тигель, высушивают, озоляют, прокаливают при температуре 700-800 °С в течение 40-50 мин, охлаждают и взвешивают.
Определение примесей в осадке трехокиси вольфрама производят по пп.2.3.2 и
2.3.3.
3.4. Обработка результатов анализа
3.4.1. Массовую долю вольфрама в процентах вычисляют по формуле
,
где - масса осадка трехокиси вольфрама с примесями, г;
- масса осадка контрольного опыта на загрязнение реактивов, г;
- масса осадка примесей в трехокиси вольфрама, г;
- масса трехокиси молибдена, найденная в осадке трехокиси вольфрама, г;
- масса навески, г;
- коэффициент пересчета массы трехокиси вольфрама на массу вольфрама.
3.4.2. Абсолютные расхождения результатов параллельных определений не должны превышать допускаемых значений, указанных в таблице.
(Измененная редакция, Изм. N 1).
Электронный текст документа
подготовлен АО "Кодекс" и сверен по:
официальное издание
Ферровольфрам. Методы химического
и физико-химического анализов: Сб. ГОСТов. -
М.: Издательство стандартов, 1981
Редакция документа с учетом
изменений и дополнений
подготовлена АО "Кодекс"
Разместите заказ
сами сделают вам предложение
