ГОСТы сталей. ГОСТ 13230.7-93
ГОСТ 13230.7-93
Группа В19
МЕЖГОСУДАРСТВЕННЫЙ СТАНДАРТ
ФЕРРОСИЛИЦИЙ
Методы определения алюминия
Ferrosilicon. Methods for determination of aluminium
МКС 77.100
ОКСТУ 0809
Дата введения 2002-07-01
Предисловие
1 РАЗРАБОТАН Техническим комитетом по стандартизации ТК 008 "Ферросплавы"
ВНЕСЕН Госстандартом России
2 ПРИНЯТ Межгосударственным Советом по стандартизации, метрологии и сертификации 15 апреля 1994 г. (отчет Технического секретариата N 2)
За принятие проголосовали:
Наименование государства | Наименование национального органа по стандартизации |
Республика Армения | Армгосстандарт |
Республика Беларусь | Госстандарт Республики Беларусь |
Республика Казахстан | Госстандарт Республики Казахстан |
Республика Молдова | Молдовастандарт |
Российская Федерация | Госстандарт России |
Туркменистан | Главгосслужба "Туркменстандартлары" |
Украина | Госстандарт Украины |
3 В настоящем стандарте учтены требования международного стандарта ИСО 4137-79 "Ферросилиций. Определение содержания алюминия. Спектрофотометрический метод пламенной атомной абсорбции"
4 Постановлением Государственного комитета Российской Федерации по стандартизации и метрологии от 26 июня 2001 г. N 247-ст межгосударственный стандарт ГОСТ 13230.7-93 введен в действие непосредственно в качестве государственного стандарта Российской Федерации с 1 июля 2002 г.
5 ВЗАМЕН ГОСТ 13230.7-81
1 Область применения
1 Область применения
Настоящий стандарт устанавливает методы определения алюминия в ферросилиции: атомно-абсорбционный (при массовой доле алюминия от 0,05% до 5%), фотометрический (при массовой доле алюминия от 0,02% до 0,05%) и комплексонометрический (при массовой доле алюминия от 0,5% до 5%).
Допускается определение алюминия по методике, приведенной в приложении А.
2 Нормативные ссылки
В настоящем стандарте использованы ссылки на следующие стандарты:
ГОСТ 61-75 Кислота уксусная. Технические условия
ГОСТ 199-78 Натрий уксуснокислый 3-водный. Технические условия
ГОСТ 3117-78 Аммоний уксуснокислый. Технические условия
ГОСТ 3118-77 Кислота соляная. Технические условия
ГОСТ 3760-79 Аммиак водный. Технические условия
ГОСТ 4204-77 Кислота серная. Технические условия
ГОСТ 4221-76 Калий углекислый. Технические условия
ГОСТ 4233-77 Натрий хлористый. Технические условия
ГОСТ 4328-77 Натрия гидроокись. Технические условия
ГОСТ 4461-77 Кислота азотная. Технические условия
ГОСТ 4463-76 Натрий фтористый. Технические условия
ГОСТ 5823-78 Цинк уксуснокислый 2-водный. Технические условия
ГОСТ 5962-67* Спирт этиловый ректификованный. Технические условия
________________
* На территории Российской Федерации действует ГОСТ Р 51652-2000.
ГОСТ 7172-76 Калий пиросернокислый
ГОСТ 9656-75 Кислота борная. Технические условия
ГОСТ 10484-78 Кислота фтористоводородная. Технические условия
ГОСТ 10652-73 Соль динатриевая этилендиамин-N, N, N', N'-тетрауксусной кислоты 2-водная (трилон Б)
ГОСТ 18300-87 Спирт этиловый ректификованный технический. Технические условия
ГОСТ 24991-81 Феррохром, ферросиликохром, ферросилиций, ферросиликомарганец, ферромарганец. Методы отбора и подготовки проб для химического и физико-химического анализов
ГОСТ 28473-90 Чугун, сталь, ферросплавы, хром, марганец металлические. Общие требования к методам анализа
3 Общие требования
3.1 Общие требования к методам анализа - по ГОСТ 28473.
3.2 Лабораторная проба должна быть приготовлена в виде порошка максимальным размером частиц 0,16 мм по ГОСТ 24991.
4 Атомно-абсорбционный метод
4.1 Сущность метода
Метод основан на измерении атомной абсорбции алюминия в пламени закись азота-ацетилен при длине волны 309,3 нм. Атомизацию проводят из солянокислых растворов.
4.2 Аппаратура, реактивы и растворы
Атомно-абсорбционный спектрометр со всеми принадлежностями.
Кислота азотная по ГОСТ 4461.
Кислота фтористоводородная по ГОСТ 10484
Кислота хлорная плотностью 1,5 г/см.
Кислота соляная по ГОСТ 3118 и растворы 1:1, 1:50.
Железо металлическое.
Раствор железа 20 г/дм: 20 г железа растворяют при нагревании в 40 см
соляной кислоты, приливают 5 см
азотной кислоты, раствор кипятят до удаления оксидов азота. Охлажденный раствор переносят в мерную колбу вместимостью 1 дм
, доливают до метки водой и перемешивают.
Калий углекислый по ГОСТ 4221.
Кислота борная по ГОСТ 9656.
Смесь для сплавления: 3 части углекислого калия, предварительно растертого в фарфоровой ступке, смешивают с 1 частью борной кислоты и тщательно перемешивают.
Алюминий металлический.
Стандартные растворы алюминия.
Раствор А: 1,0000 г алюминия растворяют при нагревании в 50 см раствора соляной кислоты (1:1) с добавлением 4-5 капель азотной кислоты. Раствор кипятят до удаления оксидов азота. После охлаждения раствор переносят в мерную колбу вместимостью 1 дм
, доливают водой до метки и перемешивают.
Массовая концентрация алюминия в растворе А равна 0,001 г/см.
Раствор Б: 10,0 см раствора А помещают в мерную колбу вместимостью 100 см
, доливают водой до метки и перемешивают.
Массовая концентрация алюминия в растворе Б равна 0,0001 г
/см.
4.3 Проведение анализа
4.3.1 Навеску пробы, отобранную согласно таблице 1, помещают в фторопластовый стакан или чашку из платины или стеклоуглерода, приливают 10 см фтористоводородной кислоты, прибавляют осторожно по каплям азотную кислоту до прекращения бурной реакции и 5 см
в избыток. Затем приливают 10 см
хлорной кислоты и выпаривают досуха. Соли растворяют при нагревании в 5 см
соляной кислоты и 20 см
воды. Раствор фильтруют через плотный фильтр и осадок на фильтре промывают 5-7 раз горячей водой.
Таблица 1
Массовая доля алюминия, % | Масса навески пробы, г | Разбавление раствора пробы, см | Масса алюминия в атомизируемом растворе, мг | Стандартный раствор алюминия | Объем стандартного раствора, см |
От 0,02 до 0,1 включ. | 0,5 | 50 | 0,1-0,5 | Б | 1,0-5,0 |
Св. 0,1 " 0,5 " | 0,5 | 100 | 0,5-2,5 | Б | 5,0-25,0 |
" 0,5 " 1 " | 0,2 | 100 | 1-2 | Б | 10,0-20,0 |
" 1 " 5 " | 0,1 | 100 | 1-5 | А | 1,0-5,0 |
Фильтр с осадком помещают в платиновый тигель, высушивают, озоляют и прокаливают при температуре 600-700 °С до полного выгорания углерода. К остатку прибавляют 1 г смеси для сплавления и сплавляют при температуре 950-1000 °С в течение 5-10 мин. Тигель охлаждают, плав выщелачивают в 10 см раствора соляной кислоты (1:50) и объединяют с фильтратом, который предварительно выпаривают до объема 20-30 см
.
Объединенный раствор переносят в мерную колбу (согласно таблице 1) доливают водой до метки и перемешивают.
Атомную абсорбцию алюминия измеряют параллельно в растворах пробы, контрольного опыта, растворах для построения градуировочного графика, растворе стандартного образца при длине волны 309,3 нм в пламени закись азота-ацетилен.
4.3.2 После вычитания значения атомной абсорбции раствора контрольного опыта из значения раствора пробы находят массовую долю алюминия в пробе методом сравнения со стандартным образцом с химическим составом, соответствующим требованиям настоящего стандарта, или методом градуировочного графика, или методом добавок.
При применении метода сравнения навеску стандартного образца проводят через все стадии анализа, как указано в 4.3.1.
При применении метода градуировочного графика в ряд стаканов помещают раствор железа в количестве, соответствующем его содержанию в пробе, стандартный раствор алюминия, согласно таблице 1. В один стакан стандартный раствор алюминия не помещают. Во все стаканы помещают по 10 см хлорной кислоты и далее поступают, как указано в 4.3.1.
Градуировочный график строят по результатам, полученным после вычитания значения абсорбции раствора, не содержащего стандартный раствор алюминия, из значений абсорбции растворов, содержащих стандартный раствор, и соответствующим им массам алюминия.
При применении метода добавок к навеске пробы добавляют такое количество стандартного раствора алюминия, чтобы значение абсорбции раствора пробы с добавлением стандартного раствора алюминия составляло не более двухкратного значения абсорбции раствора пробы и находилось в линейном диапазоне градуировочного графика. Далее анализ проводят, как указано в 4.3.1.
4.4 Обработка результатов
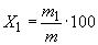
4.4.1 Массовую долю алюминия , %, определяемую методом сравнения, вычисляют по формуле
, (1)
где - аттестованное значение массовой доли алюминия в стандартном образце, %;
- значение атомной абсорбции раствора пробы;
- значение атомной абсорбции раствора контрольного опыта;
- значение атомной абсорбции раствора стандартного образца.
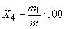
4.4.2 Массовую долю алюминия , %, определяемую методом градуировочного графика, вычисляют по формуле
, (2)
где - масса алюминия, найденная по градуировочному графику, г;
- масса навески пробы, г.
4.4.3 Массовую долю алюминия , %, определяемую методом добавок, вычисляют по формуле
, (3)
где - масса алюминия стандартного раствора, добавленная к пробе, г;
- значение атомной абсорбции раствора пробы без добавления стандартного раствора алюминия;
- значение атомной абсорбции раствора контрольного опыта;
- значение атомной абсорбции раствора пробы с добавлением стандартного раствора алюминия;
- масса навески пробы, г.
4.4.4 Нормы точности и нормативы контроля точности определения массовой доли алюминия приведены в таблице 2.
Таблица 2
В процентах
Массовая | Погрешность результатов анализа | Допускаемое расхождение | |||
двух средних результатов анализа, выполненных в различных условиях, | двух параллельных определений | трех параллельных определений | результатов анализа стандартного образца и аттестованного значения | ||
От 0,02 до 0,05 включ. | 0,009 | 0,011 | 0,009 | 0,011 | 0,006 |
Св. 0,05 " 0,1 " | 0,017 | 0,021 | 0,017 | 0,021 | 0,011 |
" 0,1 " 0,2 " | 0,03 | 0,04 | 0,03 | 0,04 | 0,02 |
" 0,2 " 0,5 " | 0,05 | 0,06 | 0,05 | 0,06 | 0,03 |
" 0,5 " 1,0 " | 0,06 | 0,08 | 0,07 | 0,08 | 0,04 |
" 1,0 " 2,0 " | 0,09 | 0,11 | 0,09 | 0,11 | 0,06 |
" 2,0 " 5,0 " | 0,14 | 0,18 | 0,15 | 0,18 | 0,09 |
5 Фотометрический метод
5.1 Сущность метода
Метод основан на образовании комплексного соединения алюминия с алюминоном и измерении его оптической плотности.
Мешающее влияние трехвалентного железа устраняют восстановлением его аскорбиновой кислотой.
5.2 Аппаратура, реактивы и растворы
Спектрофотометр или фотоэлектроколориметр.
Кислота азотная по ГОСТ 4461 и раствор 1:1.
Кислота фтористоводородная по ГОСТ 10484.
Кислота серная по ГОСТ 4204, раствор 1:1.
Кислота соляная по ГОСТ 3118 и растворы 1:1, 1:4 и 1:100.
Кислота уксусная по ГОСТ 61.
Кислота аскорбиновая, свежеприготовленный раствор 20 г/дм.
Калий пиросернокислый по ГОСТ 7172.
Аммиак водный по ГОСТ 3760, раствор 1:1.
Натрий уксуснокислый по ГОСТ 199.
Буферный раствор с рН 4,7: 6,8 г уксуснокислого натрия растворяют в 100 см воды, добавляют 3 см
уксусной кислоты, разбавляют водой до 1 дм
и перемешивают.
Железо металлическое.
Раствор железа 10 г/дм: 5 г металлического железа растворяют в 100 см
раствора азотной кислоты. Охлаждают и раствор переносят в мерную колбу вместимостью 500 см
, доливают до метки водой и перемешивают.
Алюминон, раствор 1 г/дм, готовят за сутки до применения и хранят не более 10 сут.
Алюминий металлический.
Стандартный раствор алюминия: 0,1000 г металлического алюминия растворяют при нагревании в 20 см раствора соляной кислоты (1:1) с добавлением 4-5 капель азотной кислоты. Затем добавляют 10 см
раствора серной кислоты и выпаривают до выделения паров серной кислоты. Соли растворяют в 50 см
воды при нагревании. После охлаждения раствор переносят в мерную колбу вместимостью 1 дм
, доливают водой до метки и перемешивают.
Массовая концентрация алюминия в растворе равна 0,0001
г/см.
5.3 Проведение анализа
5.3.1 Навеску пробы, отобранную согласно таблице 3, помещают в стеклоуглеродную или платиновую чашку, приливают 10 см фтористоводородной кислоты, осторожно по каплям добавляют азотную кислоту до прекращения бурной реакции и 5 см
в избыток. Приливают 5 см
раствора серной кислоты и выпаривают до выделения паров серной кислоты. После охлаждения стенки чашки обмывают водой и выпаривают раствор досуха (до полного удаления паров серной кислоты).
Таблица 3
Массовая доля алюминия, % | Масса навески пробы, г | Разбавление раствора пробы, см | Объем раствора аскорбиновой кислоты, см |
От 0,02 до 0,05 включ. | 0,5 | 50 | 5 |
Св. 0,05 " 0,1 " | 0,2 | 50 | 2 |
" 0,1 " 0,3 " | 0,1 | 50 | 2 |
" 0,3 " 0,5 " | 0,1 | 100 | 2 |
После охлаждения в чашку приливают 20 см раствора соляной кислоты (1:1), 10 см
горячей воды и растворяют соли при нагревании.
Раствор фильтруют через плотный фильтр в присутствии небольшого количества беззольной фильтробумажной массы. Осадок количественно переносят на фильтр и промывают его 5-6 раз горячим раствором соляной кислоты (1:100), собирая фильтрат и промывные воды в коническую колбу вместимостью 250 см.
Фильтр с осадком помещают в платиновый тигель, высушивают, озоляют и прокаливают при температуре 700-800 °С до полного выгорания углерода. Остаток в тигле доплавляют с 2 г пиросульфата калия при температуре 700-750 °С. Плав охлаждают и выщелачивают в 50 см горячей воды. Раствор фильтруют через фильтр средней плотности, фильтр промывают 5-6 раз горячей водой, собирая фильтрат и промывные воды в коническую колбу, в которой находится основной раствор.
Раствор выпаривают до объема 20-30 см, охлаждают, переносят в мерную колбу вместимостью согласно таблице 3, доливают до метки водой и перемешивают.
5.3.2 В две мерные колбы вместимостью по 100 см отбирают аликвотные части раствора, равные 5,0 см
, приливают раствор аскорбиновой кислоты согласно таблице 3 и перемешивают. Добавляют по 10 см
воды и нейтрализуют раствором аммиака до сиреневого или светло-коричневого цвета раствора (или контроль ведут на рН-метре до рН 4,7). Затем прибавляют по каплям при постоянном перемешивании раствор соляной кислоты (1:4) до обесцвечивания раствора, по 30 см
буферного раствора, по 20 см
воды и перемешивают. В одну из мерных колб приливают 2,0 см
раствора алюминона, обе колбы доливают до метки буферным раствором и перемешивают.
Оптическую плотность раствора измеряют через 40 мин на спектрофотометре при длине волны 530 нм или фотоэлектроколориметре в области светопропускания от 510 до 560 нм.
В качестве раствора сравнения применяют вторую аликвотную часть раствора с добавлением всех реактивов, за исключением раствора алюминона.
После вычитания значения оптической плотности раствора контрольного опыта из значения оптической плотности раствора пробы находят массовую долю алюминия методом сравнения со стандартным образцом с химическим составом, соответствующим требованиям настоящего стандарта, или методом градуировочного графика.
5.3.3 Построение градуировочного графика
В пять из шести стеклоуглеродных или платиновых чашек помещают 1,0; 1,5; 2,0; 2,5 и 3,0 см стандартного раствора алюминия, что соответствует 0,00010; 0,00015; 0,00020; 0,00025 и 0,00030 г алюминия. Во все чашки помещают раствор железа в количестве, соответствующем его содержанию в пробе, по 10 см
фтористоводородной кислоты, 5 см
азотной кислоты, 5 см
раствора серной кислоты и выпаривают до выделения паров серной кислоты. После охлаждения стенки чашек обмывают водой и выпаривают растворы досуха (до полного удаления паров серной кислоты). После охлаждения в чашки приливают по 20 см
раствора соляной кислоты (1:1), 10 см
горячей воды и растворяют соли при нагревании. Растворы переносят в мерные колбы вместимостью 50 см
, доливают до метки водой и перемешивают.
Из каждой колбы отбирают аликвотную часть раствора, равную 5,0 см, в мерную колбу вместимостью 100 см
, приливают 2 см
раствора аскорбиновой кислоты и далее поступают, как указано в 5.3.2.
В качестве раствора сравнения применяют раствор, не содержащий стандартного раствора алюминия.
По полученным значениям оптических плотностей растворов и соответствующим им массам алюминия строят градуировочный гра
фик.
5.4 Обработка результатов
5.4.1 Массовую долю алюминия , %, определяемую методом сравнения, вычисляют по формуле
, (4)
где - аттестованное значение массовой доли алюминия в стандартном образце, %;
- значение оптической плотности раствора пробы;
- значение оптической плотности раствора контрольного опыта;
- значение оптической плотности раствора стандартного образца.
5.4.2 Массовую долю алюминия , %, определяемую методом градуировочного графика, вычисляют по формуле
, (5)
где - масса алюминия, найденная по градуировочному графику, г;
- масса навески пробы или масса навески, соответствующая аликвотной части раствора пробы, г.
5.4.3 Нормы точности и нормативы контроля точности определения массовой доли алюминия приведены в таблице 2.
6 Комплексонометрический метод
6.1 Сущность метода
Метод основан на образовании комплексного соединения алюминия с натриевой солью этилендиаминтетрауксусной кислоты (трилоном Б) с последующим разрушением этого соединения фторидом натрия. Эквивалентное количество выделившегося трилона Б титруют раствором ацетата цинка в присутствии индикатора ксиленолового оранжевого. От мешающих элементов алюминий отделяют гидроксидом натрия.
6.2 Реактивы и растворы
Кислота соляная по ГОСТ 3118 и растворы 1:1, 1:10 и 1:100.
Кислота азотная по ГОСТ 4461.
Кислота серная по ГОСТ 4204, раствор 1:1.
Кислота фтористоводородная по ГОСТ 10484.
Кислота борная по ГОСТ 9656.
Кислота уксусная по ГОСТ 61.
Аммиак водный по ГОСТ 3760.
Калий пиросернокислый по ГОСТ 7172.
Железо металлическое.
Натрия гидроокись по ГОСТ 4328, раствор 250 г/дм. Раствор хранят в посуде из полиэтилена.
Аммоний уксуснокислый по ГОСТ 3117.
Соль динатриевая этилендиамин-N, N, N', N'-тетрауксусной кислоты, 2-водная (трилон Б) по ГОСТ 10652, раствор 0,025 моль/дм: 9,31 г трилона Б растворяют в 300 см
воды. Раствор фильтруют в мерную колбу вместимостью 1 дм
. Фильтр промывают 2-3 раза водой и отбрасывают. Раствор доливают до метки водой и перемешивают.
Натрий хлористый по ГОСТ 4233.
Натрий фтористый по ГОСТ 4463, раствор 35 г/дм. Раствор хранят в посуде из полиэтилена.
Буферный раствор (рН 5,5-5,8): 500 г уксуснокислого аммония растворяют в 1 дм воды, добавляют 30 см
уксусной кислоты и перемешивают (контроль по рН-метру).
Спирт этиловый ректификованный по ГОСТ 5962 или по ГОСТ 18300.
Фенолфталеин, индикатор, спиртовой раствор 10 г/дм.
Ксиленоловый оранжевый, индикатор.
Смесь индикаторная: 0,1 г ксиленолового оранжевого растирают в ступке с 10 г хлористого натрия.
Алюминий металлический.
Стандартный раствор алюминия: 1,0000 г алюминия растворяют при нагревании в 50 см раствора соляной кислоты (1:1) с добавлением 4-5 капель азотной кислоты. Раствор кипятят до удаления оксидов азота. После охлаждения раствор переносят в мерную колбу вместимостью 1 дм
, доливают до метки водой и перемешивают.
Массовая концентрация алюминия в растворе равна 0,001 г/см.
Цинк металлический или цинк уксуснокислый 2-водный по ГОСТ 5823.
Раствор цинка: 1,63 г цинка растворяют в 20 см раствора соляной кислоты (1:1) с добавлением 2-4 капель азотной кислоты и выпаривают раствор до сиропообразного состояния. Затем прибавляют 100 см
воды, нагревают до полного растворения солей и охлаждают. Прибавляют 25 см
буферного раствора, переносят в мерную колбу вместимостью 1 дм
, доливают водой до метки и перемешивают.
Или: 5,47 г уксуснокислого цинка растворяют в 500 см воды, прибавляют 25 см
буферного раствора. Раствор переносят в мерную колбу вместимостью 1 дм
, доливают до метки водой и перемешивают.
Массовую концентрацию раствора цинка устанавливают по стандартному образцу с химическим составом, соответствующим требованиям настоящего стандарта, проведенному через все стадии анализа по 4.3, или по стандартному раствору алюминия.
Для этого в коническую колбу вместимостью 250 см помещают навеску металлического железа и стандартный раствор алюминия в количествах, соответствующих содержанию железа и алюминия в анализируемой пробе, приливают 30 см
раствора соляной кислоты (1:1) и растворяют при нагревании. Затем добавляют 3-4 капли азотной кислоты и кипятят 2-3 мин. Добавляют 30 см
воды, 2 г борной кислоты и горячий раствор нейтрализуют раствором гидроксида натрия до начала выпадения гидроксидов железа, после чего тонкой струей при перемешивании переливают во фторопластовый или кварцевый стакан вместимостью 400 см
, в котором находится 50 см
горячего раствора гидроксида натрия, кипятят 3-4 мин и охлаждают.
Раствор с осадком переносят в мерную колбу вместимостью 250 см, доливают водой до метки и перемешивают. Раствор фильтруют через сухой фильтр средней плотности в сухую колбу и отбрасывают первые порции фильтрата. Далее поступают, как указано в 6.3.
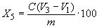
Массовую концентрацию раствора цинка , г/см
, определяемую по стандартному раствору алюминия, вычисляют по формуле
, (6)
где - масса алюминия стандартного раствора, взятая для титрования, г;
- объем раствора цинка, израсходованный при втором титровании стандартного раствора, см
;
- объем раствора цинка, израсходованный при втором титровании раствора контрольного опыта, см
.
Массовую концентрацию раствора цинка , г/см
, определяемую методом сравнения со стандартным образцом, вычисляют по формуле
, (7)
где - аттестованное значение массовой доли алюминия в стандартном образце, %;
- масса навески пробы;
- объем раствора цинка, израсходованный при втором титровании раствора стандартного образца, см
;
- объем раствора цинка, израсходованный при втором титровании раствора контрольного опыта, см
.
6.3 Проведение анализа
Навеску пробы массой 0,5 г помещают в платиновую или стеклоуглеродную чашку, приливают 10 см фтористоводородной кислоты, затем осторожно по каплям прибавляют азотную кислоту до прекращения бурной реакции и 5 см
в избыток. Затем прибавляют 10 см
раствора серной кислоты и выпаривают до выделения густых паров серной кислоты, охлаждают, обмывают стенки чашки водой и снова выпаривают до густых паров серной кислоты, которым дают выделяться в течение 5 мин.
После охлаждения в чашку приливают 20 см раствора соляной кислоты (1:1), 30 см
горячей воды и растворяют соли при нагревании. Раствор фильтруют через плотный фильтр в присутствии небольшого количества беззольной фильтробумажной массы.
Осадок количественно переносят на фильтр и промывают его 5-6 раз горячим раствором соляной кислоты (1:100), собирая фильтрат и промывные воды в коническую колбу вместимостью 250 см, фильтр с осадком помещают в платиновый тигель, высушивают, озоляют и прокаливают при температуре 700-800 °С до полного выгорания углерода. Осадок в тигле доплавляют с 2 г пиросульфата калия при температуре 700-750 °С.
Плав охлаждают, выщелачивают в 50 см раствора соляной кислоты (1:10) и раствор присоединяют к фильтрату.
К объединенному раствору добавляют 2 г борной кислоты и выпаривают его до объема 100 см.
Раствор нейтрализуют раствором гидроксида натрия до начала выпадения гидроксида железа, после чего тонкой струйкой, при перемешивании, переносят в стакан вместимостью 400 см, в котором находятся 40 см
горячего раствора гидроксида натрия, кипятят 3-4 мин и охлаждают.
Раствор с осадком переносят в мерную колбу вместимостью 250 см, доливают водой до метки и перемешивают. Отфильтровывают через сухой фильтр средней плотности в сухую колбу, отбрасывая первые порции фильтрата.
Аликвотную часть 200 см (при массовой доле алюминия до 2%) или 100 см
(при массовой доле алюминия св. 2%) помещают в коническую колбу вместимостью 500 см
, приливают из бюретки 30,0 см
раствора трилона Б и нейтрализуют раствором соляной кислоты (1:1) в присутствии фенолфталеина до исчезновения малиновой окраски. К раствору приливают 15 см
буферного раствора, нагревают до кипения и кипятят 2-3 мин.
Раствор охлаждают и избыток трилона Б оттитровывают раствором цинка в присутствии 0,05-0,1 г индикаторной смеси до перехода желтой окраски раствора в малиново-красную. Затем прибавляют 30 см раствора фтористого натрия, кипятят 2-3 мин, охлаждают и титруют выделившийся трилон Б раствором цинка в присутствии 0,05 г дополнительно добавленной индикаторной смеси до перехода желтой окраски в малиново-красную.
7 Обработка результатов
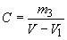
7.1 Массовую долю алюминия , %, вычисляют по формуле
, (8)
где - массовая концентрация раствора цинка, г/см
;
- объем раствора цинка, израсходованный при втором титровании раствора пробы, см
;
- объем раствора цинка, израсходованный при втором титровании раствора контрольного опыта, см
;
- масса навески пробы, соответствующая аликвотной части раствора пробы, г
.
7.2 Нормы точности и нормативы контроля точности определения массовой доли алюминия приведены в таблице 2.
ПРИЛОЖЕНИЕ А (рекомендуемое). Ферросилиций. Определение содержания алюминия. Спектрофотометрический метод пламенной атомной абсорбции (ИСО 4137-79)
ПРИЛОЖЕНИЕ А
(рекомендуемое)
А.1 Назначение и область применения
Настоящий стандарт устанавливает метод определения содержания алюминия в ферросилиции с помощью спектрофотометрии пламенной атомной абсорбции.
Метод применим к маркам ферросилиция с содержанием алюминия 0,05%-5%.
А.2 Сущность метода
Растворение навески в азотной, фтористоводородной и хлорной кислотах. Выпаривание раствора до выделения паров хлорной кислоты. Отделение и доплавление остатка со смесью карбоната натрия и борной кислоты; выщелачивание плава в основном растворе. Распыление раствора в пламени закись азота-ацетилен и прямое определение содержания алюминия спектрофотометрическим методом абсорбции по линии поглощения 309,3 нм, излучаемой лампой с алюминиевым полым катодом.
А.3 Реактивы
В ходе анализа используют реактивы и дистиллированную воду или воду эквивалентной чистоты.
А.3.1 Карбонат натрия безводный.
А.3.2 Кислота азотная, 1,40 г/см
, приблизительно 68%-ный (м/м) раствор.
А.3.3 Кислота фтористоводородная, 1,16 г/см
, приблизительно 48%-ный (м/м) раствор.
А.3.4 Кислота хлорная, 1,68 г/см
, приблизительно 10%-ный (м/м) раствор.
А.3.5 Кислота соляная, 1,19 г/см
, приблизительно 38%-ный (м/м) раствор.
А.3.6 Кислота соляная, раствор, разбавленный 1:9. Смешивают 1 объем раствора соляной кислоты (А.3.5) с 9 объемами воды и перемешивают.
А.3.7 Кислота борная, кристаллическая.
А.3.8 Железо, раствор N 1, содержащий 10 г железа в 1 дм: взвешивают 10 г чистого железа, не содержащего алюминий, с погрешностью до 0,001 г, помещают в химический стакан вместимостью 600 см
и растворяют в 50 см
раствора соляной кислоты (А.3.5). Осторожно нагревают до полного растворения. Содержимое стакана переливают в мерную колбу вместимостью 1000 см
, доливают до метки водой и перемешивают.
А.3.9 Железо, раствор N 2, содержащий 10 г железа в 1 дм: взвешивают 5 г чистого железа, не содержащего алюминий, с погрешностью до 0,001 г, помещают в химический стакан вместимостью 600 см
и растворяют в 25 см
раствора соляной кислоты (А.3.5). Стакан осторожно подогревают до полного растворения навески и добавляют 25 см
раствора хлорной кислоты (А.3.4). Нагревают до появления белых хлорных паров. Раствор охлаждают и добавляют 50 см
соляной кислоты (А.3.5), ждут, пока он не станет светлым, затем добавляют 50 см
воды. Погружают в этот раствор платиновый тигель, в котором предварительно была расплавлена в муфельной печи при температуре 1000 °С смесь: 5 г карбоната натрия (А.3.1) и 2,5 г борной кислоты (А.3.7). Стакан осторожно подогревают до полного растворения плава в тигле. Вынимают тигель и тщательно промывают его, собирая промывные воды в стакан. Раствор охлаждают, переливают содержимое стакана в мерную колбу вместимостью 500 см
, доливают до метки водой и перемешивают.
А.3.10 Раствор, используемый для построения градуировочных графиков (раствор фона): в химический стакан вводят 30 см раствора соляной кислоты (А.3.5), 15 см
раствора хлорной кислоты (А.3.4) и 50 см
воды. Погружают в этот раствор платиновый тигель, в котором предварительно в муфельной печи при 1000 °С была расплавлена смесь: 5 г карбоната натрия (А.3.1) и 2,5 г борной кислоты (А.3.7). Стакан осторожно нагревают до полного растворения плава в тигле, вынимают его и тщательно промывают, собирая промывные воды в химический стакан. Раствор охлаждают, переливают содержимое стакана в мерную колбу вместимостью 200 см
, доливают до метки водой и перемешивают.
А.3.11 Алюминий, эталонный раствор, содержащий 1 г алюминия в 1 дм. Взвешивают 1 г алюминия чистотой 99,99% с погрешностью до 0,001 г, помещают в химический стакан вместимостью 600 см
и растворяют в 30 см
раствора соляной кислоты (А.3.5). Переливают раствор в мерную колбу вместимостью 1000 см
, доливают до метки водой и перемешивают.
А.4 Оборудование
А.4.1 Платиновые тигли вместимостью приблизительно 40 см.
А.4.2 Химический тефлоновый стакан (PTFE) соответствующей вместимости.
А.4.3 Спектрофотометр атомной абсорбции, снабженный горелкой, которая питается закисью азота и ацетилена.
А.4.4 Лампа с полым алюминиевым катодом.
А.5 Проба
Отбор и подготовка проб - по ГОСТ 24991.
А.6 Ход анализа
ПРЕДУПРЕЖДЕНИЕ: Пары хлорной кислоты могут в присутствии аммиака или любых органических веществ послужить причиной взрыва.
А.6.1 Навеска
Берут навеску массой (1±0,001) г.
А.6.2 Холостой опыт
Проводят холостой опыт параллельно, следуя тому же ходу анализа и используя те же количества всех реактивов, что и для определения, но во всех случаях добавляют 50 см раствора железа N 1 (А.3.8).
А.6.3 Определение
А.6.3.1 Приготовление опытного раствора
Навеску (А.6.1) помещают в химический стакан из PTFE (политетрафторэтилен) (А.4.2) вместимостью 100 см и добавляют 10 см
раствора азотной кислоты (А.3.2). Осторожно, небольшими порциями добавляют 10 см
раствора фтористоводородной кислоты (А.3.3), постоянно помешивая. Растворение проводят при комнатной температуре до прекращения бурного выделения газа.
Если содержание кремния в пробе равно или больше 65%, к полученному раствору добавляют 30 см раствора железа N 1 (А.3.8). Во всех случаях добавляют 5 см
раствора хлорной кислоты (А.3.4). Химический стакан помещают на электрическую плитку, отрегулированную на температуру не выше 350 °С, нагревают до выделения обильных белых паров хлорной кислоты, а затем охлаждают.
В стакан, в котором проходила реакция, добавляют 30 см соляной кислоты (А.3.6) и нагревают до растворения солей. Осадок фильтруют через плотный фильтр, собирая фильтрат в химический стакан вместимостью 250 см
. Осадок и фильтр промывают 100 см
горячей воды для устранения следов хлорной кислоты, а затем помещают фильтр в платиновый тигель (А.4.1) и подвергают озолению в муфельной печи при низкой температуре, затем прокаливают при 1000 °С в течение 15 мин и охлаждают в эксикаторе.
В охлажденный тигель добавляют 1 г карбоната натрия (А.3.1) и 0,500 г борной кислоты (А.3.7), нагревают в течение 15 мин на электрической плитке при температуре 250 °С, а затем на 15 мин помещают в муфельную печь при температуре 1000 °С.
Тигель охлаждают, затем помещают в химический стакан, в котором находится фильтрат от остатка после растворения в кислоте, добавляют 15 см раствора соляной кислоты (А.3.5) и осторожно нагревают до полного растворения плава. Тигель вынимают из химического стакана, тщательно промывают, собирая промывные воды в химический стакан, и выпаривают раствор при умеренном нагревании до получения объема приблизительно 60 см
.
Раствор охлаждают, переливают содержимое химического стакана в мерную колбу вместимостью 100 см, доливают до метки водой и перемешивают. Раствор А готов к применению.
А.6.3.1.1 Содержание алюминия менее 0,5% (м/м): проводят измерение, описанное в А.6.3.2, с использованием раствора А.
А.6.3.1.2 Содержание алюминия от 0,50% до 1,25% (м/м): 20 см раствора А помещают в мерную колбу вместимостью 50 см
и с помощью бюретки приливают 24 см
раствора железа N 2 (А.3.9), а затем доливают до метки водой и перемешивают. Раствор Б готов к применению.
Проводят измерение, описанное в А.6.3.2, с использованием раствора Б.
А.6.3.1.3 Содержание алюминия от 1,25% до 5% (м/м): 5 см раствора А помещают в мерную колбу вместимостью 50 см
и с помощью бюретки приливают 30 см
раствора железа N 2 (А.3.9), а затем доливают водой до метки и перемешивают. Раствор В готов к применению.
Проводят измерения, описанные в А.6.3.2, с использованием раствора В.
Примечание - В зависимости от используемого прибора разбавление раствора может быть более значительным.
А.6.3.2 Спектрофотометрические измерения: ставят спектрофотометр атомной абсорбции (А.4.3) и лампу с полым алюминиевым катодом (А.4.4) под напряжение так, чтобы к началу опыта гарантировать их стабильные показания. Устанавливают длину волны на 309,3 нм. Регулируют давление закиси азота и ацетилена по характеристикам горелки. Получают оптимальный сигнал, используя раствор алюминия известной концентрации, которая меняется в зависимости от прибора, добиваясь максимальной чувствительности и стабильности.
Предварительно скорректировав нуль прибора по отношению к раствору холостого опыта реактивов градуировочной кривой (А.6.4), измеряют способность поглощения атомного излучения опытного раствора - А.6.3.1.1, А.6.3.1.2 и А.6.3.1.3.
Строят градуировочную кривую (А.6.4) для каждой серии измерений.
Примечание - Алюминий частично ионизирован в пламени закись азота-ацетилен. Железо действует как буферный ионизирующий раствор и, следовательно, усиливает сигнал алюминия.
Опыты показали, что при этих условиях усиление является стабильным для содержания железа от 3 до 10 г на литр.
А.6.4 Построение градуировочной кривой
В восемь мерных колб вместимостью 100 см помещают по 50 см
раствора железа N 2 (А.3.9) и по 20 см
раствора фона (А.3.10) для получения рабочих условий анализа, затем добавляют эталонный раствор алюминия (А.3.11) в объемах, указанных в таблице А.1.
Таблица А.1
Эталонный раствор алюминия (А.3.11), см | Соответствующая масса алюминия, мг | Содержание алюминия в соответствующей навеске, % | ||
Раствор А, | Раствор Б, | Раствор В | ||
0* | 0 | 0 | 0 | 0 |
0,50 | 0,5 | 0,05 | 0,125 | 0,50 |
1,00 | 1,0 | 0,010 | 0,25 | 1,00 |
2,00 | 2,0 | 0,020 | 0,50 | 2,00 |
2,50 | 2,5 | 0,025 | 0,625 | 2,50 |
3,00 | 3,0 | 0,030 | 0,75 | 3,00 |
4,00 | 4,0 | 0,040 | 1,00 | 4,00 |
5,00 | 5,0 | 0,050 | 1,25 | 5,00 |
* Холостой опыт реактивов для построения градуировочной кривой. | ||||
Растворы доливают до метки водой, перемешивают, а затем проводят измерения поглощения атомного излучения из контрольных растворов, описанных в А.6.3.2.
Строят градуировочную кривую, нанося на ось абсцисс процентное содержание алюминия в ферросилиции, а на ось ординат - соответствующие значения поглощения атомного излучения.
А.7 Обработка результатов
Рассчитывают по градуировочной кривой процентное содержание алюминия в ферросилиции, соответствующее измеренной поглощающей способности.
А.8 Протокол испытания
Протокол должен содержать:
- ссылку на использованный метод;
- результаты и форму их выражения;
- особенности, выявленные в ходе опыта;
- операции, не предусмотренные настоящим стандартом или рассматриваемые как необязательные.
Электронный текст документа
подготовлен ЗАО "Кодекс" и сверен по:
официальное издание
М.: ИПК Издательство стандартов, 2001
Разместите заказ
сами сделают вам предложение
