ГОСТы сталей. ГОСТ 14250.11-80
ГОСТ 14250.11-80*
Группа В19
МЕЖГОСУДАРСТВЕННЫЙ СТАНДАРТ
ФЕРРОТИТАН
Методы определения циркония
Ferrotitanium. Methods for determination of zirconium
ОКСТУ 0809
Дата введения 1980-07-01
РАЗРАБОТАНЫ Министерством черной металлургии СССР**
ИСПОЛНИТЕЛИ**
А.К.Петров, Г.Г.Лысцова, Н.И.Литвиненко, А.В.Цевина, О.А.Распопина**
ВНЕСЕНЫ Министерством черной металлургии СССР**
Член коллеги В.В.Лемпицкий**
УТВЕРЖДЕНЫ И ВВЕДЕНЫ В ДЕЙСТВИЕ Постановление Государственного комитета СССР по стандартам от 17 марта 1980 г. N 1172**
________________
** Информационные данные приведены из официального издания - М.: Издательство стандартов, 1980 г.
Ограничение срока действия снято по протоколу N 5-94 Межгосударственного Совета по стандартизации, метрологии и сертификации (ИУС 11-12-94)
ВЗАМЕН ГОСТ 14250.11-71
* ПЕРЕИЗДАНИЕ (декабрь 1998 г.) с Изменениями N 1, 2, утвержденными в апреле 1985 г., ноябре 1990 г. (ИУС 7-85, 1-91)
Настоящий стандарт устанавливает методы определения циркония в ферротитане:
фотометрический - при массовой доле циркония от 0,01 до 2,5%;
атомно-абсорбционный - при массовой доле циркония от 0,2 до 2,5%.
Стандарт полностью соответствует СТ СЭВ 4526-84.
(Измененная редакция, Изм. N 2).
1. ОБЩИЕ ТРЕБОВАНИЯ
1. ОБЩИЕ ТРЕБОВАНИЯ
1.1. Общие требования к методам анализа - по ГОСТ 28473-90.
1.2. Лабораторная проба должна быть приготовлена в виде тонкого порошка с размером частиц, проходящих через сито с сеткой N 016 по ГОСТ 6613-86.
1а. ФОТОМЕТРИЧЕСКИЙ МЕТОД
1а.1. Сущность метода
Метод основан на способности циркония образовывать в 0,15-0,2 М растворе серной кислоты с ксиленоловым оранжевым комплексное соединение пурпурно-красного цвета. Оптическую плотность окрашенного раствора измеряют на спектрофотометре при длине волны 540 нм или фотоэлектроколориметре с светофильтром в области светопропускания от 500 до 560 нм.
Влияние железа устраняется восстановлением его аскорбиновой кислотой.
Разд.1а. (Введен дополнительно, Изм. N 1).
2. АППАРАТУРА, РЕАКТИВЫ И РАСТВОРЫ
Спектрофотометр или фотоэлектроколориметр.
Муфельная печь с температурой нагревания (1000±25) °С.
Кислота соляная по ГОСТ 3118-77 и разбавленная 1:1.
Кислота серная по ГОСТ 4204-77 и разбавленная 1:4, 1:3, 1:1.
Кислота аскорбиновая, раствор с массовой концентрацией 50 г/дм.
Водорода перекись по ГОСТ 10929-76.
Динатриевая соль этилендиамин-N, N, N', N'-тетрауксусной кислоты (трилон Б) по ГОСТ 10652-73, 0,05 М раствор.
Аммоний хлористый по ГОСТ 3773-72, сухая соль и раствор с массовой концентрацией 10 г/дм.
Ксиленоловый оранжевый, раствор с массовой концентрацией 1 г/дм.
Железо металлическое восстановленное.
Титан электролитический.
Кислота азотная по ГОСТ 4461-77.
Кислота фтористоводородная по ГОСТ 10484-78.
Аммиак водный по ГОСТ 3760-79.
Калий пиросернокислый по ГОСТ 7172-76.
Хлорокись циркония, стандартные растворы А и Б.
Раствор А: 3,534 г хлорокиси циркония помещают в стакан вместимостью 300 см, приливают 100 см
соляной кислоты и растворяют при нагревании. Раствор переливают в мерную колбу вместимостью 1000 см
, приливают 400 см
соляной кислоты, охлаждают, доливают водой до метки и перемешивают.
1 см раствора содержит 0,001 г циркония.
Устанавливают массовую концентрацию стандартного раствора А: 50 см раствора помещают в стакан вместимостью 300 см
, добавляют 3 г хлористого аммония, аммиак до выпадения осадка гидроокиси и приливают аммиак с избытком 5 см
.
Полученный раствор нагревают до кипения, осадку дают скоагулироваться, отфильтровывают на фильтр средней плотности и промывают 6-8 раз горячим раствором аммония с массовой концентрацией 10 г/дм. Фильтр с осадком помещают во взвешенный платиновый тигель, осторожно озоляют, прокаливают в муфельной печи при температуре (1000±25) °С до постоянной массы, охлаждают и взвешивают.
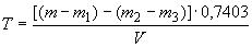
Массовую концентрацию стандартного раствора () вычисляют по формуле
,
где - масса платинового тигля с осадком двуокиси циркония, г;
- масса платинового тигля без двуокиси циркония, г;
- масса платинового тигля с осадком контрольного опыта, г;
- масса платинового тигля без осадка контрольного опыта, г;
- коэффициент пересчета двуокиси циркония на цирконий; - объем стандартного раствора А, взятый для установления титра, см
.
Раствор Б: 10 см стандартного раствора А помещают в мерную колбу вместимостью 100 см
, доливают раствор соляной кислотой (1:1) до метки.
1 см раствора Б содержит 0,0001 г циркония.
(Измененная редакция, Изм. N 1, 2).
3. ПРОВЕДЕНИЕ АНАЛИЗА
3.1. Массу навески ферротитана и аликвотную часть раствора в зависимости от массовой доли циркония определяют по табл.1.
Таблица 1
Массовая доля циркония, % | Масса навески, г | Вместимость мерной | Объем аликвотной части раствора, см |
От 0,01 до 0,1 | 0,5 | 100 | 10 |
Св. 0,1 " 0,5 | 0,25 | 250 | 10 |
" 0,5 " 1,0 | 0,1 | 250 | 10 |
" 1,0 " 2,5 | 0,1 | 250 | 5 |
Навеску ферротитана помещают в коническую колбу вместимостью 250 см, приливают 25 см
раствора серной кислоты 1:4 при массовой доле циркония от 0,01 до 0,1% или 50 см
раствора серной кислоты 1:3 при массовой доле циркония св. 0,1 до 1,0% или 50 см
раствора серной кислоты 1:1 при массовой доле циркония свыше 1,0% и растворяют при слабом нагревании. Затем прибавляют 5 см
азотной кислоты, раствор выпаривают до паров серной кислоты и охлаждают. Стенки колбы обмывают водой и вновь выпаривают до паров серной кислоты. Охлаждают, приливают 40-60 см
воды, нагревают до растворения солей, отфильтровывают осадок кремниевой кислоты на фильтр средней плотности и промывают горячей водой 6-8 раз, фильтрат сохраняют (основной раствор).
Фильтр с осадком помещают в платиновый тигель, озоляют и прокаливают при температуре 600-700 °С. Осадок в тигле смачивают водой, прибавляют 3-5 капель раствора серной кислоты 1:1, 2-3 см раствора фтористоводородной кислоты и выпаривают досуха.
Остаток в тигле прокаливают при температуре 600-700 °С и сплавляют с 1 г пиросернокислого калия. Плав растворяют в горячей воде и присоединяют к основному раствору. Раствор выпаривают, охлаждают и переводят в мерную колбу вместимостью, указанной в табл.1, доводят до метки водой, перемешивают и фильтруют через сухой фильтр средней плотности в сухую колбу. Первые порции фильтрата отбрасывают.
В две мерные колбы вместимостью по 50 см отбирают аликвотные части раствора, выбранные по табл.1, приливают по 5 см
раствора аскорбиновой кислоты, доводят водой до объема 40 см
, перемешивают. Через 20 мин во вторую колбу прибавляют 2 см
раствора ди-Na-ЭДТА. Затем в обе колбы прибавляют по 1 см
раствора ксиленолового оранжевого, доливают до метки водой и перемешивают. Раствор второй колбы служит раствором сравнения.
Через 5 мин измеряют оптическую плотность раствора пробы, раствора контрольного опыта и растворов для построения градуировочного графика на спектрофотометре при длине волны 540 нм или фотоэлектроколориметре в области светопропускания 510-560 нм.
После вычитания значения оптической плотности раствора контрольного опыта из значения оптической плотности раствора пробы находят массу циркония по градуировочному гр
афику.
3.2. Для построения градуировочного графика в конические колбы вместимостью по 250 см в зависимости от массовой доли циркония в пробе поочередно отбирают стандартный раствор Б в количествах:
0,0; 0,5; 1,0; 1,5; 2,0 и 2,5 см, что соответствует 0,0000; 0,00005; 0,00010; 0,00015; 0,00020 и 0,00025 г циркония - при массовой доле циркония от 0,01 до 0,05%.
0,0; 2,5; 3,0; 3,5; 4,0; 4,5 и 5,0 см, что соответствует 0,0000; 0,00025; 0,00030; 0,00035; 0,00040; 0,00045 и 0,00050 г циркония - при массовой доле циркония свыше 0,05 до 0,1%;
0,0; 2,0; 3,0; 4,0; 5,0; 6,0; 8,0 и 10,0 см, что соответствует 0,0000; 0,00020; 0,00030; 0,00040; 0,00050; 0,00060; 0,00080 и 0,00100 г циркония - при массовой доле циркония свыше 0,1 до 1,0%;
0,0; 10,0; 12,5; 15,0; 17,5; 20,0 и 25,0 см, что соответствует 0,0000; 0,00100; 0,00125; 0,00150; 0,00175; 0,00200 и 0,00250 г циркония - при массовой доле циркония свыше 1,0%.
Во все колбы добавляют навески железа и титана массой, соответствующей их содержанию в навеске, приливают по 25 см раствора серной кислоты 1:4 при массовой доле циркония от 0,01 до 0,1% или 50 см
раствора серной кислоты 1:3 - при массовой доле циркония свыше 0,1 до 1,0% или 50 см
раствора серной кислоты 1:1 при массовой доле циркония свыше 1% и растворяют при нагревании. Далее поступают, как указано в п.3.1.
Раствор, не содержащий стандартного раствора Б, служит раствором сравнения.
По полученным значениям оптических плотностей растворов и соответствующим им массовым долям циркония строят градуировочный графи
к.
3.1, 3.2. (Измененная редакция, Изм. N 1, 2).
4. ОБРАБОТКА РЕЗУЛЬТАТОВ
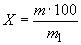
4.1. Массовую долю циркония () в процентах вычисляют по формуле
,
где - масса циркония, найденная по градуировочному графику, г;
- масса навески, г.
4.2. Нормы точности и нормативы контроля точности измерения массовой доли циркония приведены в табл.2.
Таблица 2
Массовая доля циркония, % | Погрешность результатов анализа, % | Допускаемое расхождение, % | |||
двух средних результатов анализа, выполненных в различных условиях | двух параллельных определений | трех параллельных определений | результатов анализа стандартного образца | ||
От 0,01 до 0,02 включ. | 0,006 | 0,007 | 0,006 | 0,007 | 0,004 |
Св. 0,02 " 0,05 " | 0,008 | 0,010 | 0,008 | 0,010 | 0,005 |
" 0,05 " 0,10 " | 0,02 | 0,02 | 0,02 | 0,02 | 0,01 |
" 0,1 " 0,2 " | 0,02 | 0,03 | 0,03 | 0,03 | 0,02 |
" 0,2 " 0,5 " | 0,03 | 0,04 | 0,03 | 0,04 | 0,02 |
" 0,5 " 1,0 " | 0,04 | 0,05 | 0,04 | 0,05 | 0,03 |
" 1,0 " 2,5 " | 0,06 | 0,07 | 0,06 | 0,07 | 0,04 |
(Измененная редакция, Изм. N 2).
5. АТОМНО-АБСОРБЦИОННЫЙ МЕТОД
5.1. Сущность метода
Метод основан на растворении пробы в смеси соляной и азотной кислот, распылении раствора в пламя закись азота-ацетилен и измерении атомной абсорбции циркония при длине волны 360,1 нм.
5.2. Аппаратура, реактивы и растворы
Спектрофотометр атомно-абсорбционный со всеми принадлежностями.
Кислота соляная по ГОСТ 3118-77 и разбавленная 1:1.
Кислота азотная по ГОСТ 4461-77.
Кислота серная по ГОСТ 4204-77, разбавленная 1:1, 1:20.
Кислота фтористоводородная по ГОСТ 10484-78.
Калий пиросернокислый по ГОСТ 7172-76.
Аммиак водный по ГОСТ 3760-79.
Аммоний хлористый по ГОСТ 3773-72 и раствор с массовой концентрацией 10 г/дм.
Калий углекислый по ГОСТ 4221-76 и раствор аммония с массовой концентрацией 10 г/дм.
Железо треххлористое по ГОСТ 4147-74.
Железо металлическое.
Раствор железа: 12,5 г металлического железа или 60,5 г треххлористого железа растворяют в 100 см раствора соляной кислоты и окисляют 4-6 каплями азотной кислоты. Раствор охлаждают, переносят в мерную колбу вместимостью 500 см
, доливают до метки водой и перемешивают.
1 см раствора содержит 0,025 г железа.
Титан металлический.
Раствор титана: 12,5 г титана растворяют при нагревании в 250 см раствора соляной кислоты. Раствор охлаждают, переносят в мерную колбу вместимостью 500 см
, доливают до метки раствором соляной кислоты и перемешивают.
1 см раствора титана содержит 0,025 г титана.
Алюминий металлический.
Раствор алюминия: 10 г алюминия растворяют при нагревании в 250 см раствора соляной кислоты. Раствор охлаждают, переносят в мерную колбу вместимостью 500 см
, доливают до метки водой и перемешивают. Перед применением при необходимости фильтруют.
1 см раствора содержит 0,02 г алюминия.
Циркония (IV) хлорокись.
Цирконий металлический.
Стандартный раствор циркония: 0,5000 г циркония помещают в платиновую чашку, приливают 5 см раствора фтористоводородной кислоты и небольшими порциями 5 см
азотной кислоты. После полного растворения раствор выпаривают досуха и выпаривание повторяют еще два раза, добавляя по 5 см
азотной кислоты. Охлажденный остаток растворяют в воде, переносят в мерную колбу вместимостью 250 см
, доливают до метки водой и перемешивают.
1 см раствора содержит 0,002 г циркония;
или 8,8330 г хлорокиси циркония помещают в стакан вместимостью 400 см, растворяют при нагревании в 250 см
раствора соляной кислоты. Раствор охлаждают, переносят в мерную колбу вместимостью 500 см
, доливают до метки раствором соляной кислоты и перемешивают.
Аликвотную часть раствора 100 см помещают в мерную колбу вместимостью 250 см
, доливают до метки водой и перемешивают.
1 см раствора содержит примерно 0,002 г циркония.
Для установления массовой концентрации циркония от раствора в мерной колбе вместимостью 500 см отбирают 20 см
, помещают в стакан вместимостью 250 см
, добавляют 30 см
воды, 3 г хлористого аммония, аммиак до выпадения осадка гидроокиси циркония и в избыток 5 см
. Раствор с осадком нагревают до кипения и через 1 ч фильтруют осадок на фильтр средней плотности, промывают 7-9 раз горячим раствором хлористого аммония. Фильтр с осадком помещают в прокаленный при температуре 850-950 °С в течение 5-10 мин и взвешенный платиновый тигель, высушивают, озоляют, прокаливают при температуре 950-1000 °С в течение 1 ч, охлаждают в эксикаторе и взвешивают.
Массовую концентрацию циркония в стандартном растворе () , выраженную в г/см
, вычисляют как указано в разделе 2.
(Измененн
ая редакция, Изм. N 2).
5.3. Проведение анализа
5.3.1. Навеску ферротитана массой 1 г растворяют в зависимости от массовой доли кремния в пробе одним из двух способов.
Способ 1. При массовой доле кремния до 5% навеску ферротитана помещают в стакан вместимостью 250 см, приливают 10 см
соляной кислоты и 5 см
азотной кислоты. После прекращения бурной реакции раствор нагревают до растворения, затем добавляют 20 см
раствора серной кислоты 1:1.
Способ 2. При массовой доле кремния свыше 5% навеску ферротитана помещают в платиновую чашку, смачивают водой, приливают 10 см фтористоводородной кислоты и небольшими порциями 5 см
азотной кислоты. После прекращения бурной реакции раствор нагревают до растворения пробы, затем добавляют 20 см
раствора серной кислоты 1:1.
Раствор, полученный способом 1 или 2, выпаривают до паров серной кислоты, охлаждают, стенки стакана или чашки обмывают водой и вновь выпаривают до паров серной кислоты. После охлаждения к раствору добавляют 40 см воды и нагревают до растворения солей. Раствор фильтруют через фильтр средней плотности, промывают фильтр 7-9 раз горячей водой. Фильтрат и промывные воды помещают в стакан вместимостью 250 см
, выпаривают до объема 20-30 см
, охлаждают и сохраняют (основной раствор).
Фильтр с осадком помещают в платиновый тигель, высушивают, озоляют, затем прокаливают при температуре 700-800 °С в течение 5-10 мин. После охлаждения остаток смачивают 3-5 каплями раствора серной кислоты 1:1, приливают 3-5 см раствора фтористоводородной кислоты, затем содержимое тигля выпаривают досуха и прокаливают при температуре 700-800 °С в течение 3-5 мин. После охлаждения к остатку добавляют 2 г углекислого калия и сплавляют в течение 15-20 мин при температуре 900-950 °С. Охлажденный тигель помещают в стакан вместимостью 250 см
, приливают примерно 40 см
воды и выщелачивают плав при нагревании. Тигель вынимают из стакана, обмывают горячей водой и оставляют стакан с раствором в теплом месте на 5 мин, затем фильтруют раствор через фильтр средней плотности и промывают фильтр 5-7 раз теплым раствором углекислого калия. Фильтрат и промывные воды отбрасывают.
Фильтр с осадком помещают в тот же платиновый тигель, высушивают, озоляют, затем прокаливают при температуре 800-900 °С, в течение 5 мин. После охлаждения в тигель добавляют 1 г пиросернокислого калия и сплавляют при температуре 900 °С. Тигель охлаждают, приливают 10 см раствора серной кислоты 1:20 и выщелачивают плав при нагревании. Полученный раствор присоединяют к основному раствору.
После охлаждения объединенный раствор переносят в мерную колбу вместимостью 100 см, доливают до метки водой и пере
мешивают.
5.3.2. Для построения градуировочного графика в семь стаканов вместимостью по 250 см наливают по 4 см
раствора железа и по 4 см
раствора титана, на каждые 10% их содержания в навеске по 0,5 см
раствора алюминия на каждый процент его содержания в навеске пробы, приливают 5 см
азотной кислоты, по 20 см
раствора серной кислоты 1:1, затем в шесть стаканов добавляют 1,0; 2,5; 5,0; 7,5; 10,0 и 12,5 см
стандартного раствора циркония, что соответствует 0,002; 0,005; 0,010; 0,015; 0,020 и 0,025 г циркония.
Все растворы выпаривают до паров серной кислоты, охлаждают, обмывают стенки стаканов небольшим количеством воды и выпаривание повторяют. После охлаждения к раствору добавляют по 40 см воды, по 1 г пиросернокислого калия, нагревают до растворения солей, охлаждают, переносят в мерные колбы вместимостью по 100 см
, доливают до метки водой и перемешива
ют.
5.3.3. Атомную абсорбцию циркония измеряют в анализируемом растворе, растворе контрольного опыта и в растворах для построения градуировочного графика при длине волны 360,1 нм в пламени закись азота-ацетилен.
Градуировочный график строят по результатам, полученным после вычитания значения атомной абсорбции раствора, не содержащего стандартный раствор циркония, из значений атомных абсорбций растворов, содержащих стандартный раствор, и соответствующим им массовым долям циркония.
После вычитания значения атомной абсорбции раствора контрольного опыта из значения атомной абсорбции анализируемого раствора находят концентрацию циркония в растворе пробы по градуировочному графику.
5.4. Обработка результатов
5.4.1. Массовую долю циркония () в процентах вычисляют по формуле
,
где - концентрация циркония в растворе или в аликвотной части, найденная по градуировочному графику, г/см
;
- объем анализируемого раствора, см
;
- масса навески пробы или ее части, соответствующей аликвотной части анализируемого раствора, г.
5.4.2. Нормы точности и нормативы контроля точности измерения массовой доли циркония приведены в табл.1.
(Измененная редакция, Изм. N 2).
Электронный текст документа
подготовлен АО "Кодекс" и сверен по:
официальное издание
М.: ИПК Издательство стандартов, 1999
Разместите заказ
сами сделают вам предложение
