ГОСТы сталей. ГОСТ 14250.6-90
ГОСТ 14250.6-90
(СТ СЭВ 1237-89)
Группа В19
ГОСУДАРСТВЕННЫЙ СТАНДАРТ СОЮЗА ССР
ФЕРРОТИТАН
Метод определения алюминия
Ferrotitanium. Method for determination of aluminium
ОКСТУ 0809
Срок действия с 01.07.91
до 01.07.96*
_______________________________
* Ограничение срока действия снято по протоколу N 5-94
Межгосударственного Совета по стандартизации,
метрологии и сертификации (ИУС N 11/12, 1994 год). -
Примечание изготовителя базы данных.
ИНФОРМАЦИОННЫЕ ДАННЫЕ
1. РАЗРАБОТАН И ВНЕСЕН Министерством металлургии СССР
РАЗРАБОТЧИКИ
В.Г.Мизин, Т.А.Перфильева, С.И.Ахманаев, Г.И.Гусева
2. УТВЕРЖДЕН И ВВЕДЕН В ДЕЙСТВИЕ Постановлением Государственного комитета СССР по управлению качеством продукции и стандартам от 29.12.90 N 3752
3. Стандарт полностью соответствует СТ СЭВ 1237-89
4. ВЗАМЕН ГОСТ 14250.6-80
5. ССЫЛОЧНЫЕ НОРМАТИВНО-ТЕХНИЧЕСКИЕ ДОКУМЕНТЫ
Обозначение НТД, на который дана ссылка | Номер пункта |
ГОСТ 61-75 | Разд.2 |
ГОСТ 3117-78 | Разд.2 |
ГОСТ 3118-77 | Разд.2 |
ГОСТ 3760-79 | Разд.2 |
ГОСТ 4165-78 | Разд.2 |
ГОСТ 4204-77 | Разд.2 |
ГОСТ 4233-77 | Разд.2 |
ГОСТ 4328-77 | Разд.2 |
ГОСТ 4461-77 | Разд.2 |
ГОСТ 4463-76 | Разд.2 |
ГОСТ 5817-77 | Разд.2 |
ГОСТ 5823-78 | Разд.2 |
ГОСТ 5962-67 | Разд.2 |
ГОСТ 7272-76* | Разд.2 |
ГОСТ 10484-78 | Разд.2 |
ГОСТ 10652-73 | Разд.2 |
ГОСТ 18300-87 | Разд.2 |
ГОСТ 26301-84 | 1.2 |
ГОСТ 28473-90 | 1.1 |
________________
* Вероятно, ошибка оригинала. Следует читать: ГОСТ 7172-76. - Примечание изготовителя базы данных.
Настоящий стандарт устанавливает комплексонометрический метод определения алюминия в ферротитане при массовой доле его от 3 до 40%.
Метод основан на образовании комплексного соединения алюминия с натриевой солью этилендиаминтетрауксусной кислоты (трилон Б) с последующим разрушением этого соединения фтористым натрием. Эквивалентное количество выделившегося трилона Б титруют раствором уксуснокислого цинка в присутствии индикатора ксилонолового оранжевого или раствором сернокислой меди в присутствии индикатора ПАН. От мешающих элементов алюминий отделяют гидроксидом натрия.
1. ОБЩИЕ ТРЕБОВАНИЯ
1. ОБЩИЕ ТРЕБОВАНИЯ
1.1. Общие требования к методу анализа - по ГОСТ 28473.
1.2. Лабораторная проба должна быть приготовлена в виде порошка с размером частиц 0,16 мм по ГОСТ 26201.
2. РЕАКТИВЫ И РАСТВОРЫ
Кислота серная по ГОСТ 4204 и растворы 1:4 и 1:19.
Кислота азотная по ГОСТ 4461.
Кислота соляная по ГОСТ 3118, раствор 1:1.
Кислота уксусная по ГОСТ 61.
Кислота фтористоводородная по ГОСТ 10484.
Натрия гидроокись по ГОСТ 4328, раствор 250 г/дм. Раствор хранят в полиэтиленовой посуде.
Калий пиросернокислый по ГОСТ 7172.
Натрий хлористый по ГОСТ 4233.
Ксиленоловый оранжевый, индикатор.
Индикаторная смесь: 0,1 г ксиленолового оранжевого растирают в ступке с 10 г хлористого натрия.
1-(2-пиридилазо)-2-нафтол (ПАН) - индикатор, спиртовой раствор 2 г/дм.
Спирт этиловый по ГОСТ 5962 или по ГОСТ 18300.
Фенолфталеин - индикатор, спиртовой раствор 1 г/дм.
Натрий фтористый по ГОСТ 4463, раствор 35 г/дм, хранят в полиэтиленовой посуде.
Аммоний уксуснокислый по ГОСТ 3117.
Буферный раствор рН 5,5-5,8: 500 г ацетата аммония растворяют в 1 дм воды, добавляют 30 см
уксусной кислоты и перемешивают. (Контроль по рН-метру).
Аммиак водный по ГОСТ 3760 и раствор 1:1.
Кислота винная по ГОСТ 5817, раствор 20 г/дм.
Соль динатриевая этилендиамин - N, N, N', N'-тетрауксусной кислоты, 2-водная (трилон Б) по ГОСТ 10652, раствор 0,025 моль/дм; 9,3 г реактива растворяют в 300 см
воды в присутствии нескольких капель аммиака, раствор фильтруют в мерную колбу вместимостью 1 дм
, фильтр промывают 2-3 раза водой и отбрасывают. Раствор доливают водой до метки и перемешивают.
Железо металлическое.
Титан металлический.
Алюминий металлический.
Стандартный раствор алюминия: 1,0000 г алюминия растворяют при нагревании в 50 см раствора соляной кислоты, добавляют 4-5 капель азотной кислоты и кипятят до удаления оксидов азота. Раствор охлаждают, переносят в мерную колбу вместимостью 1 дм
, доливают водой до метки и перемешивают.
Массовая концентрация алюминия в растворе равна 0,001 г/см.
Цинк уксуснокислый 2-водный по ГОСТ 5823, раствор 0,025 моль/дм: 5,5 г уксуснокислого цинка растворяют в 300 см
воды, переносят в мерную колбу вместимостью 1 дм
, добавляют 25 см
буферного раствора, доливают водой до метки и перемешивают.
Медь (II) сернокислая 5-водная по ГОСТ 4165, раствор 0,025 моль/дм: 6,2 г сернокислой меди растворяют в 300 см
воды, переносят раствор в мерную колбу вместимостью 1 дм
, доливают водой до метки и перемешивают.
Массовую концентрацию растворов уксуснокислого цинка или сернокислой меди устанавливают по стандартному раствору алюминия, проведенному через все стадии анализа. Для этого в коническую колбу вместимостью 250 см помещают навески железа и титана в зависимости от их содержания в пробе, приливают от 20,0 до 50,0 см
стандартного раствора алюминия, 40 см
раствора серной кислоты 1:4 и далее проводят анализ, как указано в разд.3.
Массовую концентрацию раствора уксуснокислого цинка или сернокислой меди , выраженную в г/см
алюминия, вычисляют по формуле
, (1)
где - масса алюминия, соответствующая аликвотной части стандартного раствора, г;
- объем раствора уксуснокислого цинка или сернокислой меди, израсходованной при втором титровании стандартного раствора, см
;
- объем раствора уксуснокислого цинка или сернокислой меди, израсходованный при втором титровании раствора контрольного опыта, см
.
3. ПРОВЕДЕНИЕ АНАЛИЗА
3.1. Массу навески пробы, в зависимости от массовой доли алюминия, выбирают по табл.1.
Таблица 1
Массовая доля алюминия, % | Масса навески пробы, г | Аликвотная часть раствора, см | |||||
От | 3 | до | 4 | включ. | 0,5 | 100 | |
Св. | 4 | " | 8 | " | 0,25 | 100 | |
" | 8 | " | 16 | " | 0,25 | 50 | |
" | 16 | " | 25 | " | 0,25 | 25 | |
" | 25 | " | 40 | " | 0,2 | 25 | |
3.2. Навеску пробы помещают в платиновую или стеклоуглеродистую чашку, приливают 40 см раствора серной кислоты (1:4), 5 см
раствора фтористоводородной кислоты, перемешивают и по каплям добавляют 5 см
азотной кислоты. Выпаривают содержимое чашки до выделения густых паров серной кислоты. Охлаждают, обмывают стенки чашки водой и вновь выпаривают раствор до выделения густых паров серной кислоты.
После этого содержимое чашки охлаждают, приливают 30-40 см воды и нагревают до полного растворения солей. Раствор переносят в коническую колбу вместимостью 250 см
.
3.3. При наличии нерастворимого остатка его отфильтровывают на плотный фильтр, промывают несколько раз горячей водой. Фильтр с остатком помещают в платиновый тигель, высушивают, озоляют и прокаливают при температуре (650±50)°С. Затем остаток сплавляют с 2 г пиросернокислого калия при температуре (750±50)°С. Тигель с плавом охлаждают, помещают в стакан вместимостью 100 см, приливают 30 см
раствора серной кислоты (1:19) и выщелачивают при нагревании. Полученный раствор присоединяют к основному раствору.
3.4. Раствор, полученный по пп.3.2 и 3.3 (объемом не более 100-120 см), нагревают до 70-80°С, переливают тонкой струей при перемешивании в коническую колбу вместимостью 250 см
, куда предварительно налито 60 см
горячего раствора гидроокиси натрия. Раствор с осадком кипятят 3-5 мин, охлаждают, переносят в мерную колбу вместимостью 250 см
, разбавляют водой до метки, перемешивают и фильтруют через сухой фильтр в сухую колбу. Первые порции фильтрата отбрасывают.
3.5. В зависимости от способа титрования раствора проводят определение содержания алюминия следующим образом.
3.5.1. При титровании избытка трилона Б раствором уксуснокислого цинка аликвотную часть анализируемого раствора, отобранную в соответствии с табл.1, помещают в коническую колбу вместимостью 500 см, приливают 25,0 см
раствора трилона Б и нейтрализуют раствором соляной кислоты в присутствии 2-3 капель раствора фенолфталеина, добавляют 20 см
буферного раствора, воду до объема 200 см
и кипятят 2-3 мин.
Раствор охлаждают и избыток трилона Б оттитровывают раствором уксуснокислого цинка в присутствии 0,1 г индикаторной смеси до перехода желтой окраски раствора в малиново-красную. Затем прибавляют 40 см раствора фтористого натрия, 10 см
раствора винной кислоты, кипятят раствор 2-3 мин, охлаждают и титруют выделившийся трилон Б раствором уксуснокислого цинка в присутствии 0,05 г дополнительно добавленной индикаторной смеси до перехода желтой окраски в малиново-красную.
3.5.2. При титровании избытка трилона Б раствором сернокислой меди аликвотную часть анализируемого раствора, отобранную в соответствии с табл.1, помещают в коническую колбу вместимостью 500 см, приливают 25,0 см
раствора трилона Б и нейтрализуют раствором соляной кислоты в присутствии 2-3 капель раствора фенолфталеина до исчезновения малиновой окраски. Добавляют 20 см
буферного раствора, приливают воды до объема 200 см
и кипятят 2-3 мин. К горячему раствору осторожно прибавляют 1,0 см
раствора ПАН и избыток трилона Б сразу оттитровывают раствором сернокислой меди до перехода желтой окраски раствора в устойчивую фиолетово-красную. Затем приливают 40 см
раствора фтористого натрия, 10 см
раствора винной кислоты и кипятят 2-3 мин. Горячий раствор титруют раствором сернокислой меди до перехода окраски в фиолетово-красную.
4. ОБРАБОТКА РЕЗУЛЬТАТОВ
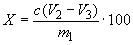
4.1. Массовую долю алюминия в процентах вычисляют по формуле
, (2)
где - массовая концентрация раствора уксуснокислого цинка или сернокислой меди, выраженная в г/см
алюминия;
- объем раствора уксуснокислого цинка или сернокислой меди, израсходованный при втором титровании раствора пробы, см
;
- объем раствора уксуснокислого цинка или сернокислой меди, израсходованный при втором титровании раствора контрольного опыта, см
;
- масса навески, соответствующая аликвотной части раствора пробы, г.
4.2. Нормы точности и нормативы контроля точности определения массовой доли алюминия приведены в табл.2.
Таблица 2
Массовая доля алюминия, % | Погрешность результатов | Допускаемые расхождения, % | |||||||
анализа, % | двух средних результатов анализа, выполненных в различных условиях | двух параллельных определений | трех параллельных определений | результатов анализа стандартного образца от аттестованного значения | |||||
От | 3 | до | 5 | включ. | 0,11 | 0,14 | 0,12 | 0,14 | 0,1 |
Св. | 5 | " | 10 | " | 0,16 | 0,20 | 0,17 | 0,20 | 0,1 |
" | 10 | " | 20 | " | 0,2 | 0,3 | 0,2 | 0,3 | 0,2 |
" | 20 | " | 40 | " | 0,3 | 0,4 | 0,3 | 0,4 | 0,2 |
Электронный текст документа
подготовлен АО "Кодекс" и сверен по:
официальное издание
Ферротитан. Методы анализа: Сб. ГОСТов. -
М.: Издательство стандартов, 1991
Разместите заказ
сами сделают вам предложение
