ГОСТы сталей. ГОСТ 13230.6-93
ГОСТ 13230.6-93
Группа В19
МЕЖГОСУДАРСТВЕННЫЙ СТАНДАРТ
ФЕРРОСИЛИЦИЙ
Методы определения хрома
Ferrosilicon. Methods for determination of cromium
МКС 77.100
ОКСТУ 0809
Дата введения 2002-07-01
Предисловие
1 РАЗРАБОТАН Техническим комитетом по стандартизации ТК 008 "Ферросплавы"
ВНЕСЕН Госстандартом России
2 ПРИНЯТ Межгосударственным Советом по стандартизации, метрологии и сертификации 15 апреля 1994 г. (отчет Технического секретариата N 2)
За принятие проголосовали:
Наименование государства | Наименование национального органа по стандартизации |
Республика Армения | Армгосстандарт |
Республика Беларусь | Госстандарт Республики Беларусь |
Республика Казахстан | Госстандарт Республики Казахстан |
Республика Молдова | Молдовастандарт |
Российская Федерация | Госстандарт России |
Туркменистан | Главгосслужба "Туркменстандартлары" |
Украина | Госстандарт Украины |
3 Постановлением Государственного комитета Российской Федерации по стандартизации и метрологии от 26 июня 2001 г. N 247-ст межгосударственный стандарт ГОСТ 13230.6-93 введен в действие непосредственно в качестве государственного стандарта Российской Федерации с 1 июля 2002 г.
4 ВЗАМЕН ГОСТ 13230.6-81
1 Область применения
1 Область применения
Настоящий стандарт устанавливает методы определения хрома в ферросилиции: атомно-абсорбционный (при массовой доле хрома от 0,05% до 1,2%), фотометрический (при массовой доле хрома от 0,05% до 0,03%) и потенциометрический (при массовой доле хрома от 0,3% до 1,2%).
2 Нормативные ссылки
В настоящем стандарте использованы ссылки на следующие стандарты:
ГОСТ 61-75 Кислота уксусная. Технические условия
ГОСТ 83-79 Натрий углекислый. Технические условия
ГОСТ 435-77 Марганец (II) сернокислый 5-водный. Технические условия
ГОСТ 1277-75 Серебро азотнокислое. Технические условия
ГОСТ 4204-77 Кислота серная. Технические условия
ГОСТ 4208-72 Соль закиси железа и аммония двойная сернокислая (соль Мора). Технические условия
ГОСТ 4220-75 Калий двухромовокислый. Технические условия
ГОСТ 4233-77 Натрий хлористый. Технические условия
ГОСТ 4461-77 Кислота азотная. Технические условия
ГОСТ 6552-80 Кислота ортофосфорная. Технические условия
ГОСТ 10484-78 Кислота фтористоводородная. Технические условия
ГОСТ 20478-75 Аммоний надсернокислый. Технические условия
ГОСТ 20490-75 Калий марганцовокислый. Технические условия
ГОСТ 24991-81 Феррохром, ферросиликохром, ферросилиций, ферросиликомарганец, ферромарганец. Методы отбора и подготовки проб для химического и физико-химического анализов
ГОСТ 28473-90 Чугун, сталь, ферросплавы, хром, марганец металлические. Общие требования к методам анализа
3 Общие требования
3.1 Общие требования к методам анализа - по ГОСТ 28473.
3.2 Лабораторная проба должна быть приготовлена в виде порошка максимальным размером частиц 0,16 мм по ГОСТ 24991.
4 Атомно-абсорбционный метод
4.1 Сущность метода
Метод основан на измерении атомной абсорбции хрома в пламени закись азота-ацетилен при длине волны 357,9 нм. Атомизацию проводят из сернокислых растворов.
4.2 Аппаратура, реактивы и растворы
Атомно-абсорбционный спектрометр со всеми принадлежностями.
Кислота азотная по ГОСТ 4461.
Кислота фтористоводородная по ГОСТ 10484.
Кислота серная по ГОСТ 4204 и растворы 1:1, 1:2.
Кислота соляная по ГОСТ 3118.
Железо металлическое.
Раствор железа 20 г/дм: 20 г железа растворяют при нагревании в 40 см
соляной кислоты, приливают 5 см
азотной кислоты, раствор кипятят до удаления оксидов азота. Охлажденный раствор переносят в мерную колбу вместимостью 1 дм
, доливают водой до метки и перемешивают.
Хром металлический.
Стандартные растворы хрома.
Раствор А: 1,0000 г хрома растворяют в 50 см раствора серной кислоты (1:2), окисляют азотной кислотой, выпаривают раствор до начала выделения паров серной кислоты. Соли растворяют в воде при нагревании, охлаждают и переносят в мерную колбу вместимостью 1 дм
, доливают водой до метки и перемешивают.
Массовая концентрация хрома в растворе А равна 0,001 г/см.
Раствор Б: 10,0 см раствора А помещают в мерную колбу вместимостью 100 см
, доливают до метки водой и перемешивают.
Массовая концентрация хрома в растворе Б равна 0,0001 г/
см.
4.3 Проведение анализа
4.3.1 Навеску пробы, отобранную согласно таблице 1, помещают во фторопластовый стакан или чашку из стеклоуглерода или платины, приливают 10 см фтористоводородной кислоты, затем осторожно по каплям добавляют азотную кислоту до прекращения бурной реакции и 5 см
в избыток, 8 см
раствора серной кислоты (1:1), раствор выпаривают до выделения паров серной кислоты и охлаждают. Соли растворяют в 20 см
воды при нагревании. Охлажденный раствор переносят в мерную колбу вместимостью 100 см
, доливают водой до метки и перемешивают. Раствор фильтруют через сухой фильтр в сухую колбу, отбрасывая первые порции фильтрата.
Таблица 1
Массовая доля хрома, % | Масса навески пробы, г | Атомизируемая масса хрома, мг | Объем стандартного раствора Б, см |
От 0,05 до 0,2 включ. | 0,5 | 0,25-1 | 2,5-10,0 |
Св. 0,2 " 0,5 " | 0,2 | 0,4-1 | 4,0-10,0 |
" 0,5 " 1,2 " | 0,1 | 0,5-1,2 | 5,0-12,0 |
Атомную абсорбцию хрома измеряют параллельно в растворе контрольного опыта, растворе пробы, растворах для построения градуировочного графика, растворе стандартного образца при длине волны 357,9 нм в пламени закись азота-ацетилен.
4.3.2 После вычитания значения атомной абсорбции раствора контрольного опыта из значения абсорбции раствора пробы находят массовую долю хрома в пробе методом сравнения со стандартным образцом с химическим составом, соответствующим требованиям настоящего стандарта, или методом градуировочного графика, или методом добавок.
При применении метода сравнения навеску стандартного образца проводят через все стадии анализа, как указано в 4.3.1.
При применении метода градуировочного графика в ряд стаканов помещают раствор железа в количестве, соответствующем его содержанию в пробе, стандартный раствор хрома согласно таблице 1. В один стакан стандартный раствор хрома не помещают. Во все стаканы помещают по 8 см раствора серной кислоты (1:1) и далее поступают, как указано в 4.3.1.
Градуировочный график строят по результатам, полученным после вычитания значения абсорбции раствора, не содержащего стандартный раствор хрома, из значений абсорбции растворов, содержащих стандартный раствор, и соответствующим им массам хрома.
При применении метода добавок к навеске пробы добавляют такое количество стандартного раствора хрома, чтобы значение атомной абсорбции раствора пробы с добавлением стандартного раствора составляло не более двухкратного значения атомной абсорбции раствора пробы и находилось в линейном диапазоне градуировочного графика. Далее анализ проводят по 4.3.1.
4.4 Обработка результатов
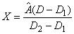
4.4.1 Массовую долю хрома , %, определяемую методом сравнения, вычисляют по формуле
, (1)
где - аттестованное значение массовой доли хрома в стандартном образце, %;
- значение атомной абсорбции раствора пробы;
- значение атомной абсорбции раствора контрольного опыта;
- значение атомной абсорбции раствора стандартного образца.
4.4.2 Массовую долю хрома , %, определяемую методом градуировочного графика, вычисляют по формуле
, (2)
где - масса хрома, найденная по градуировочному графику, г;
- масса навески пробы, г.
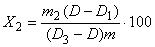
4.4.3 Массовую долю хрома , %, определяемую методом добавок, вычисляют по формуле
, (3)
где - масса хрома стандартного раствора, добавленная к пробе, г;
- значение атомной абсорбции раствора пробы без добавления стандартного раствора хрома;
- значение атомной абсорбции раствора контрольного опыта;
- значение атомной абсорбции раствора пробы с добавлением стандартного раствора хрома;
- масса навески пробы, г.
4.4.4 Нормы точности и нормативы контроля точности определения массовой доли хрома приведены в таблице 2.
Таблица 2
В процентах
Массовая доля хрома | Погрешность результатов анализа | Допускаемое расхождение | |||
двух средних результатов анализа, выполненных в различных условиях, | двух параллельных определений | трех параллельных определений | результатов анализа стандартного образца и аттестованного значения | ||
От 0,05 до 0,1 включ. | 0,014 | 0,017 | 0,014 | 0,018 | 0,009 |
Св. 0,1 " 0,2 " | 0,02 | 0,03 | 0,02 | 0,03 | 0,01 |
" 0,2 " 0,5 " | 0,03 | 0,04 | 0,03 | 0,04 | 0,02 |
" 0,5 " 1,0 " | 0,04 | 0,06 | 0,05 | 0,06 | 0,03 |
" 1,0 " 1,2 " | 0,06 | 0,08 | 0,06 | 0,08 | 0,04 |
5 Фотометрический метод
5.1 Сущность метода
Метод основан на измерении оптической плотности красно-фиолетового комплексного соединения, полученного в результате реакции окисления дифенилкарбазида ионами шестивалентного хрома.
Железо, марганец и другие элементы, мешающие определению, отделяют осаждением углекислым натрием.
5.2 Аппаратура, реактивы и растворы
Спектрофотометр или фотоэлектроколориметр.
Кислота азотная по ГОСТ 4461.
Кислота фтористоводородная по ГОСТ 10484.
Кислота серная по ГОСТ 4204 и растворы 1:1 и 1:5.
Кислота уксусная по ГОСТ 61.
Натрий углекислый по ГОСТ 83, раствор 200 г/дм.
Калий марганцовокислый по ГОСТ 20490, раствор 10 г/дм.
Дифенилкарбазид по НД, свежеприготовленный раствор 1 г/дм: 0,1 г реактива растворяют без нагревания в 10 см
уксусной кислоты, приливают 90 см
воды и перемешивают.
Калий двухромовокислый по ГОСТ 4220.
Стандартный раствор хрома: 0,2829 г перекристаллизованного и просушенного до постоянной массы при температуре 180 °С двухромовокислого калия растворяют в 200 см воды в мерной колбе вместимостью 1 дм
, доливают водой до метки и перемешивают.
Массовая концентрация хрома в растворе равна 0,0001 г/см.
Железо металлическое.
Раствор железа 10 г/дм: 5 г металлического железа растворяют при нагревании в 60 см
раствора серной кислоты (1:5), окисляют азотной кислотой, раствор кипятят до удаления оксидов азота. Охлажденный раствор переносят в мерную колбу вместимостью 500 см
, доливают водой до метки и перемеши
вают.
5.3 Проведение анализа
5.3.1 Навеску пробы массой 0,2 г помещают в стеклоуглеродную или платиновую чашку, приливают 10 см фтористоводородной кислоты, осторожно по каплям добавляют азотную кислоту до прекращения бурной реакции и 5 см
в избыток. Приливают 5 см
раствора серной кислоты (1:1) и выпаривают до выделения паров серной кислоты. После охлаждения стенки чашки обмывают водой и снова выпаривают раствор до выделения паров серной кислоты, которым дают выделяться 3-5 мин.
После охлаждения в чашку приливают 30 см воды и растворяют соли при нагревании. Переносят раствор в коническую колбу вместимостью 100 см
. (В раствор контрольного опыта добавляют 4 см
раствора железа). Раствор выпаривают до объема 30-40 см
. В горячий раствор приливают 1-1,5 см
раствора марганцовокислого калия и кипятят до выпадения осадка диоксида марганца и просветления раствора. Охлаждают и осторожно небольшими порциями при перемешивании приливают раствор углекислого натрия до образования осадка гидроксида железа и в избыток 10 с
м.
5.3.2 Раствор с осадком охлаждают, переносят в мерную колбу вместимостью 100 см, доливают до метки водой и перемешивают. Осадку дают отстояться и затем фильтруют раствор через сухой фильтр средней плотности в сухую колбу, отбрасывая первые порции фильтрата. Аликвотную часть раствора, содержащую от 10 до 50 мкг хрома помещают в мерную колбу вместимостью 100 см
, разбавляют водой до 50 см
, нейтрализуют раствором серной кислоты (1:5) по бумаге "конго", а затем добавляют в избыток этой же кислоты 3 см
. Раствор охлаждают, приливают 5,0 см
раствора дифенилкарбазида, доливают до метки водой и перемешивают.
Оптическую плотность раствора измеряют через 5 мин на спектрофотометре при длине волны 530 нм или фотоэлектроколориметре в области светопропускания от 510 до 560 нм.
В качестве раствора сравнения применяют воду.
После вычитания значения оптической плотности раствора контрольного опыта из значения оптической плотности раствора пробы находят массовую долю хрома методом сравнения со стандартным образцом с химическим составом, соответствующим требованиям настоящего стандарта, или методом градуировочного графика.
5.3.3 Построение градуировочного графика
В ряд конических колб вместимостью 100 см вводят от 1,0 до 5,0 см
стандартного раствора хрома, что соответствует от 0,0001 до 0,0005 г хрома. В одну колбу стандартный раствор хрома не вводят.
Во все колбы добавляют воду до объема 20 см, прибавляют по 4 см
раствора железа и осторожно приливают раствор углекислого натрия до образования осадка гидроксида железа и 10 см
в избыток. Охлажденные растворы с осадком переносят в мерные колбы вместимостью 100 см
, доливают до метки водой и перемешивают.
Осадку дают отстояться, затем фильтруют растворы через сухой фильтр в сухие колбы, отбрасывая первые порции фильтрата. От каждого раствора отбирают аликвотную часть, равную 10,0 см, в мерную колбу вместимостью 100 см
, разбавляют водой до 50 см
и далее поступают, как указано в 5.3.1.
В качестве раствора сравнения применяют раствор, не содержащий стандартного раствора хрома.
По полученным значениям оптических плотностей растворов и соответствующим им массам хрома строят градуировочный граф
ик.
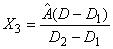
5.4 Обработка результатов
5.4.1 Массовую долю хрома , %, определяемую методом сравнения, вычисляют по формуле
, (4)
где - аттестованное значение массовой доли хрома в стандартном образце, %;
- значение оптической плотности раствора пробы;
- значение оптической плотности раствора контрольного опыта;
- значение оптической плотности раствора стандартного образца.
5.4.2 Массовую долю хрома , %, определяемую методом градуировочного графика, вычисляют по формуле
, (5)
где - масса хрома, найденная по градуировочному графику, г;
- масса навески пробы или масса навески, соответствующая аликвотной части раствора пробы, г.
5.4.3 Нормы точности и нормативы контроля точности определения массовой доли хрома приведены в таблице 2.
6 Потенциометрический метод
6.1 Сущность метода
Метод основан на окислении трехвалентного хрома до шестивалентного в сернокислом растворе надсернокислым аммонием в присутствии катализатора - азотнокислого серебра. Полученную хромовую кислоту оттитровывают раствором соли Мора потенциометрическим методом.
6.2 Аппаратура, реактивы и растворы
Установка для потенциометрического титрования с индикаторным платиновым и сравнительным вольфрамовым или хлорсеребряным, или каломельным электродами.
Мешалка магнитная или механическая.
Кислота азотная по ГОСТ 4461.
Кислота фтористоводородная по ГОСТ 10484.
Кислота серная по ГОСТ 4204, растворы 1:1 и 1:20.
Кислота ортофосфорная по ГОСТ 6552.
Аммоний надсернакислый по ГОСТ 20478, раствор 250 г/дм.
Серебро азотнокислое по ГОСТ 1277, раствор 2,5 г/дм.
Натрий хлористый по ГОСТ 4233, раствор 50 г/дм.
Марганец (II) сернокислый 5-водный по ГОСТ 435, раствор 10 г/дм.
Калий двухромовокислый по ГОСТ 4220, раствор (
K
Сr
O
)=0,025 моль/дм
: 1,2258 г перекристаллизованного и просушенного до постоянной массы при температуре 180 °С двухромовокислого калия растворяют в 200 см
воды, переносят в мерную колбу вместимостью 1 дм
, доливают водой до метки и перемешивают.
Массовая концентрация раствора двухромовокислого калия, выраженная в граммах на кубический сантиметр хрома, равна 0,0004333 г/см.
Соль закиси железа и аммония двойная сернокислая (соль Мора) по ГОСТ 4208, раствор [FeSO
(NH
)
SO
·6H
O]=0,025 моль/дм
: 9,83 г соли Мора растворяют в 500 см
раствора серной кислоты (1:20). Раствор переносят в мерную колбу вместимостью 1 дм
, доливают водой до метки и перемешивают.
Массовую концентрацию раствора соли Мора устанавливают по раствору двухромовокислого калия.
Для этого в стакан вместимостью 400 см помещают 25,0 см
раствора двухромовокислого калия, затем прибавляют 200 см
воды, 20 см
раствора серной кислоты (1:1), 5 см
ортофосфорной кислоты и титруют раствором соли Мора до резкого отклонения стрелки милливольтметра.
Массовую концентрацию раствора соли Мора , г/см
хрома, вычисляют по формуле
, (6)
где - массовая концентрация раствора двухромовокислого калия, г/см
хрома;
- объем раствора двухромовокислого калия, взятый для титрования, см
;
- объем раствора соли Мора, израсходованный на титрование раствора двухромовокислого калия, см
.
6.3 Проведение анализа
6.3.1 Навеску пробы массой 2 г (при массовой доле хрома до 0,5%) или 1 г (при массовой доле хрома свыше 0,5%) помещают в платиновую или стеклоуглеродную чашку, приливают 10-20 см фтористоводородной кислоты, затем осторожно по каплям добавляют азотную кислоту до прекращения бурной реакции и 5 см
в избыток, 20 см
раствора серной кислоты (1:1) и выпаривают до выделения паров серной кислоты. После охлаждения прибавляют 5 см
ортофосфорной кислоты, обмывают стенки чашки водой и снова выпаривают раствор до выделения паров серной кислоты.
Охлаждают, приливают 50 см воды, нагревают до растворения солей и переносят раствор в коническую колбу вместимостью 500 см
. Разбавляют раствор водой до объема 250 см
, приливают 5 см
ортофосфорной кислоты и 1 см
раствора азотнокислого серебра. Раствор нагревают до кипения, осторожно добавляют 10 см
раствора надсернокислого аммония и нагревают до появления малиновой окраски марганцевой кислоты (при отсутствии марганца в пробе к раствору добавляют 2-3 капли раствора сернокислого марганца).
Затем раствор кипятят до разрушения избытка надсернокислого аммония, после чего добавляют 10 см раствора хлористого натрия и кипятят раствор в течение 3-5 мин для восстановления марганцевой кислоты. Раствор охлаждают и переносят в стакан вместимостью 400 см
, стакан помещают на столик потенциометрической установки, включают мешалку и титруют раствором соли Мора до резкого отклонения стрелки милливольт
метра.
6.4 Обработка результатов
6.4.1 Массовую долю хрома , %, вычисляют по формуле
, (7)
где - массовая концентрация раствора соли Мора, г/см
хрома;
- объем раствора соли Мора, израсходованный на титрование раствора пробы, см
;
- объем раствора соли Мора, израсходованный на титрование раствора контрольного опыта, см
;
- масса навески пробы, г
.
6.4.2 Нормы точности и нормативы контроля точности определения массовой доли хрома приведены в таблице 2.
Электронный текст документа
подготовлен ЗАО "Кодекс" и сверен по:
официальное издание
М.: ИПК Издательство стандартов, 2001
Разместите заказ
сами сделают вам предложение
