ГОСТы сталей. ГОСТ 14021.1-78
ГОСТ 14021.1-78
Группа В19
МЕЖГОСУДАРСТВЕННЫЙ СТАНДАРТ
ФЕРРОБОР
Методы определения бора
Ferroboron. Methods for the determination of boron
ОКСТУ 0809
Дата введения 1980-01-01
ИНФОРМАЦИОННЫЕ ДАННЫЕ
1. РАЗРАБОТАН И ВНЕСЕН Министерством черной металлургии СССР
РАЗРАБОТЧИКИ
И.К.Майборода, В.В.Мирошниченко
2. УТВЕРЖДЕН И ВВЕДЕН В ДЕЙСТВИЕ Постановлением Государственного комитета СССР по стандартам от 24.08.78 N 2330
3. Стандарт полностью соответствует СТ СЭВ 2204-80
4. ВЗАМЕН ГОСТ 14021.1-68
5. ССЫЛОЧНЫЕ НОРМАТИВНО-ТЕХНИЧЕСКИЕ ДОКУМЕНТЫ
Обозначение НТД, на который дана ссылка | Номер пункта |
ГОСТ 3118-77 | 2.2, 3.2 |
ГОСТ 3652-69 | 3.2 |
ГОСТ 4107-78 | 2.2, 3.2 |
ГОСТ 4328-77 | 2.2, 3.2 |
ГОСТ 4332-76 | 2.2 |
ГОСТ 4530-76 | 2.2 |
ГОСТ 5833-75 | 2.2, 3.2 |
ГОСТ 6259-75 | 2.2, 3.2 |
ГОСТ 6709-72 | 2.2 |
ГОСТ 9656-75 | 2.2, 3.2 |
ГОСТ 18300-87 | 2.2 |
ГОСТ 25207-85 | 1.2 |
ГОСТ 28473-90 | 1.1 |
ТУ 6-09-5360-87 | 2.2, 3.2 |
ТУ 6-09-5484-90 | 2.2, 3.2 |
6. Ограничение срока действия снято по протоколу 4-93 Межгосударственного Совета по стандартизации, метрологии и сертификации (ИУС 4-94)
7 ПЕРЕИЗДАНИЕ (март 1999 г.) с Изменениями N 1, 2, утвержденными в августе 1981 г., мае 1989 г. (ИУС 11-81, 8-89)
Настоящий стандарт устанавливает титриметрический и потенциометрический методы определения бора (при массовой доле бора от 3,0 до 35%) в ферроборе, предназначенном для легирования сталей и сплавов.
1. ОБЩИЕ ТРЕБОВАНИЯ
1. ОБЩИЕ ТРЕБОВАНИЯ
1.1. Общие требования к методам анализа - по ГОСТ 28473.
(Измененная редакция, Изм. N 2).
1.2. Лабораторная проба должна быть приготовлена в виде тонкого порошка с размером частиц 0,16 мм по ГОСТ 25207.
(Введен дополнительно, Изм. N 2).
2. ТИТРИМЕТРИЧЕСКИЙ МЕТОД ОПРЕДЕЛЕНИЯ БОРА
2.1. Сущность метода
Метод основан на свойстве малодиссоциированной борной кислоты образовывать с многоатомными спиртами (маннитом, глицерином) комплексные соединения, которые значительно сильнее диссоциируют и титруются щелочью в присутствии индикатора - фенолфталеина, с резким переходом окраски раствора в розовый цвет, не изменяющийся при добавлении многоатомного спирта. Мешающее действие железа, марганца, меди и никеля устраняют сплавлением пробы ферробора со щелочью или пероксидом натрия. Для переведения марганца с высшей валентности (7 и 6) в низшую (4) добавляют этиловый спирт. Алюминий отделяют углекислым кальцием.
2.2. Реактивы и растворы
Натрия пероксид.
Кислота соляная по ГОСТ 3118, разбавленная 1:1.
Спирт этиловый ректификованный технический по ГОСТ 18300.
Бария гидроокись по ГОСТ 4107, раствор с массовой долей 5%.
Кальций углекислый по ГОСТ 4530.
Маннит (манитол) по ТУ 6-09-5484-90.
Фенолфталеин (индикатор) по ТУ 6-09-5360-87, спиртовой раствор с массовой долей 1%.
Метиловый оранжевый (пара-диметиламиноазобензолсульфокислый натрий), раствор с массовой долей 0,1%.
Вода дистиллированная по ГОСТ 6709, прокипяченная в течение 1 ч и охлажденная.
Глицерин по ГОСТ 6259.
Бумага конго.
Калий-натрий углекислый безводный по ГОСТ 4332.
Натрий углекислый безводный.
Сахароза по ГОСТ 5833.
Сахар инвертный, раствор: 1 кг сахарозы растворяют в 650 см дистиллированной воды, приливают 10 см
раствора соляной кислоты, разбавленной 1:10, и нагревают в течение 2-3 ч при температуре от 80 до 90 °С. Раствор охлаждают до температуры 30-40 °С, приливают раствор с массовой долей 10% гидроокиси натрия до получения рН 6,9.
Объем раствора гидроокиси натрия, необходимый для нейтрализации соляной кислоты, устанавливают предварительным титрованием 10 см раствора соляной кислоты, разбавленной 1:10, раствором с массовой долей 10% гидрата окиси натрия в присутствии индикатора фенолфталеина.
Кислота борная по ГОСТ 9656, стандартный раствор: 5,7154 г борной кислоты, х.ч., помещают в стакан вместимостью 400 см и растворяют в 200-300 см
дистиллированной воды. Раствор переводят в мерную колбу вместимостью 1000 см
, разбавляют водой до метки и перемешивают.
1 см полученного раствора содержит 0,001 г бора.
Натрия гидроокись по ГОСТ 4328, раствор с массовой долей 1%, раствор с массовой долей 10%, раствор 0,1 моль/дм; раствор 0,1 моль/дм
готовят следующим образом: 4 г гидроокиси натрия растворяют в 100 см
дистиллированной воды, добавляют 3 см
раствора с массовой долей 5% гидроокиси бария, переводят в мерную колбу вместимостью 1 дм
, доливают до метки водой, перемешивают, дают отстояться осадку в течение 1 сут и отфильтровывают.
Массовую концентрацию раствора гидроокиси натрия устанавливают по борной кислоте. Установку массовой концентрации проводят следующим образом: в коническую колбу вместимостью 250 см помещают 10-20 см
стандартного раствора борной кислоты, приливают 100 см
дистиллированной воды, прибавляют 10 капель фенолфталеина, 1 г маннита или 20 см
глицерина, или 50 см
раствора инвертного сахара и титруют раствором 0,1 моль/дм
гидроокиси натрия до появления устойчивой красно-малиновой окраски. Затем добавляют еще 0,5 г маннита или 10 см
глицерина. Если окраска раствора ослабевает, раствор дотитровывают.
Титрование заканчивают, когда после дополнительного прибавления маннита или глицерина красно-малиновая окраска раствора не изменяется. Проверку массовой концентрации раствора гидроокиси натрия проводят в день титрования пробы.
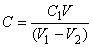
Массовую концентрацию раствора гидроокиси натрия (), выраженную в г/см
бора, вычисляют по формуле
,
где - массовая концентрация стандартного раствора борной кислоты, выраженная в г/см
бора;
- объем стандартного раствора борной кислоты, взятый для титрования, см
;
- объем раствора гидроокиси натрия, израсходованный на титрование раствора, см
;
- объем раствора гидроокиси натрия, израсходованный на титрование раствора контрольного опыта, см
.
(Измененная редакция, Изм. N 1, 2
).
2.3. Проведение анализа
Навеску ферробора массой 0,5 г помещают в железный или никелевый тигель, смешивают с 5-6 г пероксида натрия, сверху засыпают 1-2 г пероксида натрия, помещают в более холодную часть муфельной печи, затем продвигают тигель в горячую часть муфельной печи и сплавляют навеску при 800-850 °С, периодически перемешивая круговыми движениями тигля. Когда плав станет жидким, тигель выдерживают в печи 3-4 мин.
При анализе ферробора марок ФБ-2 и ФБ-3 во избежание вспышек при сплавлении навеску предварительно спекают с 3 г углекислого калия-натрия и затем сплавляют с 5-6 г пероксида натрия. После этого тигель охлаждают, помещают в стакан вместимостью 400-500 см, накрывают стакан часовым стеклом и выщелачивают плав в 100-150 см
воды. Тигель обмывают горячей водой, прибавляют пять капель этилового спирта и кипятят содержимое стакана 5-10 мин.
Раствор с осадком переносят в мерную колбу вместимостью 250 см. Стенки обмывают горячей водой. Содержимое колбы охлаждают, разбавляют водой до метки, перемешивают, дают немного отстояться осадку гидроокиси металлов, после чего раствор фильтруют в сухую колбу через двойной сухой складчатый фильтр "белая лента".
Аликвотную часть раствора 100 см помещают в стакан вместимостью 400-500 см
и нейтрализуют соляной кислотой по бумаге конго до слабокислой реакции.
К слабокислому раствору осторожно небольшими порциями прибавляют углекислый кальций до перехода окраски бумаги конго в розовый цвет и образования на дне стакана небольшого белого осадка - избытка углекислого кальция. Раствор с осадком нагревают до 70-80 °С в течение 5 мин (для коагуляции алюминия), переводят в мерную колбу вместимостью 200 см, охлаждают, доливают до метки водой, перемешивают и фильтруют в сухую колбу через сухой складчатый фильтр "белая лента".
Аликвотную часть раствора 100 см помещают в коническую колбу вместимостью 500 см
, добавляют одну каплю метилового оранжевого и нейтрализуют разбавленной 1:1 соляной кислотой до кислой реакции.
В колбу опускают магнитный элемент, ставят на мешалку и интенсивно перемешивают в течение 5-7 мин. К слабокислому раствору добавляют одну каплю метилового оранжевого и строго нейтрализуют сначала раствором с массовой долей 1% гидроокиси натрия, а затем заканчивают нейтрализацию, добавляя из бюретки раствор 0,1 моль/дм гидроокиси натрия.
К раствору прибавляют десять капель фенолфталеина, 1 г маннита или 20 см глицерина, или 50 см
инвертного сахара, оставляют на 1-2 мин, после чего титруют раствором 0,1 моль/дм
гидроокиси натрия до устойчивой красно-малиновой окраски. Затем добавляют еще 0,5 г маннита или 10 см
глицерина. Если окраска раствора ослабевает, раствор дотитровывают.
Титрование заканчивают, когда после дополнительного прибавления маннита или глицерина красно-малиновая окраска раствора не ослабевает.
Как при установлении массовой концентрации раствора гидроокиси натрия, так и при определении бора в образцах ведут контрольный опыт для введения поправки на содержание бора в реактивах. Массовую концентрацию раствора гидроокиси натрия проверяют в день титрования пробы.
2.4. Обработка результатов
2.4.1. Массовую долю бора в ферроборе () в процентах вычисляют по формуле
,
где - массовая концентрация раствора гидрата окиси натрия, выраженная в г/см
бора;
- объем раствора гидрата окиси натрия, израсходованный на титрование раствора, см
;
- объем раствора гидрата окиси натрия, израсходованный на титрование контрольного опыта, см
;
- масса навески пробы, соответствующая аликвотной части раствора, г.
(Измененная редакция, Изм. N 1, 2).
3. ПОТЕНЦИОМЕТРИЧЕСКИЙ МЕТОД ОПРЕДЕЛЕНИЯ БОРА
3.1. Сущность метода
Метод основан на отделении бора от железа, марганца и меди сплавлением с пероксидом натрия или щелочью с последующим определением бора в растворе потенциометрическим методом. Перед титрованием рН раствора устанавливают 6,9, добавляют инвертный сахар или маннит и титруют образовавшуюся борноорганическую комплексную кислоту раствором гидроокиси натрия до первоначального значения рН 6,9.
3.2. Аппаратура, реактивы и растворы
Потенциометр ламповый со стеклянным и каломельным электродами.
Мешалка со скоростью 200-300 об/мин.
Элемент магнитный.
Электроплитка.
рН-метр-милливольтметр.
Натрия пероксид
Кислота соляная по ГОСТ 3118, разбавленная 1:1, 1:10.
Метиловый оранжевый (пара-диметиламиноазобензолсульфокислый натрий), водный раствор с массовой долей 0,1%.
Кислота лимонная по ГОСТ 3652, раствор с массовой долей 2%.
Фенолфталеин (индикатор) по ТУ 6-09-5360-87.
Спирт этиловый ректификованный технический по ГОСТ 18300.
Сахароза по ГОСТ 5833.
Бария гидроокись по ГОСТ 4107, раствор с массовой долей 5%.
Маннит (маннитол) по ТУ 6-09-5484-90.
Глицерин по ГОСТ 6259.
Сахар инвертный раствор; готовят следующим образом: 1 кг сахарозы растворяют в 650 см дистиллированной воды, приливают 10 см
соляной кислоты, разбавленной 1:10, и нагревают в течение 2-3 ч при 80-90 °С. После охлаждения раствора приливают раствор с массовой долей 10% гидроокиси натрия. Объем раствора щелочи, необходимый для нейтрализации соляной кислоты, устанавливают предварительным титрованием 10 см
разбавленной 1:10 соляной кислоты раствором с массовой долей 10% гидроокиси натрия в присутствии индикатора - фенолфталеина.
Кислота борная по ГОСТ 9656, стандартный раствор; готовят следующим образом: 11,432 г х.ч. борной кислоты помещают в стакан вместимостью 400-500 см и растворяют в 200-300 см
дистиллированной воды. Раствор переводят в мерную колбу вместимостью 500 см
, разбавляют этой же водой до метки и перемешивают.
1 см приготовленного раствора содержит 0,004 г бора.
Натрия гидроокись по ГОСТ 4328, раствор с массовой долей 2%, раствор 0,1 моль/дм и раствор с массовой долей 10%; раствор 0,1 моль/дм
готовят следующим образом: 4 г х.ч. гидроокиси натрия растворяют в 1000 см
дистиллированной воды, добавляют 3 см
раствора с массовой долей 5% гидроокиси бария, перемешивают и дают отстояться осадку в течение 1 сут.
Массовую концентрацию раствора гидроокиси натрия устанавливают по борной кислоте следующим образом: в стакан вместимостью 400 см помещают 10 см
стандартного раствора борной кислоты и приливают 250 см
дистиллированной воды. В стакан с анализируемым раствором опускают магнитный элемент и электроды, присоединенные к потенциометру, приводят во вращение мешалку, приливают из бюретки раствор 0,1 моль/дм
гидроокиси натрия до установления рН раствора 6,9.
К полученному раствору приливают 50 см раствора инвертного сахара или по 1 г маннита, или по 20 см
глицерина (при этом стрелка гальванометра отклоняется от нулевого значения шкалы рН) и титруют борную кислоту раствором 0,1 моль/дм
гидроокиси натрия до возвращения стрелки гальванометра до значения рН 6,9.
Массовую концентрацию раствора гидроокиси натрия (), выраженную в г/см
бора, вычисляют по формуле п.2.2.
При установке массовой концентрации раствора гидроокиси натрия ведут контрольный опыт для введения поправки на отклонение рН инвертного сахара от значения рН 6,9.
(Измененная редакция,
Изм. N 1, 2).
3.3. Проведение анализа
Навеску ферробора массой 0,5 г помещают в железный или никелевый тигель и смешивают с 5-6 г пероксида натрия. Тигель помещают в более холодную часть муфельней печи, затем продвигают тигель в горячую часть и сплавляют при 800-850 °С, периодически перемешивая круговыми движениями тигля. Когда плав станет жидким, тигель выдерживают в печи 3-4 мин.
При анализе ферробора марок ФБ-2 и ФБ-3 во избежание вспышек навеску помещают в никелевый или железный тигель, в котором находится 10-12 г гидроокиси натрия (предварительно расплавленного и охлажденного) и сверху покрывают 0,5 г пероксида натрия. Содержимое тигля нагревают на электроплите до расплавления щелочи, затем тигель помещают сначала в более холодную часть муфельной печи и нагревают приблизительно до 400 °С, а затем сплавляют в горячей части муфельной печи при 650-700 °С в течение 15 мин, периодически перемешивая круговыми движениями тигля.
После этого тигель охлаждают, помещают в стакан вместимостью 400-500 см, накрывают стакан часовым стеклом и выщелачивают плав в 100-150 см
дистиллированной воды. После выщелачивания плава тигель обмывают горячей дистиллированной водой, прибавляют в стакан пять капель этилового спирта и кипятят содержимое стакана 5 мин. Раствор с осадком переносят в мерную колбу вместимостью 500 см
. Стакан обмывают горячей дистиллированной водой. Содержимое колбы охлаждают, разбавляют дистиллированной водой до метки, перемешивают, дают немного отстояться осадку гидратов и фильтруют часть раствора через двойной сухой складчатый фильтр "белая лента".
Аликвотную часть 100 см помещают в стакан вместимостью 400 см
и, если ферробор содержит до 10% алюминия, приливают в стакан 12-15 см
раствора с массовой долей 2% лимонной кислоты.
При массовой доле алюминия от 10 до 20% приливают 20-30 см раствора с массовой долей 2% лимонной кислоты. Щелочной раствор в стакане осторожно подкисляют соляной кислотой, разбавленной 1:1, до перехода окраски индикатора метилового оранжевого в розовый цвет.
В стакан с анализируемым раствором опускают магнитный элемент и электроды, присоединенные к потенциометру. Мешалку приводят во вращение и перемешивают раствор в течение 5-7 мин. К раствору приливают сначала раствор с массовой долей 2% гидроокиси натрия до рН, почти равного 6,9, затем точно устанавливают значение рН 6,9, приливая из бюретки раствор 0,1 моль/дм гидроокиси натрия.
К раствору, имеющему рН 6,9, прибавляют 1 г маннита или по 20 см глицерина, или приливают 50 см
раствора инвертного сахара (при этом стрелка гальванометра отклоняется от первоначального значения шкалы рН) и титруют борную кислоту раствором 0,1 моль/дм
гидроокиси натрия до исходного значения рН 6,9.
Параллельно ведут контрольный опыт для введения поправки на содержание бора в реактивах и отклонение рН инвертного сахара от значения
6,9.
3.4. Обработка результатов
3.4.1. Массовую долю бора в ферроборе () в процентах вычисляют по формуле п.2.4.1.
(Измененная редакция, Изм. N 1).
3.4.2. Нормы точности и нормативы контроля точности при определении массовой доли бора приведены в таблице.
%
Допускаемое расхождение | |||||
Массовая доля бора | Погрешность результатов анализа | результатов двух анализов | двух параллельных определений | трех параллельных определений | результатов анализа стандартного образца и аттестованного значения |
От 3,0 до 5 включ. | 0,09 | 0,11 | 0,09 | 0,11 | 0,06 |
Св. 5 " 10 " | 0,12 | 0,14 | 0,12 | 0,14 | 0,08 |
" 10 " 20 " | 0,17 | 0,22 | 0,18 | 0,22 | 0,11 |
" 20 " 35 " | 0,22 | 0,28 | 0,23 | 0,28 | 0,14 |
(Измененная редакция, Изм. N 2).
Электронный текст документа
подготовлен АО "Кодекс" и сверен по:
официальное издание
М.: ИПК Издательство стандартов, 1999
Разместите заказ
сами сделают вам предложение
