ГОСТы сталей. ГОСТ 14250.1-90
ГОСТ 14250.1-90
(СТ СЭВ 1232-89,
ИСО 7692-83)
Группа В19
ГОСУДАРСТВЕННЫЙ СТАНДАРТ СОЮЗА ССР
ФЕРРОТИТАН
Метод определения титана
Ferrotitanium. Method for determination of titanium
ОКСТУ 0809
Срок действия с 01.07.91
до 01.07.96*
_______________________________
* Ограничение срока действия снято по протоколу N 5-94
Межгосударственного Совета по стандартизации,
метрологии и сертификации (ИУС N 11/12, 1994 год). -
Примечание изготовителя базы данных.
ИНФОРМАЦИОННЫЕ ДАННЫЕ
1. РАЗРАБОТАН И ВНЕСЕН Министерством металлургии СССР
РАЗРАБОТЧИКИ
В.Г.Мизин, Т.А.Перфильева, С.И.Ахманаев, Г.И.Гусева
2. УТВЕРЖДЕН И ВВЕДЕН В ДЕЙСТВИЕ Постановлением Государственного комитета СССР по управлению качеством продукции и стандартам от 29.12.90 N 3749
3. Стандарт полностью соответствует СТ СЭВ 1232-89, кроме приложения
4. ВЗАМЕН ГОСТ 14250.1-80
Приложение подготовлено методом прямого применения международного стандарта ИСО 7692-83* "Ферротитан. Определение содержания титана. Титриметрический метод".
________________
* Доступ к международным и зарубежным документам, упомянутым в тексте, можно получить, обратившись в Службу поддержки пользователей. - Примечание изготовителя базы данных.
5. ССЫЛОЧНЫЕ НОРМАТИВНО-ТЕХНИЧЕСКИЕ ДОКУМЕНТЫ
Обозначение НТД, на который дана ссылка | Номер пункта, раздела |
ГОСТ 61-75 | Разд.2 |
ГОСТ 83-79 | Разд.2 |
ГОСТ 177-88 | Разд.2 |
ГОСТ 3118-79* | Разд.2 |
ГОСТ 3760-79 | Разд.2 |
ГОСТ 4139-75 | Разд.2 |
ГОСТ 4147-74 | Разд.2 |
ГОСТ 4201-79 | Разд.2 |
ГОСТ 4204-77 | Разд.2 |
ГОСТ 4328-77 | Разд.2 |
ГОСТ 4461-77 | Разд.2 |
ГОСТ 7172-76 | Разд.2 |
ГОСТ 10484-78 | Разд.2 |
ГОСТ 10929-76 | Разд.2 |
ГОСТ 20490-75 | Разд.2 |
ГОСТ 26201-84 | 1.2 |
ГОСТ 27067-86 | Разд.2 |
ГОСТ 28473-90 | 1.1 |
________________
* Вероятно, ошибка оригинала. Следует читать: ГОСТ 3118-77. - Примечание изготовителя базы данных.
Настоящий стандарт устанавливает титриметрическнй метод определения титана в ферротитане при массовой доле его от 15 до 80%.
Метод основан на восстановлении четырехвалентного титана до трехвалентного металлическим алюминием в кислом растворе с последующим титрованием раствором трехвалентного железа в присутствии роданид-ионов в защитной атмосфере инертного газа или на воздухе в присутствии комплексообразователя - уксусной кислоты.
Для устранения мешающего влияния ванадия и молибдена при их суммарном содержании свыше 0,2% титан отделяют гидроокисью натрия.
Допускается определение титана по методике международного стандарта ИСО 7692-83, приведенного в приложении.
1. ОБЩИЕ ТРЕБОВАНИЯ
1. ОБЩИЕ ТРЕБОВАНИЯ
1.1. Общие требования к методу анализа - по ГОСТ 28473.
1.2. Лабораторная проба должна быть приготовлена в виде порошка с размером частиц 0,16 мм по ГОСТ 26201.
2. АППАРАТУРА, РЕАКТИВЫ И РАСТВОРЫ
Клапан Бунзена (черт.1) состоит из пробки (1), сквозь которую проходит стеклянная трубка (2). На стеклянную трубку насажена резиновая трубка (3), верхний конец которой закрыт стеклянной пробкой (5). Резиновая трубка, насаженная на стеклянную трубку (2), имеет продольный надрез (4), который сделан лезвием бритвы на длину 10-15 мм. В случае восстановления титана в атмосфере инертного газа в клапан Бунзена (черт.2) дополнительно вставляется стеклянная трубка (6) для подачи инертного газа. Допускается применение защитных клапанов других типов.
|
|
Черт.1 | Черт.2 |
| |
Черт.3 | |
Насадка для титрования в атмосфере инертного газа (черт.3).
Кислота азотная по ГОСТ 4461.
Кислота серная по ГОСТ 4204 и растворы 1:1, 1:4, 1:19.
Кислота соляная по ГОСТ 3118 и растворы 3:2, 1:1, 1:19.
Кислота фтористоводородная по ГОСТ 10484.
Кислота уксусная по ГОСТ 61.
Смесь кислот: к 450 см раствора соляной кислоты (3:2) приливают 150 см
раствора серной кислоты (1:4) и перемешивают.
Калий пиросернокислый по ГОСТ 7172.
Калий марганцовокислый по ГОСТ 20490, раствор 20 г/дм.
Алюминий металлический в виде пластинок толщиной 0,2-0,5 мм.
Аммоний роданистый по ГОСТ 27067, раствор 500 г/дм или калий роданистый по ГОСТ 4139, раствор 600 г/дм
.
Аммиак водный по ГОСТ 3760 и раствор 1:24.
Натрия гидроокись по ГОСТ 4328, растворы 30 и 250 г/дм.
Натрий углекислый кислый по ГОСТ 4201 или натрий углекислый по ГОСТ 83.
Водорода пероксид по ГОСТ 10929 или по ГОСТ 177.
Титана двуокись.
Стандартный раствор титана.
1,6680 г двуокиси титана, свежепрокаленной при температуре (1000±25)°С, сплавляют в платиновой чашке с 25 г пиросернокислого калия при температуре (800±25)°С. Охлажденный плав помещают в стакан вместимостью 400 см и растворяют при нагревании в 100 см
горячего раствора серной кислоты (1:1). Затем приливают 100 см
воды и полученный раствор фильтруют через фильтр средней плотности в мерную колбу вместимостью 1 дм
. Фильтр промывают 5-6 раз раствором серной кислоты (1:19) и отбрасывают. Раствор охлаждают, доливают до метки раствором серной кислоты (1:19) и перемешивают.
Массовую концентрацию стандартного раствора титана устанавливают следующим образом:
50,0 см стандартного раствора титана помещают в стакан вместимостью 250-300 см
, добавляют 100-150 см
воды, приливают при перемешивании аммиак до выпадения гидроксида титана и 10 см
в избыток. Раствор с осадком нагревают до кипения, осадок отфильтровывают на фильтр средней плотности и промывают 3-4 раза теплым раствором аммиака.
Фильтр с осадком помещают в предварительно прокаленный и взвешенный платиновый тигель, высушивают, озоляют и прокаливают при температуре (1000±25)°С в течение 1 ч. Тигель с осадком охлаждают в эксикаторе и взвешивают.
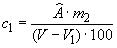
Массовую концентрацию стандартного раствора титана (), выраженную в г/см
титана, вычисляют по формуле
, (1)
где - масса осадка двуокиси титана, г;
- масса осадка контрольного опыта, г;
0,5995 - коэффициент пересчета двуокиси титана на титан;
50 - объем стандартного раствора титана, см.
Железо треххлористое 6-водное по ГОСТ 4147, раствор (
)=0,05 моль/дм.
13,52 г хлорида железа растворяют при нагревании в 200 см раствора соляной кислоты (1:19). Затем раствор охлаждают, фильтруют в мерную колбу вместимостью 1 дм
, доливают до метки раствором соляной кислоты (1:19) и перемешивают или железо (III) аммоний сернокислый, раствор
(
)=0,05 моль/дм: 24,1 г реактива растворяют в 400 см
раствора серной кислоты (1:19), приливают по каплям раствор перманганата калия до появления розовой окраски, нагревают и кипятят до исчезновения окраски. Раствор охлаждают, фильтруют в мерную колбу вместимостью 1 дм
, доливают до метки раствором серной кислоты (1:19) и перемешивают.
Массовую концентрацию раствора железа устанавливают по стандартному образцу, проведенному через все стадии анализа, или по стандартному раствору титана: 50,0 см стандартного раствора титана помещают в коническую колбу вместимостью 500 см
, приливают 100 см
раствора соляной кислоты (1:1), добавляют 2 г гидрокарбоната или карбоната натрия, 2 г алюминия и далее восстановление и титрование проводят, как указано в п.4.1.5.
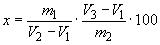
Массовую концентрацию раствора железа (), выраженную в г/см
титана, вычисляют по формуле
, (2)
где - аттестованное значение массовой доли титана в стандартном образце, %;
- масса навески стандартного образца, г;
- объем раствора железа, израсходованный на титрование раствора стандартного образца, см
;
- объем раствора железа, израсходованный на титрование раствора контрольного опыта, см
или
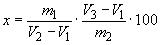
, (3)
где - масса титана в аликвотной части стандартного раствора, г;
- объем раствора железа, израсходованный на титрование стандартного раствора титана, см
;
- объем раствора железа, израсходованный на титрование раствора контрольного опыта, см
.
3. ПРОВЕДЕНИЕ АНАЛИЗА
3.1. Массу навески пробы выбирают в зависимости от массовой доли титана по табл.1.
Таблица 1
Массовая доля титана, % | Масса навески, г |
От 15 до 30 включ. | 0,25 |
Св. 30 " 4,0 " | 0,2 |
" 40 " 80 " | 0,1 |
3.1.1. При массовой доле кремния до 5% навеску помещают в коническую колбу вместимостью 500 см, приливают 40 см
раствора серной кислоты (1:4) и растворяют при слабом нагревании. Затем небольшими порциями добавляют 5 см
азотной кислоты и выпаривают раствор до выделения густых паров серной кислоты. После охлаждения обмывают стенки колбы водой, снова выпаривают раствор до выделения густых паров серной кислоты и охлаждают.
3.1.2. При массовой доле кремния свыше 5% навеску помещают в платиновую или стеклоуглеродистую чашку, приливают 40 см раствора серной кислоты (1:4), 5 см
раствора фтористоводородной кислоты, перемешивают, добавляют небольшими порциями 5 см
азотной кислоты и выпаривают раствор до выделения густых паров серной кислоты. После охлаждения приливают 30 см
воды, нагревают до растворения солей и раствор переносят в коническую колбу вместимостью 500 см
. Затем раствор снова выпаривают до выделения густых паров серной кислоты и охлаждают.
3.1.3. К содержимому колбы, полученному по п.3.1.1 или 3.1.2, приливают 50 см воды, обмывают стенки колбы водой и нагревают раствор до полного растворения солей. В случае неполного разложения навески нерастворимый остаток отфильтровывают на фильтр средней плотности и промывают 3-4 раза горячим раствором серной кислоты (1:19). Фильтр с остатком помещают в платиновый тигель, высушивают, озоляют и прокаливают при температуре (650±50)°С. Остаток сплавляют с 2 г пиросульфата калия при температуре (725±25)°С. После охлаждения плав выщелачивают в стакане вместимостью 100 см
в 30 см
раствора серной кислоты (1:19) при нагревании и присоединяют к основному раствору, общий объем не должен превышать 120 см
.
3.1.4. При суммарной массовой доле ванадия и молибдена свыше 0,2% к раствору приливают раствор гидроокиси натрия 250 г/дм до начала выделения гидроксидов 20 см
в избыток, затем приливают 2 см
пероксида водорода и кипятят раствор с осадком 3-5 мин. Осадку дают отстояться 15-20 мин и отфильтровывают его на фильтр средней плотности. Колбу и осадок промывают 6-7 раз горячим раствором гидроокиси натрия 30 г/дм
.
Осадок на фильтре растворяют в 60 см горячей смеси кислот, собирая раствор в колбу, в которой проводилось осаждение. Смесь кислот приливают порциями по 10 см
, давая каждой порции полностью пройти через фильтр. Затем фильтр промывают четыре раза горячим раствором соляной кислоты (3:2) порциями по 10 см
, давая каждой порции кислоты полностью пройти через фильтр, и 2-3 раза горячей водой. Фильтр отбрасывают. Объем должен быть не более 120-140 см
.
3.1.5. В охлажденный раствор прибавляют 2 г углекислого кислого или углекислого натрия, 2 г алюминия, закрывают колбу защитным клапаном и выдерживают при комнатной температуре до начала бурной реакции, затем восстановление титана проводят при охлаждении колбы. После полного растворения алюминия вынимают клапан, добавляют в колбу 15 см уксусной кислоты, 20 см
соляной кислоты, обмывают клапан и стенки колбы водой и снова закрывают колбу клапаном. После перемешивания раствор осторожно нагревают до просветления, затем охлаждают в проточной воде, осторожно открывают колбу и титруют раствором железа до ослабления сиренево-фиолетовой окраски. Затем добавляют 2 см
раствора роданистого аммония или калия и продолжают титровать до получения неисчезающего желто-бурого окрашивания раствора.
Титрование восстановленного титана можно проводить в атмосфере инертного газа в герметически закрытой ячейке. В этом случае уксусную кислоту не добавляют.
3.1.6. При суммарной массовой доле ванадия и молибдена до 0,2% растворение навески пробы проводят по п.3.1.1 или 3.1.2.
При полном разложении навески к содержимому колбы приливают 30 см воды, 100 см
раствора соляной кислоты (1:1) и нагревают до растворения солей. Далее анализ проводят по п.3.1.5.
При неполном разложении навески анализ проводят по п.3.1.3, затем выпаривают раствор до объема 50-70 см, приливают 50 см
соляной кислоты и охлаждают. Далее поступают, как указано в п.3.1.5.
В случае помутнения раствора при выпаривании (из-за гидролиза титана) следует выпаривать раствор до паров серной кислоты, охладить, прилить 30 см воды, 100 см
раствора соляной кислоты (1:1) и нагреть до растворения солей. Далее анализ проводят по п.3.1.5.
4. ОБРАБОТКА РЕЗУЛЬТАТОВ
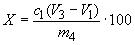
4.1. Массовую долю титана () в процентах вычисляют по формуле
, (4)
где - массовая концентрация раствора железа, выраженная в г/см
титана;
- объем раствора железа, израсходованный на титрование раствора пробы, см
;
- объем раствора железа, израсходованный на титрование раствора контрольного опыта, см
;
- масса навески пробы, г.
4.2. Нормы точности и нормативы контроля точности определения массовой доли титана приведены в табл.2.
Таблица 2
Массовая доля титана, % | Погрешность результатов | Допускаемые расхождения, % | |||||||
анализа, % | двух средних результатов анализа, выполненных в различных условиях | двух парал- | трех парал- | результатов анализа стандартного образца от аттестованного значения | |||||
От | 15 | до | 20 | включ. | 0,2 | 0,3 | 0,2 | 0,3 | 0,1 |
Св. | 20 | " | 50 | " | 0,3 | 0,4 | 0,3 | 0,4 | 0,2 |
" | 50 | " | 80 | " | 0,5 | 0,6 | 0,5 | 0,6 | 0,3 |
ПРИЛОЖЕНИЕ (рекомендуемое). Международный стандарт. ФЕРРОТИТАН. ИСО 7692. Определение содержания титана. Титриметрический метод.
ПРИЛОЖЕНИЕ
Рекомендуемое
ФЕРРОТИТАН
ИСО 7692
Определение содержания титана
Титриметрический метод
1. НАЗНАЧЕНИЕ И ОБЛАСТЬ ПРИМЕНЕНИЯ
Настоящий международный стандарт устанавливает титриметрический метод определения содержания титана в ферротитане. Метод применим к маркам ферротитана с содержанием титана между 20 и 80% (м/м).
2. ССЫЛКИ
ИСО 3713 "Ферросплавы. Отбор и подготовка проб. Общие правила"*.
________________
* На стадии проекта.
3. СУЩНОСТЬ МЕТОДА
Растворение навески в серной, фтористоводородной, азотной и соляной кислотах. Отделение мешающих элементов (хром, ванадий, молибден, олово) при их наличии путем осаждения гидроокиси титана в присутствии перекиси водорода. Восстановление титана до Ti металлическим алюминием в атмосфере двуокиси углерода или азота. Титрование Ti
стандартным титрованным раствором двойной соли сульфата железа (III) и аммония в присутствии роданистого аммония в качестве индикатора.
4. РЕАКТИВЫ
Если нет других указаний, то в ходе анализа используют только реактивы известного аналитического качества и дистиллированную воду или воду эквивалентной чистоты.
4.1. Алюминий чистый, не менее 99,5%, не содержащий титан, в виде листа толщиной 0,05 мм.
4.2. Натрий кислый углекислый (
).
4.3. Кислота азотная, р 1,42 г/см.
4.4. Кислота серная, р 1,84 г/см.
4.5. Кислота соляная, р 1,19 г/см.
4.6. Кислота фтористоводородная, р 1,14 г/см.
4.7. Кислота серная, разбавленная (1+1).
Осторожно добавляют один объем серной кислоты к одному объему воды. Охлаждают, перемешивая.
4.8. Кислота серная, разбавленная (1+4)
Осторожно добавляют один объем серной кислоты к четырем объемам воды. Охлаждают, перемешивая.
4.9. Натрия гидроокись, раствор 100 г/дм.
4.10. Натрия гидроокись, раствор 20 г/дм.
4.11. Аммоний роданистый, раствор 100 г/дм.
4.12. Азот, практически не содержащий кислород (менее 10 объемных частей на 1 млн), чистота 99,998% или двуокись углерода такой же чистоты.
4.13. Перекись водорода, 30%-ный раствор или 100-объемный раствор.
4.14. Двойная соль сульфата железа (III) и аммония [
], раствор стандартный титрованный.
10,2 г двойной соли сульфата железа (III) и аммония помещают в химический стакан вместимостью 400 см. Приливают 100 см
холодной воды и 50 см
соляной кислоты. Переливают по частям в мерную колбу с меткой вместимостью 1000 см
и разбавляют до метки 1 см
этого раствора соответствует примерно 1 мг титана.
4.15. Сульфат железа (III), раствор
Растворяют 2 г чистого железа (например, BCS 149/3) в 50 см соляной кислоты, окисляют при помощи 10 см
азотной кислоты, приливают 40 см
раствора серной кислоты, разбавленной (1+1), и нагревают до появления белых паров. Охлаждают, разбавляют водой до объема 200 см
и кипятят в течение 15 мин. Охлаждают, переливают по частям в мерную колбу с меткой вместимостью 500 см
и разбавляют водой до метки.
4.16. Губка титановая, металлический титан чистотой более 99,9% титана.
4.17. Титан, эталонный раствор 0,5 г/дм
4.17.1. Приготовление раствора из двуокиси титана
Взвешивают (0,8340±0,0002) г двуокиси титана, предварительно прокаленного в течение 2 ч при температуре 800°С. Осторожно сплавляют с 10 г пиросульфата калия, используя либо платиновый тигель с такой же крышкой или кварцевый тигель вместимостью 170 см с крышкой в виде тарелки, или кварцевую коническую колбу.
После охлаждения растворяют полученный плав прямо в кварцевом тигле или в кварцевой конической колбе в 100 см горячей воды, затем переливают раствор в стакан вместимостью 400 см
. Несколько раз споласкивают кварцевый тигель или кварцевую коническую колбу. Если используют платиновый тигель, то после охлаждения помещают его в стакан вместимостью 400 см
, в котором содержится 100 см
горячей воды, чтобы растворить плав. Когда плав растворится, вынимают тигель и споласкивают его несколько раз водой. К раствору плава приливают 50 см
серной кислоты, разбавленной (1+4). Осторожно нагревают на плите до полного просветления раствора. Охлаждают, переливают по частям в мерную колбу с меткой вместимостью 1000 см
доливают водой до метки и перемешивают.
4.17.2. Приготовление раствора из гексафтортитаната калия
Взвешивают в платиновом тигле (2,5060±0,0002) г гексафтортитаната калия (
), предварительно высушенного в течение 2 ч при температуре 105°С. Помещают тигель в стакан вместимостью 100 см, приливают 50 см
раствора серной кислоты, разбавленной (1+4), и нагревают до тех пор, пока гексафтортитанат не растворится (примерно 15 мин). Вынимают тигель и несколько раз споласкивают его водой. Переносят раствор по частям в мерную колбу с меткой вместимостью 100 см
и после охлаждения разбавляют водой до метки и перемешивают.
5. ПРИБОРЫ
Обычное лабораторное оборудование, в частности
5.1. Стаканы тефлоновые вместимостью 250 см.
5.2. Стаканы стеклянные вместимостью 600 см.
5.3. Колба коническая или круглая с плоским дном вместимостью 500 см.
5.4. Клапан Бунзена или трубка Геккеля
Клапан Бунзена (черт.1) состоит из каучуковой пробки 1, сквозь которую проходят две стеклянные трубки 2 и 6. На стеклянные трубки насажены резиновые трубки 5, верхние концы которых закрыты стеклянными пробками 5. Резиновая трубка, насаженная на стеклянную трубку 2, имеет продольный надрез 4, который сделан бритвой на длину 10-15 мм. Трубка 6, конец которой находится на расстоянии 5 см над уровнем титруемого раствора, позволяет вводить азот или двуокись углерода, сменяя трубку, через которую газ поступает в резиновую трубку 3.
5.5. Мешалка магнитная со стержнем, покрытым тефлоном.
5.6. Установка для титрования в атмосфере азота (черт.2).
|
|
Черт.1 | Черт.2 |
6. ПРОБА
Используют порошок, проходящий через сито с отверстиями размером 160 мкм, приготовленный согласно ИСО 3713.
7. ХОД АНАЛИЗА
7.1. Навеска
Отбирают навеску массой (1±0,0002) г.
7.2. Контрольный анализ
Проводят контрольный анализ параллельно определению в тех же условиях, используя то же количество всех реактивов (кроме раствора двойной соли сульфата железа и аммония) и без навески.
7.3. Контрольное испытание
Проверяют правильность проведения анализа, проводя параллельно анализу в тех же условиях определение содержания титана в одной или нескольких пробах одного типа с известным содержанием титана.
7.4. Установка титра раствора двойной соли сульфата железа (III) и аммония
7.4.1. Анализ с использованием титановой губки
Определение проводят на навеске титановой губки массой 0,75-0,85 г.
7.4.2. Анализ с использованием стандартного раствора титана
В коническую колбу вместимостью 500 см переносят пипеткой 50 см
стандартного раствора титана, 5 см
раствора серной кислоты, разбавленной (1+1), и 80 см
соляной кислоты. Продолжают согласно п.7.5.3.2.
Проводят контрольный анализ в тех же условиях, чтобы проверить отсутствие титана в реактивах, использованных для приготовления стандартного раствора.
7.5. Определение
7.5.1. Растворение навески
Помещают навеску в тефлоновый стакан вместимостью 250 см. Приливают примерно 20 см
воды и 35 см
раствора серной кислоты, разбавленной (1+1). Когда реакция замедлится, приливают 20 см
соляной кислоты и 1 см
фтористоводородной кислоты. Закрывают стакан тефлоновой крышкой. Проводят окисление без нагревания с помощью 5 см
азотной кислоты, добавляя ее по каплям. Когда реакция закончится, снимают крышку и осторожно нагревают раствор до появления белых паров. Продолжают нагревать в течение примерно 5 мин. Охлаждают раствор, приливают 30 см
соляной кислоты, осторожно перемешивают, закрывают и нагревают на плите до просветления раствора. Споласкивают крышку 5 см
соляной кислоты. Охлаждают и переливают раствор в мерную колбу с меткой вместимостью 500 см
. Споласкивают стакан и разбавляют раствор дистиллированной водой (раствор А) до метки.
Если ожидаемое содержание титана в пробе находится в пределах от 20 до 45% (м/м), то отбирают точно 50 см раствора А. Если ожидаемое содержание титана находится от 45 до 75% (м/м), то отбирают точно 25 см
раствора А. Эту аликвотную часть переносят в низкий стакан вместимостью 250 см
, содержащий 10 см
раствора сульфата железа (III), если нужно отделить мешающие элементы, продолжая действовать согласно п.7.5.2, или в коническую колбу вместимостью 500 см
, если такое отделение не проводится, продолжая действовать согласно п.7.5.3.1.
7.5.2. Отделение мешающих элементов
К аликвотной части раствора А в стакан вместимостью 250 см приливают 50 см
раствора гидроокиси натрия и 2 см
раствора перекиси водорода, нагревают до кипения и кипятят 5 мин. Дают осадку отстояться и фильтруют либо через двойной быстродействующий фильтр, или через фильтр, покрытый бумажной пульпой. После того как весь осадок гидроокиси перенесен на фильтр, промывают фильтр раствором гидроокиси натрия и споласкивают стакан и осадок шесть раз примерно 10 см
раствора гидроокиси натрия. Споласкивают трубку воронки водой и помещают воронку в коническую колбу вместимостью 500 см
.
В стакан вместимостью 250 см приливают 45 см
соляной кислоты и 15 см
раствора серной кислоты, разбавленной (1+4), и нагревают до 60-70°С. С помощью этой смеси кислот растворяют осадок гидроокислов на фильтре, добавляя ее порциями по 10 см
и давая каждой порции полностью пройти через фильтр перед подачей следующей порции. Когда стакан станет пустым, приливают 35 см
соляной кислоты, нагревают, как описано выше, и промывают фильтр порциями соляной кислоты примерно по 10 см
. В заключение споласкивают стакан, фильтр и трубку воронки горячей водой (70-80°С), общий объем которой не должен превышать 40 см
. Продолжают согласно п.7.
5.3.2.
7.5.3. Титрование
7.5.3.1. Отсутствие мешающих элементов
К аликвотной части раствора А, помещенной в коническую колбу вместимостью 500 см, приливают 85 см
соляной кислоты и 25 см
воды. Продолжают согласно 7.5.3 2.
7.5.3.2. Восстановление титана
К опытному раствору контрольного испытания, полученному согласно п.7.5.2 или 7.5.3.1, добавляют (2±0,2) г кислого углекислого натрия и (4±0,2) г алюминия, разрезанного на несколько кусочков. Сразу же закрывают колбу клапаном Бунзена или трубкой Геккеля, наполненной насыщенным раствором кислого углекислого натрия. Во время восстановления очень часто встряхивают.
________________ В конце восстановления может произойти всасывание в клапане Геккеля: в этом случае надо быстро добавить насыщенный раствор углекислого натрия.
7.5.3.3. Титрование в атмосфере азота
Перед полным растворением алюминия присоединяют погружающуюся трубку 6 клапана Бунзена к источнику азота, убрав резиновую трубку 3. Устанавливают расход азота до (0,7±0,1) дм/мин. Когда алюминий растворится (прекратится бурное выделение газа), полностью погружают колбу в холодную воду, дав возможность азоту выйти через щель 4 каучуковой трубки 3, пока раствор не остынет до комнатной температуры (необходимое время - примерно 7 мин).
Не перекрывая струю азота, приподнимают клапан Бунзена, приливают 10 см раствора роданистого аммония и вставляют магнитный стержень. Споласкивают погружающуюся трубку 6 кипяченой водой и заменяют клапан Бунзена титровальной установкой (черт.2), предварительно подключив ее к источнику азота. Всю систему ставят на магнитную мешалку и титруют раствором двойной соли сульфата железа (III) и аммония до получения стойкой розовой окраски.
7.5.3.4. Титрование в атмосфере двуокиси углерода
Когда алюминий полностью растворится, охлаждают раствор и вынимают клапан Бунзена или трубку Геккеля. Приливают 10 см раствора роданистого аммония и титруют раствором двойной соли сульфата железа (III) и аммония до получения стойкой розовой окраски.
8. ВЫРАЖЕНИЕ РЕЗУЛЬТАТОВ
8.1. Если титр раствора двойной соли сульфата железа (III) и аммония устанавливают методом с использованием титановой губки, то содержание титана (), выраженное в процентах, вычисляют по формуле
,
где - объем раствора двойной соли сульфата железа (III) и аммония, использованный при контрольном анализе, см
;
- объем раствора двойной соли сульфата железа (III) и аммония, использованный для титрования с применением титановой губки, см
;
- объем раствора двойной соли сульфата железа (III) и аммония, использованный при проведении анализа, см
;
- масса титановой губки, содержащаяся в аликвотной части, полученной согласно п.7.5.1, г;
- масса ферротитана, содержащаяся в аликвотной части, полученной согласно п.7.5.1, г.
8.2. Если титр раствора двойной соли сульфата железа (III) и аммония устанавливают методом с применением стандартного раствора титана согласно п.7.4.2, то содержание титана (), выраженное в процентах, вычисляют по формуле
,
где - объем раствора двойной соли сульфата железа (III) и аммония, использованный при контрольном анализе с установкой титра, см
;
- объем раствора двойной соли сульфата железа (III) и аммония, использованный для титрования 50 см
стандартного раствора титана, см
;
- объем раствора двойной соли сульфата железа (III) и аммония, использованный при определении, см
;
- объем раствора двойной соли сульфата железа (III) и аммония, использованный при контрольном анализе, см
;
- масса титана, содержащаяся в 50 см
стандартного раствора титана, г;
- масса ферротитана, содержащаяся в аликвотной части, полученной согласно п.7.5.1, г.
9. ОТЧЕТ ОБ ИСПЫТАНИИ
В отчете указывается
а) ссылка на настоящий международный стандарт;
б) описание проб;
в) полученный результат и способ его выражения;
г) все особенности, выявленные в ходе определения;
д) описание операций, не предусмотренных настоящим стандартом или рассматриваемых как необязательные.
Электронный текст документа
подготовлен АО "Кодекс" и сверен по:
официальное издание
Ферротитан. Методы анализа: Сб. ГОСТов. -
М.: Издательство стандартов, 1991
Разместите заказ
сами сделают вам предложение





