ГОСТы сталей. ГОСТ 13230.5-93
ГОСТ 13230.5-93
Группа В19
МЕЖГОСУДАРСТВЕННЫЙ СТАНДАРТ
ФЕРРОСИЛИЦИЙ
Методы определения марганца
Ferrosilicon. Methods for determination of manganese
МКС 77.100
ОКСТУ 0809
Дата введения 2002-07-01
Предисловие
1 РАЗРАБОТАН Техническим комитетом по стандартизации ТК 008 "Ферросплавы"
ВНЕСЕН Госстандартом России
2 ПРИНЯТ Межгосударственным Советом по стандартизации, метрологии и сертификации 15 апреля 1994 г. (отчет Технического секретариата N 2)
За принятие проголосовали:
Наименование государства | Наименование национального органа по стандартизации |
Республика Армения | Армгосстандарт |
Республика Беларусь | Госстандарт Республики Беларусь |
Республика Казахстан | Госстандарт Республики Казахстан |
Республика Молдова | Молдовастандарт |
Российская Федерация | Госстандарт России |
Туркменистан | Главгосслужба "Туркменстандартлары" |
Украина | Госстандарт Украины |
3 Постановлением Государственного комитета Российской Федерации по стандартизации и метрологии от 26 июня 2001 г. N 247-ст межгосударственный стандарт ГОСТ 13230.5-93 введен в действие непосредственно в качестве государственного стандарта Российской Федерации с 1 июля 2002 г.
4 ВЗАМЕН ГОСТ 13230.5-81
1 Область применения
1 Область применения
Настоящий стандарт устанавливает титриметрический, фотометрический и атомно-абсорбционный методы определения марганца в ферросилиции при массовой доле его от 0,05% до 1,2%
2 Нормативные ссылки
В настоящем стандарте использованы ссылки на следующие стандарты:
ГОСТ 83-79 Натрий углекислый. Технические условия
ГОСТ 3118-77 Кислота соляная. Технические условия
ГОСТ 4197-74 Натрий азотистокислый. Технические условия
ГОСТ 4204-77 Кислота серная. Технические условия
ГОСТ 4233-77 Натрий хлористый. Технические условия
ГОСТ 4328-77 Натрия гидроокись. Технические условия
ГОСТ 4461-77 Кислота азотная. Технические условия
ГОСТ 6552-80 Кислота ортофосфорная. Технические условия
ГОСТ 10484-78 Кислота фтористоводородная. Технические условия
ГОСТ 20478-75 Аммоний надсернокислый. Технические условия
ГОСТ 20490-75 Калий марганцовокислый. Технические условия
ГОСТ 24991-81 Феррохром, ферросиликохром, ферросилиций, ферросиликомарганец, ферромарганец. Методы отбора и подготовки проб для химического и физико-химического анализов
ГОСТ 28473-90 Чугун, сталь, ферросплавы, хром, марганец металлические. Общие требования к методам анализа
3 Общие требования
3.1 Общие требования к методам анализа - по ГОСТ 28473.
3.2 Лабораторная проба должна быть приготовлена в виде порошка максимальным размером частиц 0,16 мм по ГОСТ 24991.
4 Титриметрический метод
4.1 Сущность метода
Метод основан на окислении двухвалентного марганца до семивалентного в сернокислом растворе надсернокислым аммонием в присутствии катализатора - азотнокислого серебра.
Полученную марганцевую кислоту оттитровывают раствором арсенит-нитрита натрия.
4.2 Реактивы и растворы
Кислота азотная по ГОСТ 4461 и раствор 1:1.
Кислота фтористоводородная по ГОСТ 10484.
Кислота серная по ГОСТ 4204 и растворы 1:1 и 1:4.
Кислота ортофосфорная по ГОСТ 6552.
Натрия гидроокись по ГОСТ 4328, раствор 150 г/дм.
Аммоний надсернокислый по ГОСТ 20478, раствор 250 г/дм.
Серебро азотнокислое, раствор 2,5 г/дм.
Натрий хлористый по ГОСТ 4233, раствор 2,5 г/дм.
Натрий азотистокислый по ГОСТ 4197 и раствор 10 г/дм.
Натрий углекислый по ГОСТ 83.
Марганец металлический электролитический.
Калий марганцовокислый по ГОСТ 20490.
Стандартный раствор марганца: 0,1000 г металлического марганца растворяют в 20 см раствора азотной кислоты при нагревании. Раствор охлаждают, приливают 20 см
раствора серной кислоты (1:1) и выпаривают до выделения паров серной кислоты. Охлаждают, приливают 30-40 см
воды, снова охлаждают, переносят раствор в мерную колбу вместимостью 1 дм
, доливают водой до метки и перемешивают.
Или: 0,2877 г перекристаллизованного марганцовокислого калия помещают в стакан, смачивают водой, прибавляют 20 см соляной кислоты и осторожно выпаривают до образования солей. К сухому остатку прибавляют 10 см
соляной кислоты и вновь выпаривают досуха. Соли растворяют в 10 см
соляной кислоты, к охлажденному раствору прибавляют 20 см
раствора серной кислоты (1:1) и выпаривают до паров серной кислоты. Охлаждают, обмывают стенки стакана водой и вновь выпаривают до паров серной кислоты. После охлаждения соли растворяют в 40 см
воды при нагревании. Охлаждают и переносят раствор в мерную колбу вместимостью 1 дм
, доливают до метки водой и перемешивают.
Массовая концентрация марганца в стандартном растворе равна 0,0001 г/см.
Мышьяка трехокись или натрий мышьяковистокислый мета (NaAsO), или натрий мышьяковистокислый орто (Na
AsO
·H
O).
Раствор арсенит-нитрита натрия: 0,3 г трехокиси мышьяка растворяют в 25 см горячего раствора гидроксида натрия, разбавляют водой до 120 см
, охлаждают, нейтрализуют раствором серной кислоты (1:1) по универсальному индикатору и прибавляют 1-2 см
раствора серной кислоты (1:1) в избыток. Затем избыток серной кислоты нейтрализуют углекислым натрием по универсальному индикатору до рН 7. К полученному раствору прибавляют 0,2 г азотистокислого натрия и перемешивают до растворения соли. Раствор переносят в мерную колбу вместимостью 1 дм
, доливают до метки водой и перемешивают.
Допускается приготовление раствора арсенит-нитрита натрия из мышьяковистокислого натрия орто или мета: 0,64 г мышьяковистокислого натрия орто или 0,39 г мышьяковистокислого натрия мета помещают в стакан вместимостью 400 см, приливают 120-150 см
воды и перемешивают до полного растворения соли. Далее подготовку раствора проводят так же, как из трехокиси мышьяка.
Массовую концентрацию раствора арсенит-нитрита натрия, выраженную в граммах на кубический сантиметр марганца, устанавливают по стандартному образцу с химическим составом, соответствующим требованиям настоящего стандарта, и проведенному через все стадии анализа в соответствии с 4.3, или по стандартному раствору марганца следующим образом.
Аликвотную часть 5,0-10,0 см стандартного раствора марганца помещают в коническую колбу вместимостью 250 см
, приливают 25 см
раствора серной кислоты (1:4), 5 см
ортофосфорной кислоты и 100 см
воды. Раствор нагревают до кипения, приливают 10 см
раствора азотнокислого серебра, 10 см
раствора надсернокислого аммония и снова нагревают до кипения. Через 30-40 с снимают с плиты и выдерживают в теплом месте до прекращения выделения пузырьков кислорода.
Затем раствор охлаждают в проточной воде, приливают 5 см раствора хлористого натрия и сразу титруют раствором арсенит-нитрита натрия.
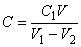
Массовую концентрацию раствора арсенит-нитрита натрия , установленную по стандартному раствору и выраженную в г/см
марганца, вычисляют по формуле
, (1)
где - массовая концентрация стандартного раствора марганца, г/см
;
- объем стандартного раствора марганца, взятый для титрования, см
;
- объем раствора арсенит-нитрита натрия, израсходованный на титрование стандартного раствора, см
;
- объем раствора арсенит-нитрита натрия, израсходованный на титрование раствора контрольного опыта, см
.
Массовую концентрацию раствора арсенит-нитрита натрия , установленную по стандартному образцу и выраженную в г/см
марганца, вычисляют по формуле
, (2)
где - аттестованное значение массовой доли марганца в стандартном образце, %;
- масса навески стандартного образца, г;
- объем раствора арсенит-нитрита натрия, израсходованный на титрование раствора стандартного образца, см
;
- объем раствора арсенит-нитрита натрия, израсходованный на титрование раствора контрольного опыта, см
.
4.3 Проведение анализа
4.3.1 Навеску пробы, отобранную в соответствии с таблицей 1, помещают в платиновую или стеклоуглеродную чашку, приливают 10-20 см фтористоводородной кислоты, осторожно по каплям добавляют азотную кислоту до прекращения бурной реакции и 5 см
в избыток, затем приливают 15 см
раствора серной кислоты (1:1) и выпаривают раствор до выделения паров серной кислоты.
Таблица 1 - Масса навески пробы
Массовая доля марганца, % | Масса навески пробы, г |
От 0,05 до 0,1 включ. | 1,0 |
Св. 0,1 " 0,2 " | 0,5 |
" 0,2 " 0,5 " | 0,2 |
" 0,5 " 1,2 " | 0,1 |
После охлаждения приливают 50 см воды и растворяют соли при нагревании. Затем раствор переносят в коническую колбу вместимостью 250 см
, приливают воду до объема 130 см
, 5 см
ортофосфорной кислоты, 10 см
раствора азотнокислого серебра и нагревают до кипения.
К горячему раствору осторожно приливают 10 см раствора надсернокислого аммония, снова нагревают раствор до кипения и через 30-40 с снимают с плиты и выдерживают в теплом месте до прекращения выделения пузырьков кислорода.
Затем раствор охлаждают в проточной воде, приливают 5 см раствора хлористого натрия и тотчас титруют раствором арсенит-нитрита натрия до полного исчезновения розовой окраски
.
4.4 Обработка результатов
4.4.1 Массовую долю марганца , %, вычисляют по формуле
, (3)
где - массовая концентрация раствора арсенит-нитрита натрия, выраженная в г/см
марганца;
- объем раствора арсенит-нитрита натрия, израсходованный на титрование раствора пробы, см
;
- объем раствора арсенит-нитрита натрия, израсходованный на титрование раствора контрольного опыта, см
;
- масса навески пробы, г
.
4.4.2 Нормы точности и нормативы контроля точности определения массовой доли марганца приведены в таблице 2.
Таблица 2 - Нормы точности
В процентах
Массовая доля марганца | Погрешность результатов анализа | Допускаемое расхождение | |||
двух средних результатов анализа, выполненных | двух параллельных определений | трех | результатов анализа стандартного образца | ||
От 0,05 до 0,1 включ. | 0,013 | 0,016 | 0,013 | 0,016 | 0,008 |
Св. 0,1 " 0,2 " | 0,018 | 0,022 | 0,018 | 0,022 | 0,012 |
" 0,2 " 0,5 " | 0,03 | 0,04 | 0,03 | 0,04 | 0,02 |
" 0,5 " 1,0 " | 0,04 | 0,05 | 0,04 | 0,05 | 0,03 |
" 1,0 " 1,2 " | 0,06 | 0,07 | 0,06 | 0,07 | 0,04 |
5 Фотометрический метод
5.1 Сущность метода
Метод основан на измерении оптической плотности марганцевой кислоты, образующейся в результате окисления марганца йоднокислым калием в сернофосфорнокислой среде.
5.2 Аппаратура, реактивы и растворы
Спектрофотометр или фотоэлектроколориметр.
Кислота азотная по ГОСТ 4461.
Кислота серная по ГОСТ 4204, растворы 1:1 и 1:20.
Кислота фтористоводородная по ГОСТ 10484.
Кислота ортофосфорная по ГОСТ 6552.
Калий йоднокислый и раствор 20 г/дм, свежеприготовленный: 20 г реактива вносят в 1 дм
горячего раствора серной кислоты (1:20) и кипятят до полного растворения, накрыв колбу часовым стеклом. Затем раствор фильтруют. Раствор используют в горячем виде.
Натрий азотистокислый по ГОСТ 4197, раствор 30 г/дм.
Марганец металлический электролитический.
Калий марганцовокислый по ГОСТ 20490.
Стандартный раствор марганца по 4.2.
Вода, свободная от восстановителей: в колбу вместимостью 2 дм наливают 1 дм
дистиллированной воды, приливают по каплям раствор серной кислоты (1:1) до рН 3 (по универсальной индикаторной бумаге) и нагревают содержимое колбы до кипения. Колбу с водой снимают с плиты, прибавляют несколько кристаллов йоднокислого калия, кипятят 5-7 мин и охлаждают.
Воду, свободную от восстановителей, применяют для проведения анализа и приготовления реактивов.
5.3 Проведение анализа
5.3.1 Навеску пробы массой 0,2 г (при массовой доле марганца от 0,05% до 0,2%) или 0,1 г (при массовой доле марганца св. 0,2%) помещают в платиновую или стеклоуглеродную чашку, приливают 10 см фтористоводородной кислоты, осторожно по каплям добавляют азотную кислоту до прекращения бурной реакции и 5 см
в избыток. Затем приливают 15 см
раствора серной кислоты (1:1) и выпаривают до выделения паров серной кислоты. После охлаждения приливают 50 см
воды и растворяют соли при нагревании. Раствор переносят в коническую колбу вместимостью 250 см
, приливают воду до объема 100 см
, добавляют 5 см
ортофосфорной кислоты и 10 см
раствора йоднокислого кали
я.
5.3.2 Содержимое колбы нагревают до кипения и выдерживают в теплом месте в течение 1 ч. Затем раствор охлаждают при комнатной температуре, переносят в мерную колбу вместимостью 250 см, доливают водой до метки и перемешивают.
Оптическую плотность раствора измеряют на спектрофотометре при длине волны 525 нм или фотоэлектроколориметре в области светопропускания от 500 до 550 нм.
Раствором сравнения служит часть испытуемого раствора, в котором марганцевая кислота разрушена добавлением 1-2 капель раствора азотистокислого натрия.
После вычитания значения оптической плотности раствора контрольного опыта из значения оптической плотности раствора пробы находят массовую долю марганца методом градуировочного графика или методом сравнения со стандартным образцом с химическим составом, соответствующим требованиям настоящего стандарта, и проведенным через все стадии анализа.
5.3.3 Построение градуировочного графика
В ряд конических колб вместимостью 250 см вводят от 0,1 до 12,0 см
стандартного раствора марганца, что соответствует от 0,0001 до 0,0012 г марганца. В одну колбу стандартный раствор марганца не вводят.
Во все колбы приливают по 100 см воды, по 10 см
раствора серной кислоты (1:1), по 5 см
ортофосфорной кислоты, по 10 см
раствора йоднокислого калия и далее поступают, как указано в 5.3.2.
В качестве раствора сравнения применяют раствор, не содержащий стандартного раствора марганца.
По полученным значениям оптических плотностей растворов и соответствующим им массам марганца строят градуировочный график
.
5.4 Обработка результатов
5.4.1 Массовую долю марганца , %, определяемую методом градуировочного графика, вычисляют по формуле
, (4)
где - масса марганца, найденная по градуировочному графику, г;
- масса навески пробы, г.
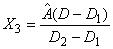
5.4.2 Массовую долю марганца , %, определяемую методом сравнения, вычисляют по формуле
, (5)
где - аттестованное значение массовой доли марганца в стандартном образце, %;
- значение оптической плотности раствора пробы;
- значение оптической плотности раствора контрольного опыта;
- значение оптической плотности раствора стандартного образца.
5.4.3 Нормы точности и нормативы контроля точности определения массовой доли марганца приведены в таблице 2.
6 Атомно-абсорбционный метод
6.1 Сущность метода
Метод основан на измерении атомной абсорбции марганца в пламени воздух-ацетилен при длине волны 279,5 нм. Атомизацию проводят из солянокислых растворов.
6.2 Аппаратура, реактивы и растворы
Атомно-абсорбционный спектрометр со всеми принадлежностями.
Кислота азотная по ГОСТ 4461 и раствор 1:1.
Кислота фтористоводородная по ГОСТ 10484.
Кислота хлорная плотностью 1,5 г/см.
Кислота соляная по ГОСТ 3118.
Кислота серная по ГОСТ 4204, раствор 1:1.
Железо металлическое.
Раствор железа 20 г/дм: 20 г железа растворяют при нагревании в 40 см
соляной кислоты, приливают 5 см
азотной кислоты и раствор кипятят до удаления оксидов азота. Охлажденный раствор переносят в мерную колбу вместимостью 1 дм
, доливают водой до метки и перемешивают.
Калий марганцовокислый по ГОСТ 20490 или марганец металлический электролитический.
Стандартный раствор марганца по 4.2.
6.3 Проведение анализа
6.3.1 Навеску пробы, отобранную согласно таблице 3, помещают во фторопластовый стакан или чашку из платины или стеклоуглерода, приливают 10 см фтористоводородной кислоты, осторожно по каплям приливают азотную кислоту до прекращения бурной реакции и 5 см
в избыток. Затем добавляют 10 см
хлорной кислоты и выпаривают раствор досуха. Соли растворяют при нагревании в 5 см
соляной кислоты и 20 см
воды. Охлажденный раствор переносят в мерную колбу вместимостью 100 см
, доливают до метки водой, перемешивают и фильтруют.
Таблица 3 - Объемы стандартного раствора
Массовая доля марганца, % | Масса навески пробы, г | Атомизируемая масса марганца, мг | Объем стандартного раствора, см |
От 0,05 до 0,2 включ. | 0,5 | 0,25-1 | 2,5-10,0 |
Св. 0,2 до 0,5 " | 0,2 | 0,4-1 | 4,0-10,0 |
" 0,5 до 1,2 " | 0,1 | 0,5-1,2 | 5,0-12,0 |
Атомную абсорбцию марганца измеряют параллельно в растворе контрольного опыта, растворе пробы, растворах для построения градуировочного графика, растворе стандартного образца при длине волны 279,5 нм в пламени воздух-ацетилен.
6.3.2 После вычитания значения атомной абсорбции раствора контрольного опыта из значения абсорбции раствора пробы находят массовую долю марганца в пробе методом сравнения со стандартным образцом с химическим составом, соответствующим требованиям настоящего стандарта, или методом градуировочного графика, или методом добавок.
При применении метода сравнения навеску стандартного образца проводят через все стадии анализа, как указано в 6.3.1.
При применении метода градуировочного графика в ряд стаканов помещают раствор железа в количестве, соответствующем его содержанию в пробе, стандартный раствор марганца, согласно таблице 3. В один стакан стандартный раствор марганца не помещают. Во все стаканы помещают по 10 см хлорной кислоты и далее поступают, как указано в 6.3.1.
Градуировочный график строят по результатам, полученным после вычитания значения абсорбции раствора, не содержащего стандартный раствор марганца, из значений абсорбции растворов, содержащих стандартный раствор, и соответствующим им массам марганца.
При применении метода добавок к навеске пробы добавляют такое количество стандартного раствора марганца, чтобы значение атомной абсорбции раствора пробы с добавлением стандартного раствора марганца составляло не более двухкратного значения абсорбции раствора пробы и находилось в линейном диапазоне градуировочного графика. Далее анализ проводят по 6.3.1.
6.4 Обработка результатов
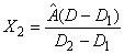
6.4.1 Массовую долю марганца , %, определяемую методом сравнения, вычисляют по формуле
, (6)
где - аттестованное значение массовой доли марганца в стандартном образце, %;
- значение атомной абсорбции раствора пробы;
- значение атомной абсорбции раствора контрольного опыта;
- значение атомной абсорбции раствора стандартного образца.
6.4.2 Массовую долю марганца , %, определяемую методом градуировочного графика, вычисляют по формуле
, (7)
где - масса марганца, найденная по градуировочному графику, г;
- масса навески пробы, г.
6.4.3 Массовую долю марганца , %, определяемую методом добавок, вычисляют по формуле
, (8)
где - масса марганца стандартного раствора, добавленная к пробе, г;
- значение атомной абсорбции раствора пробы без добавления стандартного раствора марганца;
- значение атомной абсорбции раствора контрольного опыта;
- значение атомной абсорбции раствора пробы с добавлением стандартного раствора марганца;
- масса навески пробы, г.
6.4.4 Нормы точности и нормативы контроля точности определения массовой доли марганца приведены в таблице 2.
Электронный текст документа
подготовлен ЗАО "Кодекс" и сверен по:
официальное издание
М.: ИПК Издательство стандартов, 2001
Разместите заказ
сами сделают вам предложение
