ГОСТы сталей. ГОСТ 13230.9-93
ГОСТ 13230.9-93
Группа В19
МЕЖГОСУДАРСТВЕННЫЙ СТАНДАРТ
ФЕРРОСИЛИЦИЙ
Методы определения титана
Ferrosilicon. Methods for determination of titanium
МКС 77.100
ОКСТУ 0809
Дата введения 2002-07-01
Предисловие
1 РАЗРАБОТАН Техническим комитетом по стандартизации ТК 008 "Ферросплавы"
ВНЕСЕН Госстандартом России
2 ПРИНЯТ Межгосударственным Советом по стандартизации, метрологии и сертификации 15 апреля 1994 г. (отчет Технического секретариата N 2)
За принятие проголосовали:
Наименование государства | Наименование национального органа по стандартизации |
Республика Армения | Армгосстандарт |
Республика Беларусь | Госстандарт Республики Беларусь |
Республика Казахстан | Госстандарт Республики Казахстан |
Республика Молдова | Молдовастандарт |
Российская Федерация | Госстандарт России |
Туркменистан | Главгосслужба "Туркменстандартлары" |
Украина | Госстандарт Украины |
3 Постановлением Государственного комитета Российской Федерации по стандартизации и метрологии от 26 июня 2001 г. N 247-ст межгосударственный стандарт ГОСТ 13230.9-93 введен в действие непосредственно в качестве государственного стандарта Российской Федерации с 1 июля 2002 г.
4 ВЗАМЕН ГОСТ 13230.9-81
1 Область применения
1 Область применения
Настоящий стандарт устанавливает методы определения титана в ферросилиции: фотометрический (при массовой доле титана от 0,01% до 0,2%) и атомно-абсорбционный (при массовой доле титана от 0,05% до 0,2%).
2 Нормативные ссылки
В настоящем стандарте использованы ссылки на следующие стандарты:
ГОСТ 3118-77 Кислота соляная. Технические условия
ГОСТ 3760-79 Аммиак водный. Технические условия
ГОСТ 4204-77 Кислота серная. Технические условия
ГОСТ 4234-77 Калий хлористый. Технические условия
ГОСТ 4461-77 Кислота азотная. Технические условия
ГОСТ 7172-76 Калий пиросернокислый
ГОСТ 10484-78 Кислота фтористоводородная. Технические условия
ГОСТ 24991-81 Феррохром, ферросиликохром, ферросилиций, ферросиликомарганец, ферромарганец. Методы отбора и подготовки проб для химического и физико-химического анализов
ГОСТ 28473-90 Чугун, сталь, ферросплавы, хром, марганец металлические. Общие требования к методам анализа
3 Общие требования
3.1 Общие требования к методам анализа - по ГОСТ 28473.
3.2 Лабораторная проба должна быть приготовлена в виде порошка максимальным размером частиц 0,16 мм по ГОСТ 24991.
4 Фотометрический метод
4.1 Сущность метода
Метод основан на образовании комплексного соединения четырехвалентного титана с диантипирилметаном, окрашенного в желтый цвет, и измерении его оптической плотности. Мешающее влияние железа устраняют восстановлением его аскорбиновой кислотой.
4.2 Аппаратура, реактивы и растворы
Спектрофотометр или фотоэлектроколориметр.
Кислота азотная по ГОСТ 4461.
Кислота фтористоводородная по ГОСТ 10484.
Кислота серная по ГОСТ 4204 и растворы 1:1, 1:4 и 1:9.
Кислота соляная по ГОСТ 3118 и растворы 1:1 и 1 моль/дм.
Кислота аскорбиновая и раствор 20 г/дм, свежеприготовленный.
Диантипирилметан, раствор 40 г/дм, свежеприготовленный: 40 г реактива растворяют в 1 дм
раствора соляной кислоты 1 моль/дм
, добавляют 2 г аскорбиновой кислоты и фильтруют через фильтр средней плотности.
Аммиак водный по ГОСТ 3760 и раствор 1:20.
Калий пиросернокислый по ГОСТ 7172.
Железо карбонильное.
Титан металлический или диоксид титана.
Стандартный раствор титана: 0,1000 г титана растворяют в 10 см раствора серной кислоты (1:1) при нагревании. К раствору приливают 1 см
азотной кислоты и дважды выпаривают до появления паров серной кислоты. Охлаждают, осторожно приливают 50 см
воды и вновь нагревают до полного просветления раствора. После охлаждения переносят в мерную колбу вместимостью 1 дм
, доливают до метки раствором серной кислоты (1:9) и перемешивают.
Массовая концентрация титана в растворе равна 0,0001 г/см.
Или: 0,1668 г диоксида титана, предварительно прокаленного при температуре (1000±20) °С, помещают в платиновую или кварцевую чашку, добавляют 3-5 г пиросернокислого калия и сплавляют при температуре 800-850 °С. Плав после охлаждения растворяют в 400 см раствора серной кислоты (1:4) без нагревания и оставляют на 12 ч. Полученный раствор фильтруют через фильтр средней плотности в мерную колбу вместимостью 1 дм
. Фильтр промывают 3-4 раза раствором серной кислоты (1:4). Раствор в колбе доливают водой до метки и перемешивают.
Массовая концентрация титана в растворе приблизительно равна 0,0001 г/см.
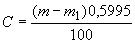
Массовую концентрацию стандартного раствора титана, приготовленного из диоксида титана, устанавливают следующим образом: 100,0 см стандартного раствора помещают в стакан вместимостью 250-300 см
, добавляют 100 см
воды, приливают при перемешивании аммиак до выпадения гидроксида титана и 5 см
в избыток. Раствор с осадком нагревают до кипения, осадок отфильтровывают на фильтр средней плотности и промывают 3-4 раза теплым раствором аммиака.
Фильтр с осадком помещают в предварительно прокаленный и взвешенный платиновый тигель, высушивают, озоляют и прокаливают при температуре (1050±50) °С в течение 1 ч.
Тигель с осадком охлаждают в эксикаторе и взвешивают.
Массовую концентрацию стандартного раствора титана , г/см
титана, вычисляют по формуле
, (1)
где - масса осадка диоксида титана, г;
- масса осадка контрольного опыта, г;
- коэффициент пересчета диоксида титана на титан; - объем стандартного раствора титана, взятый для установления массовой концентрации, см
.
4.3 Проведение анализа
4.3.1 Навеску пробы массой 0,5 г помещают в платиновую или стеклоуглеродную чашку, приливают 10 см фтористоводородной кислоты, осторожно по каплям добавляют азотную кислоту до прекращения бурной реакции и 5 см
в избыток. Затем приливают 20 см
раствора серной кислоты (1:1) и выпаривают до выделения густых паров серной кислоты. Охлаждают, обмывают стенки чашки водой и снова выпаривают раствор до выделения паров серной кислоты, которым дают выделяться 5-7 мин.
Чашку охлаждают, затем приливают 30 см воды и нагревают до полного растворения образовавшихся солей. После охлаждения раствор переносят в мерную колбу вместимостью 50 см
(при массовой доле титана до 0,1%) или в мерную колбу вместимостью 100 см
(при массовой доле титана свыше 0,1%), доливают до метки водой и перемешивают. При необходимости раствор фильтруют.
4.3.2 В мерную колбу вместимостью 100 см помещают аликвотную часть раствора, равную 20,0 см
, приливают 10 см
раствора аскорбиновой кислоты и выдерживают раствор в течение 5 мин для восстановления железа. Затем приливают 10 см
раствора соляной кислоты (1:1), 10,0 см
раствора диантипирилметана, доливают до метки водой и перемешивают. Через 40 мин измеряют оптическую плотность раствора на спектрофотометре при длине волны 385 нм или фотоэлектроколориметре в диапазоне длин волн 350-450 нм.
В качестве раствора сравнения применяют воду.
После вычитания значения оптической плотности раствора контрольного опыта из значения оптической плотности раствора пробы находят массовую долю титана методом градуировочного графика или методом сравнения со стандартным образцом с химическим составом, соответствующим требованиям настоящего стандарта, и проведенным через все стадии анализа.
4.3.3 Построение градуировочного графика
В ряд конических колб вместимостью 250 см помещают навески карбонильного железа, соответствующие содержанию железа в пробе, и стандартный раствор титана от 0,5 до 10,0 см
, что соответствует от 0,00005 до 0,0010 г титана. В одну колбу стандартный раствор титана не вводят. Во все колбы приливают по 20 см
раствора серной кислоты (1:1), 5 см
азотной кислоты и выпаривают до выделения паров серной кислоты. После охлаждения соли растворяют в 30 см
воды при нагревании, охлаждают и растворы переносят в мерные колбы вместимостью 100 см
. Далее анализ проводят, как указано в 4.3.2.
В качестве раствора сравнения применяют раствор колбы, не содержащий стандартного раствора титана.
По полученным значениям оптических плотностей растворов и соответствующим им массам титана строят градуировочный график.
4.4 Обработка результатов
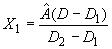
4.4.1 Массовую долю титана , %, определяемую методом градуировочного графика, вычисляют по формуле
, (2)
где - масса титана, найденная по градуировочному графику, г;
- масса навески пробы или масса навески, соответствующая аликвотной части раствора пробы, г.
4.4.2 Массовую долю титана , %, определяемую методом сравнения, вычисляют по формуле
, (3)
где - аттестованное значение массовой доли титана в стандартном образце, %;
- значение оптической плотности раствора пробы;
- значение оптической плотности раствора контрольного опыта;
- значение оптической плотности раствора стандартного образца.
4.4.3 Нормы точности и нормативы контроля точности определения массовой доли титана приведены в таблице 1.
Таблица 1
В процентах
Массовая доля титана | Погрешность результатов анализа | Допускаемое расхождение | |||
двух средних результатов анализа, выполненных в различных условиях, | двух параллельных определений | трех параллельных определений | результатов анализа стандартного образца и аттестованного значения | ||
От 0,1* до 0,02 включ. | 0,005 | 0,006 | 0,005 | 0,006 | 0,003 |
Св. 0,02 " 0,05 " | 0,008 | 0,010 | 0,008 | 0,010 | 0,005 |
" 0,05 " 0,1 " | 0,014 | 0,017 | 0,014 | 0,018 | 0,009 |
" 0,1 " 0,2 " | 0,02 | 0,03 | 0,02 | 0,03 | 0,01 |
______________
* Соответствует оригиналу. - Примечание изготовителя базы данных.
5 Атомно-абсорбционный метод
5.1 Сущность метода
Метод основан на измерении атомной абсорбции титана в пламени закись азота-ацетилен при длине волны 365,3 нм с предварительным растворением навески пробы в смеси азотной, фтористоводородной и серной кислот.
5.2 Аппаратура, реактивы и растворы
Атомно-абсорбционный спектрометр со всеми принадлежностями.
Кислота соляная по ГОСТ 3118.
Кислота азотная по ГОСТ 4461.
Кислота серная по ГОСТ 4204, раствор 1:1.
Кислота фтористоводородная по ГОСТ 10484.
Железо металлическое.
Раствор железа 20 г/дм: 20 г железа растворяют при нагревании в 40 см
соляной кислоты, приливают 5 см
азотной кислоты, раствор кипятят до удаления оксидов азота. Охлажденный раствор переносят в мерную колбу вместимостью 1 дм
, доливают водой до метки и перемешивают.
Калий хлористый по ГОСТ 4234, раствор: 95 г хлористого калия растворяют в 400 см воды при нагревании. Охлажденный раствор переносят в мерную колбу вместимостью 1 дм
, доливают водой до метки и перемешивают. Раствор хранят в посуде из полиэтилена.
Титан металлический или диоксид титана.
Стандартный раствор титана по 4.2.
5.3 Проведение анализа
5.3.1 Навеску пробы массой 0,5 г помещают в платиновую или стеклоуглеродную чашку, приливают 10 см фтористоводородной кислоты и осторожно по каплям азотную кислоту до прекращения бурной реакции и 5 см
в избыток. Затем приливают 5 см
раствора серной кислоты и выпаривают раствор до выделения паров серной кислоты. После охлаждения приливают 20 см
воды и растворяют соли при нагревании. Охлажденный раствор переносят в мерную колбу вместимостью 50 см
, приливают 1 см
раствора хлористого калия, доливают водой до метки и перемешивают.
Атомную абсорбцию титана измеряют последовательно в растворе контрольного опыта, растворе пробы, растворах для построения градуировочного графика, растворе стандартного образца при длине волны 365,3 нм в пламени закись азота-ацетилен.
После вычитания значения атомной абсорбции раствора контрольного опыта из значения атомной абсорбции раствора пробы находят массовую долю титана в пробе методом сравнения со стандартным образцом с химическим составом, соответствующим требованиям настоящего стандарта, или методом градуировочного графика, или методом добавок.
5.3.2 При применении метода сравнения со стандартным образцом навеску стандартного образца проводят через весь ход анализа по 5.3.1.
5.3.3 При применении метода градуировочного графика в ряд стаканов помещают раствор железа в количестве, соответствующем его содержанию в пробе, от 2,0 до 10,0 см стандартного раствора титана, что соответствует от 0,0002 до 0,001 г титана. В один стакан стандартный раствор не добавляют. Во все стаканы помещают по 5 см
раствора серной кислоты и далее поступают, как указано в 5.3.1.
Градуировочный график строят по результатам, полученным после вычитания значения абсорбции раствора, не содержащего стандартный раствор титана, из значений абсорбции растворов, содержащих стандартный раствор, и соответствующим им массам титана.
5.3.4 При применении метода добавок к навеске пробы добавляют такое количество стандартного раствора титана, чтобы значение атомной абсорбции раствора пробы с добавлением стандартного раствора составило не более двухкратного значения атомной абсорбции раствора пробы и находилось в линейном диапазоне градуировочного графика. Далее анализ проводят по 5.3.1.
5.4 Обработка результатов
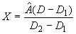
5.4.1 Массовую долю титана , %, определяемую методом сравнения, вычисляют по формуле
, (4)
где - аттестованное значение массовой доли титана в стандартном образце, %;
- значение атомной абсорбции раствора пробы;
- значение атомной абсорбции раствора контрольного опыта;
- значение атомной абсорбции раствора стандартного образца.
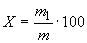
5.4.2 Массовую долю титана , %, определяемую методом градуировочного графика, вычисляют по формуле
, (5)
где - масса титана в растворе пробы, найденная по градуировочному графику, г;
- масса навески пробы, г.
5.4.3 Массовую долю титана , %, определяемую методом добавок, вычисляют по формуле
, (6)
где - масса титана, добавленная к навеске пробы, г;
- значение атомной абсорбции раствора пробы без добавления стандартного раствора титана;
- значение атомной абсорбции раствора контрольного опыта;
- значение атомной абсорбции раствора пробы с добавлением стандартного раствора титана;
- масса навески пробы, г.
5.4.4 Нормы точности и нормативы контроля точности определения массовой доли титана приведены в таблице 1.
Электронный текст документа
подготовлен ЗАО "Кодекс" и сверен по:
официальное издание
М.: ИПК Издательство стандартов, 2001
Разместите заказ
сами сделают вам предложение
