ГОСТы сталей. ГОСТ 14021.6-78
ГОСТ 14021.6-78
Группа В19
МЕЖГОСУДАРСТВЕННЫЙ СТАНДАРТ
ФЕРРОБОР
Методы определения марганца
Ferroboron. Methods for the determination of manganese
ОКСТУ 0809
Дата введения 1980-01-01
ИНФОРМАЦИОННЫЕ ДАННЫЕ
1. РАЗРАБОТАН И ВНЕСЕН Министерством черной металлургии СССР
РАЗРАБОТЧИКИ
И.К.Майборода, В.В.Мирошниченко
2. УТВЕРЖДЕН И ВВЕДЕН В ДЕЙСТВИЕ Постановлением Государственного комитета СССР по стандартам от 24.08.78 N 2330
3. ВЗАМЕН ГОСТ 14021.6-68
4. ССЫЛОЧНЫЕ НОРМАТИВНО-ТЕХНИЧЕСКИЕ ДОКУМЕНТЫ
Обозначение НТД, на который дана ссылка | Номер пункта |
ГОСТ 1277-75 | 2.2 |
ГОСТ 3118-77 | 2.2 |
ГОСТ 4197-74 | 2.2 |
ГОСТ 4201-79 | 2.2 |
ГОСТ 4204-77 | 2.2 |
ГОСТ 4233-77 | 2.2 |
ГОСТ 4328-77 | 2.2 |
ГОСТ 4461-77 | 2.2 |
ГОСТ 6552-80 | 2.2 |
ГОСТ 10929-76 | 2.2 |
ГОСТ 20478-75 | 2.2 |
ГОСТ 25207-85 | 1.2 |
ГОСТ 28473-90 | 1.2 |
5. Ограничение срока действия снято по протоколу N 4-93 Межгосударственного Совета по стандартизации, метрологии и сертификации (ИУС 4-94)
6. ПЕРЕИЗДАНИЕ (март 1999 г.) с Изменением N 1, утвержденным в мае 1989 г. (ИУС 8-89)
Настоящий стандарт устанавливает титриметрический персульфатно-серебряный и периодатный методы определения марганца (при массовой доле марганца от 0,1 до 1,0%) в ферроборе, предназначенном для легирования сталей и сплавов.
(Измененная редакция, Изм. N 1).
1. ОБЩИЕ ТРЕБОВАНИЯ
1. ОБЩИЕ ТРЕБОВАНИЯ
1.1. Общие требования к методам анализа - по ГОСТ 28473.
(Измененная редакция, Изм. N 1).
1.2. Лабораторная проба должна быть приготовлена в виде тонкого порошка с размером частиц 0,16 мм по ГОСТ 25207.
(Введен дополнительно, Изм. N 1).
2. ПЕРСУЛЬФАТНО-СЕРЕБРЯНЫЙ МЕТОД ОПРЕДЕЛЕНИЯ МАРГАНЦА
2.1. Сущность метода
Метод основан на окислении двухвалентного марганца в сернокислом растворе до семивалентного надсернокислым аммонием в присутствии катализатора - азотнокислого серебра.
Полученную марганцовую кислоту оттитровывают раствором мышьяковисто-азотистокислого натрия.
2.2. Реактивы и растворы
Кислота азотная по ГОСТ 4461, разбавленная 1:1.
Кислота серная по ГОСТ 4204, разбавленная 1:1, 1:2 и 5:1000.
Кислота ортофосфорная по ГОСТ 6552.
Кислота соляная по ГОСТ 3118, разбавленная 1:1.
Кислота хлорная, раствор с массовой долей 36 или 57%.
Аммоний надсернокислый (персульфат) по ГОСТ 20478, раствор с массовой долей 20%.
Водорода перекись по ГОСТ 10929.
Калий йоднокислый, раствор с массовой долей 5%; готовят следующим образом: 50 г йодноватокислого калия прибавляют к 1000 см горячей серной кислоты, разбавленной 5:1000, и нагревают до растворения навески.
Серебро азотнокислое по ГОСТ 1277, раствор с массовой долей 0,25% и раствор с массовой долей 15%.
Натрий хлористый по ГОСТ 4233, раствор с массовой долей 0,5%.
Натрий азотнокислый по ГОСТ 4197, раствор с массовой долей 3%.
Натрия гидроокись по ГОСТ 4328.
Натрий двууглекислый по ГОСТ 4201.
Натрий мышьяковистокислый, содержащий азотистокислый натрий, титрованный раствор; готовят следующим образом: 1,5 г мышьяковистого ангидрида помещают в стакан вместимостью 400-500 см, растворяют в 25 см
горячего раствора гидроокиси натрия, разбавляют до 120 см
водой, охлаждают, нейтрализуют разбавленной 1:2 серной кислотой и добавляют избыток ее 1-2 см
. Избыток серной кислоты нейтрализуют двууглекислым натрием по универсальному индикатору.
К полученному раствору прибавляют 0,85 г азотистокислого натрия и перемешивают до растворения солей. Содержимое стакана переливают в мерную колбу вместимостью 1000 см, доливают водой до метки, перемешивают и устанавливают массовую концентрацию раствора по стандартному раствору марганца или по стандартному образцу стали, близкому по массовой доле марганца к анализируемому ферробору.
Марганец металлический особой чистоты, стандартный раствор; готовят следующим образом: 0,1 г металлического марганца растворяют при нагревании в 20 см азотной кислоты, разбавленной 1:1. Раствор охлаждают, осторожно прибавляют 10 см
серной кислоты и выпаривают до появления паров серной кислоты. Затем раствор охлаждают, ополаскивают стенки стакана водой и вновь выпаривают до выделения паров серной кислоты. После чего раствор переносят в колбу вместимостью 1000 см
, охлаждают, доливают водой до метки и перемешивают.
1 см полученного раствора содержит 0,0001 г марганца.
Определение массовой концентрации раствора натрия мышьяковистокислого по стандартному раствору марганца.
50 мл стандартного раствора марганца помещают в коническую колбу вместимостью 250 см, добавляют 5 см
серной кислоты, разбавленной 1:1, 1 см
фосфорной кислоты, разбавляют водой до 100 см
и нагревают до кипения. Затем приливают 10 см
раствора азотнокислого серебра, 10 см
раствора надсернокислого аммония и снова нагревают до кипения, после чего снимают с плиты, выдерживают до прекращения выделения пузырьков кислорода, охлаждают в проточной воде до комнатной температуры, приливают 10 см
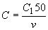
раствора хлористого натрия и немедленно титруют раствором мышьяковистокислого натрия. Массовую концентрацию раствора мышьяковистокислого натрия (
), выраженную в г/см
марганца, вычисляют по формуле
,
где - массовая концентрация стандартного раствора марганца, 0,0001 г/см
;
- количество мышьяковистокислого натрия, израсходованное на титрование 50 см
стандартного раствора марганца, см
.
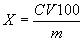
При установке массовой концентрации раствора мышьяковистокислого натрия по стандартному образцу ферробора или стали, близкому по массовой доле марганца к анализируемой пробе, проведенному через все стадии анализа, как указано в п.2.3, массовую концентрацию раствора () в г/см
вычисляют по формуле
,
где - массовая доля марганца в стандартном образце, %;
- масса навески стандартного образца, г;
- объем раствора мышьяковистокислого натрия, израсходованный на титрование, см
.
2.3. Проведение анализа
Навеску ферробора массой 0,5 г (при массовой доле марганца от 0,1 до 0,5%) или 0,2 г (при массовой доле марганца св. 0,5 до 1,0%) помещают в коническую колбу вместимостью 250 см и осторожно приливают до 20 см
азотной кислоты, разбавленной 1:1. После прекращения бурного выделения окислов азота содержимое колбы умеренно нагревают до растворения навески.
Раствор охлаждают, осторожно приливают 20 см серной кислоты, разбавленной 1:1, и выпаривают до появления паров серной кислоты. Выпавшие соли растворяют при нагревании в 80-100 см
воды и приливают 1-2 см
ортофосфорной кислоты.
Затем раствор нагревают до кипения, приливают 10 см раствора азотнокислого серебра, 20 см
раствора надсернокислого аммония, нагревают до кипения, снимают с плиты и выдерживают до прекращения выделения пузырьков кислорода. После чего колбу с раствором охлаждают в проточной воде до комнатной температуры, приливают 10 см
раствора хлористого натрия и немедленно титруют раствором мышьяковистокислого натрия.
Раствор мышьяковистокислого натрия приливают со скоростью 5-6 см/мин до перехода окраски титруемого раствора в слаборозовую; последующие порции раствора мышьяковистокислого натрия прибавляют по каплям до полного исчезновения розовой окрас
ки.
2.2, 2.3. (Измененная редакция, Изм. N 1).
2.4. Обработка результатов
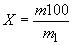
2.4.1. Массовую долю марганца () в процентах вычисляют по формуле
,
где - массовая концентрация раствора мышьяковистокислого натрия, выраженная в г/см
марганца;
- объем раствора мышьяковистокислого натрия, израсходованный на титрование, см
;
- масса навески, г.
(Измененная редакция, Изм. N 1).
3. ФОТОЭЛЕКТРОКОЛОРИМЕТРИЧЕСКИЙ ПЕРИОДАТНЫЙ МЕТОД ОПРЕДЕЛЕНИЯ МАРГАНЦА
3.1. Сущность метода
Метод основан на окислении двухвалентного марганца в сернофосфорной среде до семивалентного периодатом калия с последующим измерением оптической плотности на фотоэлектроколориметре при длине волны 500-550 нм или спектрофотометре при длине волны 525 нм.
3.2. Аппаратура, реактивы и растворы
Фотоэлектроколориметр или спектрофотометр.
Реактивы и растворы по п.2.2.
3.3. Проведение анализа
3.3.1. Навеску ферробора массой 0,5 г помещают в платиновую чашку N 6, смачивают водой, добавляют 20 см азотной кислоты, разбавленной 1:1, нагревают в течение 3-5 мин, затем добавляют 10-15 см
фтористоводородной кислоты, после растворения основной массы навески, прибавляют 10 см
хлорной кислоты и выпаривают до густых паров хлорной кислоты. При наличии в ферроборе карбидных соединений в дымящий раствор приливают по каплям раствор перекиси водорода и выпаривают до удаления хлорной кислоты. Стенки чашки обмывают водой и снова упаривают досуха. В охлажденную чашку приливают 10 см
соляной кислоты, разбавленной 1:1, 20 см
серной кислоты, разбавленной 1:1, и нагревают до паров серной кислоты. Выпавшие соли растворяют при нагревании в 50-60 см
воды. Раствор охлаждают и переводят в мерную колбу вместимостью 250 см
. Аликвотную часть 20-50 см
помещают в коническую колбу вместимостью 250 см
, приливают 5 см
серной кислоты, разбавленной 1:2, 5 см
ортофосфорной кислоты и нагревают до кипения, приливают 10 см
раствора йоднокислого калия с массовой долей 5%, нагревают до кипения и после появления окраски перманганат-иона выдерживают при температуре, близкой к температуре кипения, в течение 30 мин. Охлажденный раствор переводят в мерную колбу вместимостью 100 см
, доливают до метки водой и перемешивают. Оптическую плотность раствора измеряют на фотоэлектроколориметре с зеленым светофильтром при длине волны 500-550 нм или спектрофотометре при длине волны 525 нм. В качестве раствора сравнения служит часть анализируемого раствора, в котором марганцовая кислота разрушена одной-двумя каплями раствора азотистокислого натрия. Массу марганца по градуировочному графику находят по разности оптических плотностей раствора пробы и раствора контрольного
опыта.
3.3.2. Построение градуировочного графика
В шесть мерных колб вместимостью по 250 см соответственно приливают 1, 3, 5, 7, 9 и 11 см
стандартного раствора сернокислого марганца. К раствору каждой колбы приливают 5 см
воды, 5 см
серной кислоты, разбавленной 1:2, 5 см
ортофосфорной кислоты, нагревают до кипения, приливают 5 см
раствора йоднокислого калия и далее поступают, как указано в п.3.3.1.
По полученным значениям оптической плотности строят градуировочный график.
3.3.1, 3.3.2. (Измененная редакция, Изм. N 1).
3.4. Обработка результатов
3.4.1. Массовую долю марганца () в процентах вычисляют по формуле
,
где - масса марганца, найденная по градуировочному графику, г;
- масса навески, соответствующая аликвотной части раствора, г.
3.4.2. Нормы точности и нормативы контроля точности, при определении массовой доли марганца приведены в таблице.
%
Массовая доля марганца | Погрешность результатов анализа | Допускаемое расхождение | |||
результатов двух анализов | двух параллельных определений | трех параллельных определений | результатов анализа стандартного образца | ||
От 0,10 до 0,2 включ. | 0,015 | 0,019 | 0,016 | 0,020 | 0,010 |
Св. 0,2 " 0,5 " | 0,024 | 0,030 | 0,025 | 0,031 | 0,016 |
" 0,5 " 1,0 " | 0,03 | 0,04 | 0,03 | 0,04 | 0,02 |
(Измененная редакция, Изм. N 1).
Электронный текст документа
подготовлен ЗАО "Кодекс" и сверен по:
официальное издание
М.: ИПК Издательство стандартов, 1999
Разместите заказ
сами сделают вам предложение
