ГОСТы сталей. ГОСТ 13230.8-93
ГОСТ 13230.8-93
Группа В19
МЕЖГОСУДАРСТВЕННЫЙ СТАНДАРТ
ФЕРРОСИЛИЦИЙ
Методы определения кальция
Ferrosilicon. Methods for determination of calcium
МКС 77.100
ОКСТУ 0809
Дата введения 2002-07-01
Предисловие
1 РАЗРАБОТАН Техническим комитетом по стандартизации ТК 008 "Ферросплавы"
ВНЕСЕН Госстандартом России
2 ПРИНЯТ Межгосударственным Советом по стандартизации, метрологии и сертификации 15 апреля 1994 г. (отчет Технического секретариата N 2)
За принятие проголосовали:
Наименование государства | Наименование национального органа |
Республика Армения | Армгосстандарт |
Республика Беларусь | Госстандарт Республики Беларусь |
Республика Казахстан | Госстандарт Республики Казахстан |
Республика Молдова | Молдовастандарт |
Российская Федерация | Госстандарт России |
Туркменистан | Главгосслужба "Туркменстандартлары" |
Украина | Госстандарт Украины |
3 Постановлением Государственного комитета Российской Федерации по стандартизации и метрологии от 26 июня 2001 г. N 247-ст межгосударственный стандарт ГОСТ 13230.8-93 введен в действие непосредственно в качестве государственного стандарта Российской Федерации с 1 июля 2002 г.
4 ВЗАМЕН ГОСТ 13230.8-81
1 Область применения
1 Область применения
Настоящий стандарт устанавливает методы определения кальция в ферросилиции: атомно-абсорбционный (при массовой доле кальция от 0,02% до 1,2%) и комплексонометрический (при массовой доле кальция от 0,5% до 1,2%).
2 Нормативные ссылки
В настоящем стандарте использованы ссылки на следующие стандарты:
ГОСТ 1381-73 Уротропин технический. Технические условия
ГОСТ 3118-77 Кислота соляная. Технические условия
ГОСТ 3760-79 Аммиак водный. Технические условия
ГОСТ 4140-74 Стронций хлористый 6-водный. Технические условия
ГОСТ 4142-77 Кальций азотнокислый 4-водный. Технические условия
ГОСТ 4233-77 Натрий хлористый. Технические условия
ГОСТ 4234-77 Калий хлористый. Технические условия
ГОСТ 4328-77 Натрия гидроокись. Технические условия
ГОСТ 4461-77 Кислота азотная. Технические условия
ГОСТ 4530-76 Кальций углекислый. Технические условия
ГОСТ 5712-78 Аммоний щавелевокислый 1-водный. Технические условия
ГОСТ 5962-67* Спирт этиловый ректификованный. Технические условия
_______________
* На территории Российской Федерации действует ГОСТ Р 51652-2000.
ГОСТ 10484-78 Кислота фтористоводородная. Технические условия
ГОСТ 10652-73 Соль динатриевая этилендиамин-N, N, N', N'-тетрауксусной кислоты 2-водная (трилон Б)
ГОСТ 11125-84 Кислота азотная особой чистоты. Технические условия
ГОСТ 14261-77 Кислота соляная особой чистоты. Технические условия
ГОСТ 18300-87 Спирт этиловый ректификованный технический. Технические условия
ГОСТ 24147-80 Аммиак водный особой чистоты. Технические условия
ГОСТ 24991-81 Феррохром, ферросиликохром, ферросилиций, ферросиликомарганец, ферромарганец. Методы отбора и подготовки проб для химического и физико-химического анализов
ГОСТ 28473-90 Чугун, сталь, ферросплавы, хром, марганец металлические. Общие требования к методам анализа
3 Общие требования
3.1 Общие требования к методам анализа - по ГОСТ 28473.
3.2 Лабораторная проба должна быть приготовлена в виде порошка максимальным размером частиц 0,16 мм по ГОСТ 24991.
4 Атомно-абсорбционный метод
4.1 Сущность метода
Метод основан на измерении атомной абсорбции кальция в пламени закись азота-ацетилен при длине волны 422,7 нм. Атомизацию проводят из солянокислых растворов.
4.2 Аппаратура, реактивы и растворы
Атомно-абсорбционный спектрометр со всеми принадлежностями.
Кислота азотная по ГОСТ 4461 или по ГОСТ 11125.
Кислота фтористоводородная по ГОСТ 10484.
Кислота хлорная плотностью 1,5 г/см.
Кислота соляная по ГОСТ 3118 или по ГОСТ 14261 и раствор 1:1.
Железо металлическое.
Раствор железа 20 г/дм: 20 г железа растворяют при нагревании в 40 см
соляной кислоты, приливают 5 см
азотной кислоты, раствор кипятят до удаления оксидов азота. Охлажденный раствор переносят в мерную колбу вместимостью 1 дм
, доливают водой до метки и перемешивают.
Калий хлористый по ГОСТ 4234, раствор: 95 г хлористого калия растворяют в 400 см воды при перемешивании, раствор переносят в мерную колбу вместимостью 1 дм
, доливают водой до метки и перемешивают. Хранят в сосуде из полиэтилена.
Аммоний щавелевокислый по ГОСТ 5712, растворы 40 и 1 г/дм.
Метиловый оранжевый, индикатор, раствор 1 г/дм.
Аммиак водный по ГОСТ 3760 или по ГОСТ 24147.
Стронций хлористый по ГОСТ 4140, раствор: 152 г хлористого стронция растворяют в 400 см воды. Раствор переносят в мерную колбу вместимостью 1 дм
, доливают водой до метки и перемешивают. Хранят в сосуде из полиэтилена.
Кальций азотнокислый по ГОСТ 4142 или оксид кальция.
Стандартные растворы кальция.
Раствор А: 5,9 г азотнокислого кальция растворяют в 30 см раствора соляной кислоты и 50 см
воды при нагревании, затем раствор фильтруют через фильтр средней плотности в мерную колбу вместимостью 1 дм
. Фильтр промывают водой и отбрасывают, раствор доливают водой до метки и перемешивают.
Или: 1,4 г оксида кальция, предварительно прокаленного при температуре 850 °С, растворяют в 50 см раствора соляной кислоты при нагревании. Охлажденный раствор переносят в мерную колбу вместимостью 1 дм
, доливают водой до метки и перемешивают.
Массовая концентрация кальция в растворе А приблизительно равна 0,001 г/см.
Для установления массовой концентрации кальция аликвотную часть раствора А, равную 50,0 см, помещают в коническую колбу вместимостью 500 см
, приливают 200 см
горячей воды, 50 см
горячего раствора щавелевокислого аммония 40 г/дм
, нагревают до кипения и нейтрализуют раствор аммиаком, прибавляя его по каплям при перемешивании, по индикатору метиловому оранжевому до изменения окраски индикатора, затем добавляют 1 см
аммиака в избыток. Раствор с осадком кипятят 10 мин и оставляют на 12 ч. Затем осадок щавелевокислого кальция отфильтровывают на двойной плотный фильтр, промывают 6-8 раз холодным раствором щавелевокислого аммония 1 г/дм
. Фильтр с осадком помещают в тигель, предварительно прокаленный и взвешенный, осторожно озоляют и прокаливают при температуре 1000-1100 °С до постоянной массы.
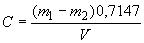
Массовую концентрацию раствора кальция , г/см
, вычисляют по формуле
, (1)
где - масса осадка оксида кальция, г;
- масса осадка контрольного опыта, г;
0,7147 - коэффициент пересчета оксида кальция на кальций; - объем аликвотной части стандартного раствора, взятый для осаждения, см
.
Раствор Б: 10,0 см раствора А помещают в мерную колбу вместимостью 100 см
, доливают водой до метки и перемешивают.
Массовая концентрация кальция в растворе Б приблизительно равна 0,0001 г/см
.
4.3 Проведение анализа
4.3.1 Навеску пробы, отобранную согласно таблице 1, помещают во фторопластовый стакан или чашку из платины или стеклоуглерода, приливают 10 см фтористоводородной кислоты, осторожно по каплям азотную кислоту до прекращения бурной реакции и 5 см
в избыток. Затем приливают 10 см
хлорной кислоты и выпаривают досуха. Соли растворяют при нагревании в 5 см
соляной кислоты и 20 см
воды. Охлажденный раствор переносят в мерную колбу (согласно таблице 1), доливают водой до метки и перемешивают. Затем фильтруют через сухой фильтр в сухую колбу, отбрасывая первые порции фильтрата.
Таблица 1
Массовая доля кальция, | Масса навески пробы, г | Разбавление основного раствора пробы, см | Масса кальция в основном растворе, мг | Объем стандартного раствора Б, см |
От 0,02 до 0,05 включ. | 0,5 | 50 | 0,1-0,25 | 1,0-3,0 |
Св. 0,05 " 0,1 " | 0,5 | 100 | 0,25-0,5 | 2,5-5,0 |
" 0,1 " 0,5 " | 0,2 | 100 | 0,2-1 | 2,0-10,0 |
" 0,5 " 1,2 " | 0,1 | 100 | 0,5-1,2 | 5,0-12,0 |
Отбирают аликвотную часть раствора, равную 20,0 см, помещают в мерную колбу вместимостью 50 см
, приливают по 1 см
соляной кислоты, по 1 см
раствора хлористого калия и стронция, доливают до метки водой и перемешивают.
Атомную абсорбцию кальция измеряют параллельно в растворе контрольного опыта, растворе пробы, растворах для построения градуировочного графика, растворе стандартного образца при длине волны 422,7 нм в пламени закись азота-ацетилен или воздух-ацетилен.
4.3.2 После вычитания значения атомной абсорбции раствора контрольного опыта из значения абсорбции раствора пробы находят массовую долю кальция в пробе методом сравнения со стандартным образцом с химическим составом, соответствующим требованиям настоящего стандарта, или методом градуировочного графика, или методом добавок.
При применении метода сравнения навеску стандартного образца проводят через все стадии анализа, как указано в 4.3.1.
При применении метода градуировочного графика в ряд стаканов помещают раствор железа в количестве, соответствующем его содержанию в пробе, стандартный раствор кальция, согласно таблице 1. В один стакан стандартный раствор кальция не помещают. Во все стаканы приливают по 10 см хлорной кислоты и далее поступают, как указано в 4.3.1.
Градуировочный график строят по результатам, полученным после вычитания значения абсорбции раствора, не содержащего стандартный раствор кальция, из значений абсорбции растворов, содержащих стандартный раствор, и соответствующим им массам кальция.
При применении метода добавок к навеске пробы добавляют такое количество стандартного раствора кальция, чтобы значение абсорбции раствора пробы с добавлением стандартного раствора кальция составляло не более двухкратного значения абсорбции раствора пробы и находилось в линейном диапазоне градуировочного графика. Далее анализ проводят, как указано в 4.3.1.
4.4 Обработка результатов
4.4.1 Массовую долю кальция , %, определяемую методом сравнения, вычисляют но формуле
, (2)
где - аттестованное значение массовой доли кальция в стандартном образце, %;
- значение атомной абсорбции раствора пробы;
- значение атомной абсорбции раствора контрольного опыта;
- значение атомной абсорбции раствора стандартного образца.
4.4.2 Массовую долю кальция , %, определяемую методом градуировочного графика, вычисляют по формуле
, (3)
где - масса кальция, найденная по градуировочному графику, г;
- масса навески пробы, г.
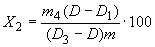
4.4.3 Массовую долю кальция , %, определяемую методом добавок, вычисляют по формуле
, (4)
где - масса кальция стандартного раствора, добавленная к пробе, г;
- значение атомной абсорбции раствора пробы без добавления стандартного раствора кальция;
- значение атомной абсорбции раствора контрольного опыта;
- значение атомной абсорбции раствора пробы с добавлением стандартного раствора кальция;
- масса навески пробы, г.
4.4.4 Нормы точности и нормативы контроля точности определения массовой доли кальция приведены в таблице 2.
Таблица 2
В процентах
Допускаемое расхождение | |||||
Массовая доля кальция | Погрешность результатов анализа | двух средних результатов анализа, выполненных | двух параллельных определений | трех параллельных определений | результатов анализа стандартного образца и аттестованного значения |
От 0,02 до 0,05 включ. | 0,010 | 0,013 | 0,011 | 0,013 | 0,007 |
Св. 0,05 " 0,1 " | 0,015 | 0,018 | 0,015 | 0,018 | 0,010 |
" 0,1 " 0,2 " | 0,02 | 0,03 | 0,02 | 0,03 | 0,01 |
" 0,2 " 0,5 " | 0,04 | 0,05 | 0,04 | 0,05 | 0,02 |
" 0,5 " 1,0 " | 0,05 | 0,06 | 0,05 | 0,06 | 0,03 |
" 1,0 " 1,2 " | 0,07 | 0,08 | 0,07 | 0,08 | 0,04 |
5 Комплексонометрический метод
5.1. Сущность метода
Метод основан на титровании кальция раствором натриевой соли этилендиаминтетрауксусной кислоты (трилона Б) в присутствии смеси индикаторов флуорексона и тимолфталеина при рН более 12.
Мешающие элементы отделяют при помощи уротропина или связывают триэтаноламином.
5.2 Реактивы и растворы
Кислота азотная по ГОСТ 4461.
Кислота соляная по ГОСТ 3118 и раствор 1:1.
Кислота хлорная плотностью 1,5 г/см.
Кислота фтористоводородная по ГОСТ 10484.
Аммиак водный по ГОСТ 3760 и раствор 1:1.
Уротропин технический по ГОСТ 1381 или гексаметилентетрамин, раствор 250 г/дм.
Натрия гидроокись по ГОСТ 4328, раствор 300 г/дм.
Натрий хлористый по ГОСТ 4233.
Аммоний щавелевокислый по ГОСТ 5712, растворы 40 г/дм и 1 г/дм
.
Метиловый оранжевый, индикатор, раствор 1 г/дм.
Индигокармин, индикатор, раствор: 0,25 г реактива растворяют в 50 см этилового спирта и доливают до объема 100 см
водой;
или малахитовый зеленый, индикатор, спиртовой раствор 2 г/дм.
Спирт этиловый ректификованный по ГОСТ 5962 или ГОСТ 18300.
Флуорексон, индикатор.
Тимолфталеин, индикатор.
Смесь индикаторов: 0,4 г флуорексона, 0,4 г тимолфталеина и 40 г хлористого натрия растирают в ступке и тщательно перемешивают.
Триэтаноламин, раствор 1:3.
Железо металлическое.
Кальций углекислый по ГОСТ 4530 или кальция оксид.
Стандартный раствор кальция: 1,0 г углекислого кальция, предварительно высушенного при температуре 110 °С, или 0,56 г оксида кальция, свежепрокаленного при температуре 850 °С, растворяют в 50 см раствора соляной кислоты. Раствор кипятят 5-10 мин, охлаждают, переносят в мерную колбу вместимостью 1 дм
, доливают водой до метки и перемешивают.
Массовая концентрация кальция в стандартном растворе приблизительно равна 0,0004 г/см.
Для определения массовой концентрации кальция в стандартном растворе аликвотную часть 50,0 см помещают в коническую колбу вместимостью 500 см
, приливают 200 см
горячей воды, 25 см
горячего раствора щавелевокислого аммония 40 г/дм
, нагревают до кипения и нейтрализуют раствор аммиаком, прибавляя его по каплям при перемешивании по индикатору метиловому оранжевому до изменения окраски индикатора. Затем добавляют 1 см
аммиака в избыток.
Раствор с осадком кипятят 10 мин и оставляют на 12 ч.
Осадок оксалата кальция отфильтровывают на двойной плотный фильтр, содержащий фильтробумажную массу, колбу и фильтр с осадком промывают 6-8 раз холодным раствором щавелевокислого аммония 1 г/дм, фильтр с осадком помещают во взвешенный платиновый тигель, осторожно озоляют и прокаливают в муфеле при температуре 1000-1100 °С до постоянной массы.
Массовую концентрацию раствора кальция , г/см
, вычисляют по формуле (1), 4.2.
Соль динатриевая этилендиамин-N, N, N', N'-тетрауксусной кислоты, 2-водная (трилон Б) по ГОСТ 10652, раствор с молярной концентрацией 0,005 моль/дм: 1,86 г реактива растворяют в 200 см
воды. Раствор фильтруют в мерную колбу вместимостью 1 дм
, фильтр промывают 2-3 раза водой и отбрасывают. Раствор доливают до метки водой и перемешивают. Хранят раствор в полиэтиленовой посуде.
Массовую концентрацию раствора трилона Б устанавливают по стандартному образцу ферросилиция с химическим составом, соответствующим требованиям настоящего стандарта, и проведенному через все стадии анализа, как указано в 5.3, или по стандартному раствору кальция следующим образом.
В платиновую или стеклоуглеродную чашку помещают соответствующее количество стандартного раствора кальция, 0,5 г железа и далее проводят анализ по 5.3.
Массовую концентрацию раствора трилона Б , определяемую по стандартному раствору кальция и выраженную в г/см
кальция, вычисляют по формуле
, (5)
где - масса кальция стандартного раствора, взятая для анализа, г;
- объем раствора трилона Б, израсходованный на титрование стандартного раствора, см
;
- объем раствора трилона Б, израсходованный на титрование раствора контрольного опыта, см
.
Массовую концентрацию раствора трилона Б , определяемую по стандартному образцу и выраженную в г/см
кальция, вычисляют по формуле
, (6)
где - аттестованное значение массовой доли кальция в стандартном образце, %;
- масса навески стандартного образца, соответствующая аликвотной части раствора, г;
- объем раствора трилона Б, израсходованный на титрование раствора стандартного образца, см
;
- объем раствора трилона Б, израсходованный на титрование раствора контрольного опыта, см
.
5.3 Проведение анализа
Навеску пробы массой 1 г помещают в платиновую или стеклоуглеродную чашку, приливают 20 см фтористоводородной кислоты, затем осторожно по каплям прибавляют азотную кислоту до прекращения бурной реакции и 5 см
в избыток, приливают 20 см
хлорной кислоты и выпаривают раствор до выделения паров хлорной кислоты. После охлаждения стенки чашки обмывают водой и выпаривают раствор досуха. Затем приливают 10 см
соляной кислоты и снова выпаривают досуха.
К сухому остатку приливают 10 см соляной кислоты и 30 см
воды, нагревают до растворения солей, переносят раствор в коническую колбу вместимостью 250 или 500 см
и приливают 150 см
горячей воды. Раствор нейтрализуют аммиаком до выпадения осадка гидроксидов железа, который растворяют, добавляя несколько капель раствора соляной кислоты (1:1). Затем приливают 10-15 см
раствора уротропина, нагревают и выдерживают раствор в течение 10-15 мин при температуре 70-80 °С для коагуляции осадка. После охлаждения раствор с осадком переносят в мерную колбу вместимостью 250 см
, доливают водой до метки, перемешивают и дают осадку отстояться.
Раствор фильтруют через сухой фильтр средней плотности в сухую колбу, отбрасывая первые порции фильтрата.
Аликвотную часть раствора, равную 200 см, помещают в стакан вместимостью 400 см
, приливают 5 см
раствора триэтаноламина, 3-5 капель раствора индигокармина или малахитового зеленого и при интенсивном перемешивании при помощи мешалки (магнитной или механической) прибавляют раствор гидроксида натрия до изменения окраски раствора и 5 см
в избыток. Затем прибавляют 0,1 г смеси индикаторов и титруют раствором трилона Б до резкого уменьшения или исчезновения зеленой опале
сценции.
5.4 Обработка результатов
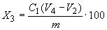
5.4.1 Массовую долю кальция , %, определяют по формуле
, (7)
где - массовая концентрация раствора трилона Б, г/см
кальция;
- объем раствора трилона Б, израсходованный на титрование раствора пробы, см
;
- объем раствора трилона Б, израсходованный на титрование раствора контрольного опыта, см
;
- масса навески, соответствующая аликвотной части раствора пробы, г
.
5.4.2 Нормы точности и нормативы контроля точности определения массовой доли кальция приведены в таблице 2.
Электронный текст документа
подготовлен ЗАО "Кодекс" и сверен по:
официальное издание
М.: ИПК Издательство стандартов, 2001
Разместите заказ
сами сделают вам предложение
